Студопедия

Главная страница Случайная страница

КАТЕГОРИИ:

АвтомобилиАстрономияБиологияГеографияДом и садДругие языкиДругоеИнформатикаИсторияКультураЛитератураЛогикаМатематикаМедицинаМеталлургияМеханикаОбразованиеОхрана трудаПедагогикаПолитикаПравоПсихологияРелигияРиторикаСоциологияСпортСтроительствоТехнологияТуризмФизикаФилософияФинансыХимияЧерчениеЭкологияЭкономикаЭлектроника






Общее правило: ВСЁ, что в знаменателе МОЖНО разложить на множители – раскладываем на множители.






Начинаем оформлять решение:

Шаг 3. Методом неопределенных коэффициентов раскладываем подынтегральную функцию в сумму простых (элементарных) дробей. Сейчас будет понятнее.

Смотрим на нашу подынтегральную функцию:

И, знаете, как-то проскакивает интуитивная мысль, что неплохо бы нашу большую дробь превратить в несколько маленьких. Например, вот так:

Возникает вопрос, а можно ли вообще так сделать? Вздохнем с облегчением, соответствующая теорема математического анализа утверждает – МОЖНО. Такое разложение существует и единственно.

Только есть одна загвоздочка, коэффициенты мы пока не знаем, отсюда и название – метод неопределенных коэффициентов.

Как вы догадались, последующие телодвижения так, не гоготать! будут направлены на то, чтобы как раз их УЗНАТЬ – выяснить, чему же равны .

Будьте внимательны, подробно объясняю один раз!

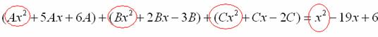
Итак, начинаем плясать от:

В левой части приводим выражение к общему знаменателю:

Теперь благополучно избавляемся от знаменателей (т.к. они одинаковы):

В левой части раскрываем скобки, неизвестные коэффициенты при этом пока не трогаем:

Заодно повторяем школьное правило умножение многочленов. В свою бытность учителем, я научился выговаривать это правило с каменным лицом: Для того чтобы умножить многочлен на многочлен нужно каждый член одного многочлена умножить на каждый член другого многочлена.

С точки зрения понятного объяснения коэффициенты лучше внести в скобки (хотя лично я никогда этого не делаю в целях экономии времени):

Составляем систему линейных уравнений.
Сначала разыскиваем старшие степени:

И записываем соответствующие коэффициенты в первое уравнение системы:

Хорошо запомните следующий нюанс. Что было бы, если б в правой части вообще не было? Скажем, красовалось бы просто без всякого квадрата? В этом случае в уравнении системы нужно было бы поставить справа ноль:. Почему ноль? А потому-что в правой части всегда можно приписать этот самый квадрат с нулём:. Если в правой части отсутствует какие-нибудь переменные или (и) свободный член, то в правых частях соответствующих уравнений системы ставим нули.

Далее процесс идет по снижающейся траектории, от водки к пиву, отмечаем все «иксы»:

Записываем соответствующие коэффициенты во второе уравнение системы:

И, наконец, минералка, подбираем свободные члены.

Эх, …что-то я расшутился. Шутки прочь – математика наука серьезная. У нас в институтской группе никто не смеялся, когда доцент на лекции сказала, что разбросает члены по координатной прямой и выберет из них самые большие. Настраиваемся на серьезный лад. Хотя… кто доживет до конца этого урока, все равно будет тихо улыбаться.

Система готова:

Решаем систему:

(1) Из первого уравнения выражаем и подставляем его во 2-ое и 3-е уравнения системы. На самом деле можно было выразить (или другую букву) из другого уравнения, но в данном случае выгодно выразить именно из 1-го уравнения, поскольку там самые маленькие коэффициенты.

(2) Приводим подобные слагаемые во 2-ом и 3-м уравнениях.

(3) Почленно складываем 2-ое и 3-е уравнение, при этом, получая равенство , из которого следует, что

(4) Подставляем во второе (или третье) уравнение, откуда находим, что

(5) Подставляем и в первое уравнение, получая .

Если возникли трудности с методами решения системы отработайте их на уроке Как решить систему линейных уравнений?

После решения системы всегда полезно сделать проверку – подставить найденные значения в каждое уравнение системы, в результате всё должно «сойтись».

Почти приехали. Коэффициенты найдены, при этом:

Чистовое оформление задание должно выглядеть примерно так:

Методом неопределенных коэффициентов разложим подынтегральную функцию в сумму элементарных дробей:




Как видите, основная трудность задания состояла в том, чтобы составить (правильно!) и решить (правильно!) систему линейных уравнений. А на завершающем этапе всё не так сложно: используем свойства линейности неопределенного интеграла и интегрируем. Обращаю внимание, что под каждым из трёх интегралов у нас «халявная» сложная функция, об особенностях ее интегрирования я рассказал на уроке Метод замены переменной в неопределенном интеграле.

