Свойства цепей с параллельным соединением элементов. Резонанс токов. Условия возникновения. Векторные диаграммы.

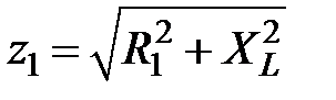
Рассмотрим цепь из двух параллельных ветвей (рис. 2.13 а). Допустим, что известны напряжение источника и параметры схемы. Нужно определить ток , потребляемый от источника, и угол сдвига на входе цепи. Для получения расчетных соотношений построим векторную диаграмму токов. Предварительно рассчитаем токи в параллельных ветвях и углы их сдвига относительно приложенного напряжения. У первой ветви характер нагрузки индуктивный, ток отстает от на угол 
;
; .
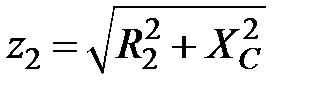
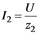
У второй ветви характер нагрузки емкостный, вектор опережает на угол 
;
; .
В качестве основного вектора принимаем вектор напряжения источника , являющегося общим для двух параллельных ветвей (рис. 2.13 б). Тогда относительно него нетрудно сориентировать векторы токов . При выборе направления тока второй ветви угол откладываем от вектора в направлении, параллельном вектору , поскольку начала этих векторов не совмещены. В соответствии с первым законом Кирхгофа ( ) определяем входной ток. В дальнейшем все расчетные соотношения получим из векторной диаграммы. Для этого представим каждый вектор проекциями на взаимноперпендикулярные оси. Проекцию вектора тока на вектор напряжения назовем активной составляющей тока , а перпендикулярную проекцию – реактивной составляющей . На диаграмме (рис. 2.13 б) эти составляющие показаны для всех векторов. Составляющие токи и физически не существуют и должны рассматриваться только как расчетные. По диаграмме активная составляющая входного тока определяется как сумма активных составляющих токов в параллельных ветвях

(2.28)
где – активная проводимость цепи, равная арифметической сумме активных проводимостей отдельных ветвей

где – активная проводимость -й ветви.
Только в частном случае, когда ветвь представляет собой чисто активное сопротивление .
Реактивная составляющая входного тока определяется как алгебраическая сумма реактивных составляющих токов в параллельных ветвях. Реактивную составляющую ветви с катушкой считают положительной, а с конденсатором – отрицательной. Знаки учитывают при подстановке соответствующих значений

(2.29)
где – реактивная составляющая проводимости цепи, равная алгебраической сумме реактивных проводимостей отдельных ветвей.
В общем случае

где – реактивная проводимость отдельной -й ветви, . Если рассматриваемая ветвь чисто реактивная: , проводимость является обратной реактивному сопротивлению. Ток на входе цепи (см. векторную диаграмму на рис. 2.13 б) с учетом (2.28, 2.29)
(2.31)
где – полная проводимость цепи, равная геометрической сумме активной и реактивной проводимостей.
Угол сдвига фаз также определяется из векторной диаграммы. На рис. 2.14 а изображена векторная диаграмма входного тока , его составляющих и и напряжения источника . Треугольник, образованный вектором тока и его проекциями , и , называется треугольником токов (рис. 2.14 а). Если стороны этого треугольника разделить на напряжение , получится треугольник, подобный треугольнику токов – треугольник проводимостей. Он образован проводимостями , модули которых равны соответствующим проводимостям, а стороны совпадают с векторами , , треугольника токов (рис. 2.14 б).

а) б) в)
Рис. 2.14
На рис. 2.14 в показан треугольник проводимостей при < 0. Из него находим соотношения между параметрами и формулы для определения угла сдвига фаз
; ; ; ; ; .
Чтобы учесть знак , следует использовать формулы тангенса и синуса.
В этой цепи, когда общий ток совпадает по фазе с напряжением, а входная реактивная проводимость или , может возникнуть явление резонанса. При
противоположные по фазе реактивные составляющие токов равны, поэтому резонанс в такой цепи получил название резонанса токов.
|