Студопедия

Главная страница Случайная страница

КАТЕГОРИИ:

АвтомобилиАстрономияБиологияГеографияДом и садДругие языкиДругоеИнформатикаИсторияКультураЛитератураЛогикаМатематикаМедицинаМеталлургияМеханикаОбразованиеОхрана трудаПедагогикаПолитикаПравоПсихологияРелигияРиторикаСоциологияСпортСтроительствоТехнологияТуризмФизикаФилософияФинансыХимияЧерчениеЭкологияЭкономикаЭлектроника






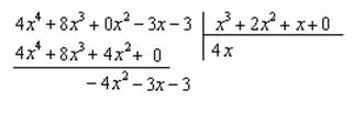
ВСЕ недостающие степени (и (или) свободные члены) без пропусков записываем в ОБОИХ многочленах с нулевыми коэффициентами.






Теперь маленькая задачка, на какой множитель нужно умножить , чтобы получить ? Очевидно, что на :

Далее умножаем сначала на , потом – на , потом – на , потом – на 0 и записываем результаты слева:

Проводим черточку и производим вычитание (из верха вычитаем низ):

Старшая степень остатка равна двум, старшая степень делителя – больше, она равна трём, значит, больше разделить не удастся. Если бы изначально у нас был в числителе многочлен пятой степени, то то алгоритм деления увеличился бы на один шаг.

Итак, наше решение принимает следующий вид:

Делим числитель на знаменатель:

(1) Что дало деление? Много хорошего: теперь у нас два слагаемых, первое – интегрируется совсем просто, а второе – правильная дробь, которую мы решать уже умеем.

После деления всегда желательно выполнять проверку.
В рассматриваемом примере можно привести к общему знаменателю , и в результате получится в точности исходная неправильная дробь

(2) От первого слагаемого сразу берем интеграл. Знаменатель дроби раскладываем на множители

Дальше всё идет по накатанной схеме:

Методом неопределенных коэффициентов разложим подынтегральную функцию в сумму элементарных дробей:


Готово.

И, наконец, заключительный пример для самостоятельного решения. Он очень интересен, рекомендую всем!

Пример 9

Найти неопределенный интеграл.

Только что обратил внимание, что во всех примерах урока в ходе решения систем у нас получались «хорошие» целые коэффициенты . По той причине, что почти все интегралы я взял из сборника Рябушко. На практике же, когда автор методички придумает какой-нибудь корявый интеграл, часто будут появляться разные нехорошести.
Таким образом, если в ходе решения интеграла от дробно-рациональной функции у Вас получаются дробные значения коэффициентов , то в этом нет ничего страшного, ситуация даже обыденна.

Желаю успехов!

Решения и ответы:

Пример 2: Решение:

Методом неопределенных коэффициентов разложим подынтегральную функцию в сумму элементарных дробей:




Комментарий: в правой части у нас нет слагаемого с , поэтому в первом уравнении системы ставим справа ноль.

Пример 4: Решение:

Шаг 1. Проверяем, правильная ли у нас дробь
Старшая степень числителя: 6
Старшая степень знаменателя: 8
, значит, дробь является правильной.

Шаг 2. Можно ли что-нибудь разложить в знаменателе на множители. Множитель разложить нельзя, а вот – можно:

Шаг 3. Представим дробно-рациональную функцию в виде суммы элементарных дробей.
В данном случае, разложение имеет следующий вид:

Пример 6: Решение:

Методом неопределенных коэффициентов разложим подынтегральную функцию в сумму элементарных дробей:


Пример 7: Решение:

Методом неопределенных коэффициентов разложим подынтегральную функцию в сумму элементарных дробей:



Пример 9: Решение:

(1) Здесь неправильная дробь, поскольку старшие степени числителя и знаменателя равны: 3 = 3. Для того чтобы разделить числитель на знаменатель придётся временно раскрыть скобки в знаменателе.

(2)-(3) Теперь можно разделить на знаменатель , но делать этого… я не буду. Можно поступить хитрее. Используем прием, который рассмотрен в первом параграфе урока Интегрирование некоторых дробей.

(4) От первого слагаемого сразу берем интеграл. Знаменатель оставшейся, уже правильной, дроби снова записываем в виде произведения множителей. Тут я немного подсократил разложение, надеюсь, всем понятно, что

Далее накатанная колея…

Методом неопределенных коэффициентов разложим подынтегральную функцию в сумму элементарных дробей:



Вы выполнили проверку, мож где ошибочка вышла;)

Автор: Емелин Александр

 


Поделиться с друзьями:

mylektsii.su - Мои Лекции - 2015-2026 год. (2.187 сек.)Все материалы представленные на сайте исключительно с целью ознакомления читателями и не преследуют коммерческих целей или нарушение авторских прав Пожаловаться на материал