Студопедия

Главная страница Случайная страница

КАТЕГОРИИ:

АвтомобилиАстрономияБиологияГеографияДом и садДругие языкиДругоеИнформатикаИсторияКультураЛитератураЛогикаМатематикаМедицинаМеталлургияМеханикаОбразованиеОхрана трудаПедагогикаПолитикаПравоПсихологияРелигияРиторикаСоциологияСпортСтроительствоТехнологияТуризмФизикаФилософияФинансыХимияЧерчениеЭкологияЭкономикаЭлектроника






Запишите условие резонанса напряжений для неразветвленной цепи с элементами R, L, C и объясните его физический смысл






Резонансом в электрических цепях называется режим участка электрической цепи, содержащей индуктивный (ХL) и емкостной (ХС) элементы, при котором угол сдвига фаз j между напряжением и током равен нулю (j=0).

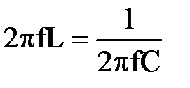
Резонанс напряжений возникает на участке с последовательным соединением R, L, C. При этом индуктивное сопротивление равно емкостному, то есть .

34)От чего зависит резонансная частота? Как рассчитывают резонансные частоты для последовательных и параллельных цепей?

Резонансная частота для последовательных и параллельных цепей равна:

или ,

где L – индуктивность катушки, а С – емкость конденсатора.

L и C стоят в знаменателе - значит частота тем больше, чем меньше емкость конденсатора и чем меньше индуктивность катушки.

 

35)Как влияет изменение частоты синусоидального напряжения на величину реактивного сопротивления электрической цепи?

-синусоидальное напряжение

реактивное сопротивление включает:

-индуктивное

-емкостное

из этих соотношений видно, что величина реактивного сопротивления зависит от частоты, причем для катушки прямопропорционально, для емкости - обратно.

 

36)Могут ли напряжения UL и UC при резонансе превышать напряжение питающей сети?

.

То есть напряжения на участках с реактивными элементами (UL и UC) будут больше напряжения питания U.

Свойство усиления напряжения на реактивных элементах при резонансе напряжения используется в технике.

Коэффициент усиления напряжения равен добротности Q контура

.

Однако повышенное напряжение на реактивных элементах может привести к пробою электрической изоляции проводов и представлять опасность для обслуживающего персонала.

При резонансе напряжений:

, ;

 

При ,

Аналогично

При ,

37)В результате изменения каких величин в схеме может возникнуть резонансный режим?

Резонанс напряжений возникает на участке с последовательным соединением R, L, C. При этом индуктивное сопротивление равно емкостному, то есть .

 

Угол сдвига фаз j определяется по формуле:

 

. При j=0 или можно записать .

Резонанс токов возникает на участке с параллельным соединением R, L, C. При этом индуктивная проводимость равна емкостной, то есть .

Угол сдвига фаз j определяется по формуле:

 

.

При j=0 , то есть .

Из последнего соотношения следует, что резонанс напряжений и токов в цепи можно достигнуть следующими способами:

изменением индуктивности L катушки;

изменением электрической емкости С конденсатора;

изменением частоты тока f питающей сети.

 

 

38)От каких величин зависит значение угла сдвига фаз между напряжением и током?

Сдвиг фаз между напряжением и током (j). Это алгебраическая величина, определяемая как разность начальных фаз напряжения и тока j=yu-yi

начальные фазы можно найти, используя комплексные числа или построением векторных диаграмм.

 

39)В какой электрической цепи и при каких условиях может возникнуть резонанс токов?

Рассмотрим цепь из двух параллельных ветвей.Допустим, что из­вестны напряже­ние источника и параметры схемы. В этой цепи, когда общий ток совпа­дает по фазе с напряжением, а входная реактивная проводимость или , может возникнуть явление резонанса. При противоположные по фазе реактивные составляющие токов равны, поэтому резонанс в такой цепи получил название резонанса токов.

 

40)По каким формулам рассчитывают активную, реактивную и полную мощности линейной электрической цепи синусоидального тока?

Активная мощность Р, обусловленная наличием в цепи активного сопротивления R: .

Единица измерения активной мощности – ВАТТ.

Реактивная мощность Q, обусловленная наличием реактивных элементов (катушек и конденсаторов)

.

