Студопедия

Главная страница Случайная страница

КАТЕГОРИИ:

АвтомобилиАстрономияБиологияГеографияДом и садДругие языкиДругоеИнформатикаИсторияКультураЛитератураЛогикаМатематикаМедицинаМеталлургияМеханикаОбразованиеОхрана трудаПедагогикаПолитикаПравоПсихологияРелигияРиторикаСоциологияСпортСтроительствоТехнологияТуризмФизикаФилософияФинансыХимияЧерчениеЭкологияЭкономикаЭлектроника






Краткая теория. При параллельном соединении приёмников ток в каждом приёмнике зависит от величины сопротивления, а угол сдвига фаз - от характера нагрузки.






При параллельном соединении приёмников ток в каждом приёмнике зависит от величины сопротивления, а угол сдвига фаз - от характера нагрузки.

Рассмотрим параллельную электрическую цепь, рисунок 4.1:


Рис. 4.1 Рис. 4.2

Расчёт цепей параллельного соединения можно производить двумя

методами:

· Методом разложений токов на активные и реактивные составляющие;

· Методом проводимостей.

1. Рассмотрим первый метод. Каждая ветвь в отдельности рассматривается как цепь последовательного соединения сопротивлений:

I1 = = ; сos φ 1 = ; I2 = = ; с os φ 2 = . (4.1)

Для нахождения активных составляющих токов ветвей используем

формулы: IR1=I1 сos φ 1; IR2=I2 сos φ 2. (4.2)

 

Реактивные составляющие токов ветвей определяются с учётом

характера нагрузки: IL=I1 sin φ 1; IC=I2 sin φ 2. (4.3)

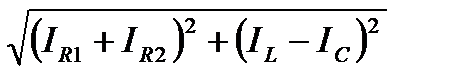
Ток в неразветвлённой части цепи определяется по формуле:

I = . (4.4)

В зависимости от того, какой реактивный ток больше IL или IC, общий ток будет опережать по фазе напряжение или отставать.

Векторная диаграмма с преобладанием индуктивного характера имеет вид (рис. 4.2). Общий сдвиг фаз tg φ = .

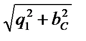
2. Для расчёта параллельной цепи методом проводимостей рассмотрим формулы, с помощью которых вычисляются проводимости. Для цепи (рис. 4.1) имеем: q1 = ; q2 = ; или q1 = ; q2 = ,

где q1 и q2 -активные проводимости первой и второй ветвей.

Аналогично для реактивных проводимостей цепи (рис. 4.1) имеем:

bL= ; bC = ; или bL = ; bC = . (4.5)

Полную проводимость отдельных ветвей можно найти из треугольника проводимостей: y1= , y2= .

Полная проводимость для не разветвлённой цепи

y = .

Ток не разветвлённой части цепи I=U× y=U ,

сдвиг фаз: соs φ = , sin φ = , tg φ = .

Рассмотрим некоторые частные случаи цепи параллельного соединения приёмников электрической энергии.

3. Параллельное соединение активного сопротивления R2 и катушки

индуктивности, обладающей активным сопротивлением, ZK= . В схеме рис. 4.1 предполагают, что XC=0; R1=RK.

Проводимость первой ветви yK= , где q1= , bL= .

Проводимость второй ветви y2=q2, т. к. q2= , bC=0.

Проводимость всей цепи y = .

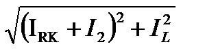
Ток в ветвях I1=U yK=IK, IR1=U q1=IR K, IL=U bL, I2=Uq2, IR2=I2.

Общий ток в цепи I=U y= .

Зная величины токов, можно построить векторную диаграмму, рис. 4.3.

Из векторной диаграммы можно определить:

cos φ = = ; sin φ = = ;

cos φ K= = ; sin φ K= = .

Рис. 4.3

4. Параллельное соединение активного сопротивления R1 и

конденсатора, обладающего сопротивлением ХС. (В схеме рис. 4.1 предполагают, что ХL = 0 и R2 = 0).

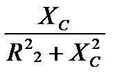
Значения проводимостей: q1= = ; b1=0; y1=q1; q2=0;

bC= = ; y2=bC; y= .

Значения токов: I1= =U q1=IR1; I2= =U bC=IC, I=U y= .

Векторная диаграмма для данного случая представлена на рис. 4.4.

Вектор общего тока опережает по фазе вектор напряжения на угол φ, причём;

cos φ = = , sin φ = = .

Рис. 4.4

5. Параллельное соединение катушки и конденсатора. (В схеме рис. 4.1 предполагают, что R2=0) - режим резонанса токов.

Режим резонанса токов возникает при условии равенства индуктивной и ёмкостной проводимостей (bL=bC). При этом реактивная проводимость всей цепи равна нулю (b=bL-bC=0), полная проводимость всей цепи равна только активной проводимости. Индуктивная составляющая тока ветви и ёмкостная составляющая тока ветви равны по величине и противоположны по фазе, поэтому они компенсируют друг друга, и в общей цепи реактивный ток отсутствует (IL-IC=0), но остаётся активным (φ =0, cos φ =1), и величина его определяется активной проводимостью цепи. При резонансе общий ток будет иметь минимальное значение

I=U y=U =UqK=IR.

Векторная диаграмма в случае резонанса токов имеет вид (рис. 4.5).

Режим резонанса токов используется для повышения cos φ электроустановок. С этой целью уменьшают ток в питающих сетях, подсоединяя параллельно к индуктивным приёмникам энергии (двигатели, трансформаторы) конденсаторы.

Рис. 4.5

Разгрузка сети и источников энергии от реактивных токов позволяет присоединить к ним новые приёмники энергии. Повышение cos φ хотя бы на 0.1 у всех приёмников даёт народному хозяйству десятки миллионов рублей экономии. Поэтому необходимо уметь измерить cos φ данной установки и по возможности улучшить его. Самый простой способ определения cos φ приёмника, имеющего индуктивную нагрузку, заключается в измерении токов, протекающих в ветвях схемы (см. рис. 4.9С, порядок выполнения работы) и построении векторной диаграммы по результатам измерений.

 


Поделиться с друзьями:

mylektsii.su - Мои Лекции - 2015-2026 год. (0.988 сек.)Все материалы представленные на сайте исключительно с целью ознакомления читателями и не преследуют коммерческих целей или нарушение авторских прав Пожаловаться на материал