Студопедия

Главная страница Случайная страница

КАТЕГОРИИ:

АвтомобилиАстрономияБиологияГеографияДом и садДругие языкиДругоеИнформатикаИсторияКультураЛитератураЛогикаМатематикаМедицинаМеталлургияМеханикаОбразованиеОхрана трудаПедагогикаПолитикаПравоПсихологияРелигияРиторикаСоциологияСпортСтроительствоТехнологияТуризмФизикаФилософияФинансыХимияЧерчениеЭкологияЭкономикаЭлектроника






Краткая теория. Если к цепи, состоящей из последовательно соединённых активного сопротивления R, катушки индуктивности L и ёмкости С






Если к цепи, состоящей из последовательно соединённых активного сопротивления R, катушки индуктивности L и ёмкости С, присоединить синусоидальное напряжение, то в цепи установится синусоидальный ток I (схема представлена на рис. 3.1). Общее напряжение на зажимах цепи можно рассматривать состоящим из суммы трёх слагаемых (на основании второго закона Кирхгофа):

 

Рис. 3.1

· падения напряжения на активном сопротивлении uR=i(R+RK);

где RK – активное сопротивление катушки индуктивности,

· напряжения, уравновешивающего э.д.с. самоиндукции uL= - ε L;

· напряжения, приложенного к зажимам конденсатора uC.

Тогда общее напряжение для цепи записывается:

для мгновенных значений напряжений u = u R+ uL + uC;

для комплексных значений напряжений = + + . (3.1)

В цепи последовательного соединения активного, индуктивного и ёмкостного сопротивлений вектор напряжения опережает вектор тока или отстаёт от него на угол сдвига фаз φ в зависимости от того, какой характер носит схема (ёмкостный или индуктивный).

Векторная диаграмма цепи (с учётом преобладающего влияния индуктивного сопротивления) имеет вид (рис. 3.2).

Вектор активного напряжения = совпадает по фазе с вектором . Вектор активного напряжения на катушке индуктивности также совпадает по фазе с вектором тока .

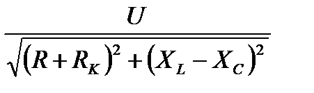
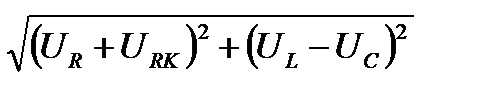
Рис. 3.2 Вектор индуктивного напряжения = XL опережает по фазе вектор тока на четверть периода (или на угол +900), а вектор ёмкостного напряжения = (- XC) отстаёт от него по фазе на четверть периода (или на угол -900). Векторы двух реактивных напряжений и в любой момент времени направлены встречно друг другу. Величина общего напряжения U определяется из векторной диаграммы рис. 3.2.

U = = I ,

отсюда I = = . (3.2)

Полное сопротивление цепи

Z = . (3.3)

Угол сдвига фаз между вектором тока и вектором общего напряжения

cos φ = = . (3.4)

Рассмотрим некоторые частные случаи цепи последовательного соединения различных видов нагрузок.

1. Последовательное соединение активного сопротивления и катушки с сопротивлением ZK = . (В схеме рис. 3.1 предполагают, что ХС=0). Применяя второй закон Кирхгофа для данной цепи, получим

= . (3.5)

Напряжение на зажимах катушки состоит из активной составляющей и индуктивной составляющей , = + . (3.6)

С учётом уравнений (3.5) и (3.6) напряжение, приложенное к рассматриваемой цепи определяется = (R+RK)+ XL= + .

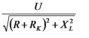
Абсолютное значение приложенного напряжения составит U = =

и величина тока I= = , (3.7)

где Z- полное сопротивление всей цепи.

В соответствии с уравнениями (3.5) и (3.6) векторная диаграмма будет иметь вид (рис. 3.3). Углы сдвига фаз определяются из приведённых соотношений:

cosφ = = ;

sinφ = = ; cosφ K = = ;

s inφ K = . (3.8)

Рис. 3.3 Полученные соотношения могут быть использованы для вычислений активных и реактивных составляющих напряжения и сопротивлений по известным величинам тока, напряжения и мощности.

2. Последовательное соединение активного сопротивления R и конденсатора с сопротивлением XC. (В схеме рис. 3.1 предполагают, что ZK=0). Напряжение на зажимах данной цепи = . (3.9)

Величина приложенного напряжения U = = I .

Ток в цепи I = = .

Векторная диаграмма рассматриваемой цепи имеет вид (рис. 3.4).

Из диаграммы видно, что вектор напряжения отстаёт по фазе от вектора тока на угол φ, который определяется из соотношений:

cos φ = = ;

s in φ = = . (3.10)

Рис. 3.4

3. Последовательное соединение катушки и конденсатора (в схеме рис. 3.1 предполагают, что R=0). В случае равенства индуктивного и ёмкостного сопротивлений ХL=XC в схеме возникает режим резонанса напряжений. В этом случае реактивное сопротивление равно нулю (Х=ХL-XC= 0), полное сопротивление цепи оказывается минимальным, равным активному сопротивлению катушки Z = = RK.

Ток в цепи будет иметь максимальное значение I = .

Приложенное напряжение уравновешивается лишь падением напряжения на активном сопротивлении RK, а угол сдвига фаз между током и напряжением равен нулю (φ =0). cos φ = = 1.

В режиме резонанса напряжения на катушке и конденсаторе могут значительно превосходить приложенное напряжение, что опасно для обслуживающего персонала и может привести к повреждению изоляции электротехнической установки. Однако, явление резонанса получило широкое применение в радиотехнике, проводной связи и других областях техники, где применяются электрические фильтры.

 

Исходя из условий резонанса напряжений ХL=XC, т. е. wL = , получаем f = . (3.11)

Из этого уравнения следует, что резонанса напряжений можно достичь, изменяя частоту f приложенного напряжения или регулируя индуктивность L или ёмкость С.

Применяя второй закон Кирхгофа для данной цепи, получим

= = .

Векторная диаграмма будет иметь вид (рис. 3.5).

Из диаграммы видно, что при резонансе напряжения на катушке и конденсаторе могут быть равны только в случае идеальной катушки (RK=0).

Рис. 3.5


Поделиться с друзьями:

mylektsii.su - Мои Лекции - 2015-2026 год. (0.649 сек.)Все материалы представленные на сайте исключительно с целью ознакомления читателями и не преследуют коммерческих целей или нарушение авторских прав Пожаловаться на материал