Студопедия

Главная страница Случайная страница

КАТЕГОРИИ:

АвтомобилиАстрономияБиологияГеографияДом и садДругие языкиДругоеИнформатикаИсторияКультураЛитератураЛогикаМатематикаМедицинаМеталлургияМеханикаОбразованиеОхрана трудаПедагогикаПолитикаПравоПсихологияРелигияРиторикаСоциологияСпортСтроительствоТехнологияТуризмФизикаФилософияФинансыХимияЧерчениеЭкологияЭкономикаЭлектроника






Краткая теория. Измерение сопротивлений. Величины электрических сопротивлений, встречающихся на практике, очень разнообразны: начиная от миллионных долей Ома и кончая






Измерение сопротивлений. Величины электрических сопротивлений, встречающихся на практике, очень разнообразны: начиная от миллионных долей Ома и кончая тысячами мегомов и выше. Например, переходное сопротивление различных контактов и соединительных проводников составляет величину 10-2 …10-4 Ом, а сопротивление изоляции – (10+9 …10+15) Ом. Существует большое количество методов измерений величины сопротивлений. С точки зрения методики измерения целесообразно разделить все сопротивления на 3 группы:

1. Малые сопротивления – от 1 Ом и меньше.

2. Средние сопротивления – от 1 Ом до 100000 Ом.

3. Большие сопротивления – от 100000 Ом и выше.

Каждое из сопротивлений может быть измерено различными способами, выбор которых определяется имеющейся в наличии аппаратурой, условиями опыта и требуемой точностью измерения.

Независимо от величины электрического сопротивления существует два метода измерения:

1. Метод непосредственного отсчёта (омметры, мегомметры).

2. Метод косвенного отсчёта (амперметры и вольтметры).

Недостатком всех омметров является необходимость вспомогательного источника тока. В приборах для измерения сопротивления изоляции мегомметрами требуется достаточно большое напряжение (500, 1000 и 2000В), источником тока которых является генератор, приводимый вращением от руки.

Для измерения сопротивлений методом амперметра и вольтметра

существуют две основные схемы, основанные на использовании закона Ома. Обе схемы позволяют получить лишь приближенное значение R'x.

R'x= , где U и I - показания вольтметра и амперметра.

Действительное значение Rx определяется (см. порядок выполнения работы):

· для рис. 2.4 Rx = = = = = ; (2.1)

· для рис. 2.5 R x= = R'x –RА. (2.2)

При определении сопротивления R x по схеме рис. 2.4 учитывается влияние сопротивления обмотки вольтметра на ток в цепи амперметра, а при определении сопротивления R x по схеме рис. 2.5 учитывается падение напряжения на сопротивлении обмотки амперметра.

Выражения (2.1) и (2.2) показывают, что при подсчёте искомого сопротивления возникают погрешности, величина которых зависит от сопротивления приборов и схемы их включения. Относительные погрешности измерения для схем рис. 2.4 и 2.5 можно подсчитать по формулам:

γ = 100%, γ = 100%. (2.3)

Из этих выражений следует, что первую схему можно применять, когда RV> RX, а вторую, когда RA< RX. Выбор любой из двух схем практически безразличен, если RX.

Рассмотренный метод особенно удобен для измерения сопротивлений, находящихся под током, а также в тех случаях, когда имеется необходимость измерять сопротивление, сильно меняющее свою величину от нагревания вследствие нагрузки. Точность измерения в данном методе определяется суммой погрешностей амперметра и вольтметра. Если, например, оба прибора будут класса 0.5, то общая погрешность измерения равна 1% от измеряемой величины.

 

Метод амперметра и вольтметра также может быть применён на переменном токе для измерения полного сопротивления ZX катушек индуктивностей и ёмкостей конденсаторов.

При определении отдельно активной и реактивной составляющих сопротивления, кроме амперметра и вольтметра электродинамической (или электромагнитной) системы, нужен ваттметр электродинамической системы. Приборы могут быть включены по следующим двум схемам (рис. 2.6 и 2.6А, см. порядок выполнения работы). Эти схемы сходны со схемами рис. 2.4 и 2.5. Действительно, вольтметр, включенный по схеме рис. 2.6, учитывает падение напряжения не только на ZX, но и на последовательной цепи ваттметра; амперметр же, включённый в этой схеме, учитывает не только ток в сопротивлении ZX, но и в вольтметре и параллельной цепи ваттметра.

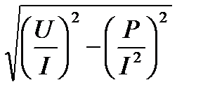
По показаниям приборов V, A, W можно определить лишь приближенные значения активной и реактивной составляющих R'X и X'X.

RX '= , X'X = = . (2.4)

Действительные значения активной и реактивной составляющих RX и XX можно найти по формулам: RX=R'X -RA, (2.5)

XX=X'X -XA, (2.6)

где RA и XA представляют собой сумму соответственно активных и реактивных сопротивлений амперметра и последовательной цепи ваттметра.

Существует ещё способ измерения сопротивления катушек или дросселей (рис. 2.1 и 2.2).

Рис. 2.1 Рис. 2.2

Как видим, при этом способе используется метод амперметра и вольтметра. Сначала данная схема питается от источника постоянного тока, и по

 

показаниям амперметра и вольтметра определяют величину активного сопротивления катушки индуктивности. Затем схему подключают к источнику переменного тока и по показаниям приборов определяют полное сопротивление катушки индуктивности.

Величину индуктивности катушки определяют расчётным путём по формуле L = , (2.7)

где f – частота тока сети.

Величину ёмкости конденсатора можно определить по формуле

С = . (2.8)


Поделиться с друзьями:

mylektsii.su - Мои Лекции - 2015-2026 год. (1.699 сек.)Все материалы представленные на сайте исключительно с целью ознакомления читателями и не преследуют коммерческих целей или нарушение авторских прав Пожаловаться на материал