Единица измерения ВАр – ВОЛЬТ-АМПЕР реактивный.

Полная мощность S. Единица измерения ВА (ВОЛЬТ – АМПЕР).

41)Каким образом можно измерить индуктивность и емкость реактивных элементов?

Так как , , то зная значения реактивных сопротивлений(а их находим используя законы электротехники) и действующей частоты, то нетрудно найти и значения L и C.

42)Если частота f неограниченно растет (уменьшается), к каким значениям стремятся напряжения UR, UL, UC в последовательной цепи? Почему?

В последовательной цепи:

;

т.к. R не зависит от f, то

;

 

 

43) Как изменятся выражения для полного сопротивления Z и угла φ, если в цепи будет несколько катушек индуктивности?

Для последовательной цепи комплексное сопротивление равно:

.

Угол сдвига фаз j определяется по формуле:

Если в цепи будет n катушек индуктивности с сопротивлениями XL, то комплексное сопротивление примет вид:

 

Тогда угол сдвига фаз:

Для параллельной цепи комплексная проводимость равна:

 

Угол сдвига фаз j определяется по формуле:

Если в цепи будет n катушек индуктивности с проводимостями bL, то комплексная проводимость примет вид:

 

Тогда угол сдвига фаз:

 

44) В какой электрической цепи и при каких условиях может возникнуть резонанс напряжений?

 

Резонанс напряжений возникает на участке с последовательным соединением R, L, C. При этом индуктивное сопротивление равно емкостному, то есть .

Так как , то при

–при резонансе ток по фазе совпадает с напряжением.

, т.е.

Из последнего соотношения следует, что резонанс напряжения в цепи можно достигнуть следующими способами:

изменением индуктивности L катушки;

изменением электрической емкости С конденсатора;

изменением частоты тока f питающей сети.

47) Трехфазные цепи. Соединение приёмников электрической энергии звездой. Мгновенные и действующие значения ЭДС. Соотношения между линейными и фазными значениями токов и напряжений. Векторная диаграмма.

Трехфазная система представляет собой совокупность трех электрических цепей, в которых действуют ЭДС с одинаковыми частотами и амплитудами и сдвинутые по фазе относительно друг друга на 120° соединение звездой

мгновенные значения ЭДС трехфазной системы:

 

В комплексной форме действующие значения ЭДС могут быть представлены в виде:

.

для звезды выполняются следующие соотношения:

линейный ток равен фазному: .

линейное напряжение больше фазного в раз

.

 

Трехфазные цепи. Соединение приемников электрической энергии треугольником. Мгновенные и действующие значения ЭДС. Соотношения между линейными и фазными значениями токов и напряжений. Векторная диаграмма.

Трехфазные электрические цепи представляют собой совокупность трех однофазных цепей переменного тока, сдвинутых по фазе относительно друг друга на 1/3 периода.
Источником трехфазного переменного тока является генератор, на статоре которого расположены три одинаковые обмотки Аx, By, Cz, размещенные под углом 120°.

 

При вращении ротора, представляющего собой двухполюсный магнит, в каждой фазной обмотке статора индуктируется ЭДС:

Графически ЭДС можно изобразить тремя синусоидами, сдвинутыми на 1/3 периода, или тремя векторами, находящимися под углом 120° друг к другу.

- действующее значение ЭДС. При соединении обмоток генератора и приемников энергии треугольником конец предыдущей фазы соединяется с началом последующей, образуя замкнутую систему. К линейным проводам в этом случае подключаются узловые точки (рис. 2.3.1).

Вектор фазного тока располагается рядом с вектором соответствующего фазного напряжения под углом . Последний определяется характером нагрузки. Если, например, нагрузка активная, то , при индуктивной нагрузке и т.д.
Для построения векторов линейных токов из каждого фазного тока геометрически вычитают соседний.
Нетрудно доказать, что в этом случае

при соединении треугольником


Поделиться с друзьями:

mylektsii.su - Мои Лекции - 2015-2026 год. (0.762 сек.)Все материалы представленные на сайте исключительно с целью ознакомления читателями и не преследуют коммерческих целей или нарушение авторских прав Пожаловаться на материал