Проверка: Дифференцируем ответ:

Получена исходная подынтегральная функция, значит, интеграл найдем правильно.
В ходе проверки пришлось приводить выражение к общему знаменателю, и это не случайно. Метод неопределенных коэффициентов и приведение выражения к общему знаменателю – это взаимно обратные действия.

Пример 2

Найти неопределенный интеграл.

Это пример для самостоятельного решения. Полное решение и ответ в конце урока.

Вернемся к дроби из первого примера: . Нетрудно заметить, что в знаменателе все множители РАЗНЫЕ. Возникает вопрос, а что делать, если дана, например, такая дробь: ? Здесь в знаменателе у нас степени, или, по-математически кратные множители. Кроме того, есть неразложимый на множители квадратный трехчлен (легко убедиться, что дискриминант уравнения отрицателен, поэтому на множители трехчлен никак не разложить). Что делать? Разложение в сумму элементарных дробей будет выглядеть наподобие с неизвестными коэффициентами вверху или как-то по-другому?

Пример 3

Представить функцию в виде суммы элементарных дробей с неизвестными коэффициентами.

Шаг 1. Проверяем, правильная ли у нас дробь
Старшая степень числителя: 2
Старшая степень знаменателя: 8
, значит, дробь является правильной.

Шаг 2. Можно ли что-нибудь разложить в знаменателе на множители? Очевидно, что нет, всё уже разложено. Квадратный трехчлен не раскладывается в произведение по указанным выше причинам. Гуд. Работы меньше.

Шаг 3. Представим дробно-рациональную функцию в виде суммы элементарных дробей.
В данном случае, разложение имеет следующий вид:

Смотрим на наш знаменатель:
При разложении дробно-рациональной функции в сумму элементарных дробей можно выделить три принципиальных момента:

1) Если в знаменателе находится «одинокий» множитель в первой степени (в нашем случае ), то вверху ставим неопределенный коэффициент (в нашем случае ). Примеры №1, 2 состояли только из таких «одиноких» множителей.

2) Если в знаменателе есть кратный множитель , то раскладывать нужно так:
– то есть последовательно перебрать все степени «икса» от первой до энной степени. В нашем примере два кратных множителя: и , еще раз взгляните на приведенное мной разложение и убедитесь, что они разложены именно по этому правилу.

3) Если в знаменателе находится неразложимый многочлен второй степени (в нашем случае ), то при разложении в числителе нужно записать линейную функцию с неопределенными коэффициентами (в нашем случае с неопределенными коэффициентами и ).

На самом деле, есть еще 4-ый случай, но о нём я умолчу, поскольку на практике он встречается крайне редко.

Пример 4

Представить функцию в виде суммы элементарных дробей с неизвестными коэффициентами.

Это пример для самостоятельного решения. Полное решение и ответ в конце урока.
Строго следуйте алгоритму!

Если Вы разобрались, по каким принципам нужно раскладывать дробно-рациональную функцию в сумму, то сможете разгрызть практически любой интеграл рассматриваемого типа.

Пример 5

Найти неопределенный интеграл.

Шаг 1. Очевидно, что дробь является правильной:

Шаг 2. Можно ли что-нибудь разложить в знаменателе на множители? Можно. Здесь сумма кубов . Раскладываем знаменатель на множители, используя формулу сокращенного умножения

Шаг 3. Методом неопределенных коэффициентов разложим подынтегральную функцию в сумму элементарных дробей:

Обратите внимание, что многочлен неразложим на множители (проверьте, что дискриминант отрицательный), поэтому вверху мы ставим линейную функцию с неизвестными коэффициентами, а не просто одну буковку.

Приводим дробь к общему знаменателю:

Составим и решим систему:

(1) Из первого уравнения выражаем и подставляем во второе уравнение системы (это наиболее рациональный способ).

(2) Приводим подобные слагаемые во втором уравнении.

(3) Почленно складываем второе и третье уравнения системы.

Все дальнейшие расчеты, в принципе, устные, так как система несложная.

(1) Записываем сумму дробей в соответствии с найденными коэффициентами .

(2) Используем свойства линейности неопределенного интеграла. Что произошло во втором интеграле? С этим методом Вы можете ознакомиться в последнем параграфе урока Интегрирование некоторых дробей.

(3) Еще раз используем свойства линейности. В третьем интеграле начинаем выделять полный квадрат (предпоследний параграф урока Интегрирование некоторых дробей).

(4) Берём второй интеграл, в третьем – выделяем полный квадрат.

(5) Берём третий интеграл. Готово.

А вот вам еще пара примеров для самостоятельного решения, один похожий, другой – труднее.

Пример 6

Найти неопределенный интеграл.

Пример 7

Найти неопределенный интеграл.

 


Поделиться с друзьями:

mylektsii.su - Мои Лекции - 2015-2026 год. (1.395 сек.)Все материалы представленные на сайте исключительно с целью ознакомления читателями и не преследуют коммерческих целей или нарушение авторских прав Пожаловаться на материал