Студопедия

Главная страница Случайная страница

КАТЕГОРИИ:

АвтомобилиАстрономияБиологияГеографияДом и садДругие языкиДругоеИнформатикаИсторияКультураЛитератураЛогикаМатематикаМедицинаМеталлургияМеханикаОбразованиеОхрана трудаПедагогикаПолитикаПравоПсихологияРелигияРиторикаСоциологияСпортСтроительствоТехнологияТуризмФизикаФилософияФинансыХимияЧерчениеЭкологияЭкономикаЭлектроника






Системы и схемы водоснабжения






Системы водоснабжения (водопроводы) классифицируют по ряду признаков.

По виду обслуживаемого объекта системы водоснабжения делят на городские, поселковые, промышленные, сельскохозяйственные, железнодорожные и др.

По назначению системы водоснабжения могут быть:

хозяйственно-питьевые, предназначенные для подачи воды на хозяйственные и питьевые нужды населения и работников предприятий;

производственные, обеспечивающие водой технологические нужды производственных водопотребителей;

противопожарные, обеспечивающие подачу воды для тушения пожаров;

объединенные.

В городах и поселках обычно устраивают объединенный хозяйственно-противопожарный водопровод.

По способу подачи воды различают самотечные водопроводы (гравитационные) и водопроводы с механической подачей воды (с помощью насосов).

По виду используемых природных источников различают водопроводы, забирающие воду из поверхностных источников - рек, водохранилищ, озер, морей, и водопроводы, забирающие воду из подземных источников (артезианских, родниковых). Имеются также водопроводы смешанного питания.

Системы водоснабжения могут обслуживать как один объект, например, город, или промышленное предприятие, так и несколько объектов. В последнем случае эти системы называют групповыми. Систему водоснабжения, обслуживающую несколько крупных объектов, расположенных на значительном расстоянии друг от друга, называют районной системой водоснабжения или районным водопроводом. Небольшие системы водоснабжения, обслуживающие одно здание или небольшую группу компактно расположенных зданий из близлежащего источника, называют обычно местными системами водоснабжения.

Схема водоснабжения населенного пункта зависит, прежде всего, от вида источника водоснабжения.

На рис. 1 приведена наиболее распространенная схема водоснабжения населенного пункта с забором воды из реки. Речная вода поступает в водозаборное сооружение, из которого насосами станции 1-го подъема подается на очистные сооружения. Очищенная вода поступает в резервуары чистой воды, откуда забирается насосами станции 2-го подъема для подачи по водоводам и магистральным трубопроводам в водопроводную сеть, распределяющую воду по отдельным районам и кварталам населенного пункта.

 

Рис. 1. Схема водоснабжения населенного пункта из реки

1 – водоприемник; 2 - самотечные трубы; 3 - береговой колодец; 4 - насосы станции 1-го подъема; 5 – отстойники; 6 - фильтры; 7 - резервуары чистой воды; 8 - насосы станции 2-го подъема; 9 - водоводы: 10 - водонапорная башня; 11 - магистральные трубопроводы; 12 - распределительные трубопроводы

На территории населенного пункта (обычно на возвышенности) часто сооружается водонапорная башня, которая, как и резервуары чистой воды, служит для хранения и аккумулирования запасов воды. Необходимость устройства башни объясняется следующими обстоятельствами. Расход воды из водопроводной сети в течение суток колеблется в значительной степени, в то время как подача воды насосами станции 2-го подъема относительно равномерна. В те часы суток, когда насосы подают в сеть воды больше, чем ее расходуется, излишек поступает в водонапорную башню; в часы максимального расходования воды потребителями, когда расход, подаваемый насосами, недостаточен, используется вода из башни. Водонапорная башня, расположенная в противоположном от насосной станции конце города, называется контррезервуаром. При наличии вблизи населенного пункта значительного естественного возвышения вместо водонапорной башни сооружают наземный водонапорный резервуар.

При использовании в качестве источника водоснабжения подземных вод схема водоснабжения значительно упрощается. В этом случае очистные сооружения обычно не нужны, так как подземные воды часто не требуют очистки.

Рис. 2. Схема водоснабжения населенного пункта из подземных источников

1 – скважины (трубчатые колодцы); 2 – водоводы; 3 – резервуары; 4 – насосная станция 2-го подъема с установкой для обеззараживания воды; 5 – водонапорная башня; 6 – водопроводная сеть

Если качество воды в подземном источнике не отвечает требованиям, предъявляемым к воде питьевого качества, то перед резервуарами чистой воды предусматриваются очистные сооружения.

 

Схема групповой системы водоснабжения

Схема систем водоснабжения объектов в групповой системе водоснабжения

Водоснабжение промышленных предприятий может быть прямоточным, с последовательным использованием воды и оборотным.

 

Рис. 3. Схемы систем прямоточного водоснабжения

а -простейшая; б - с очисткой природной и отработанной воды; 1 - поверхностный источник водоснабжения; 2 - водозабор с насосной станцией; 3 - выпуск отработанной воды; 4 - сооружения для улучшения качества воды водоисточника; 5 - сооружения для обработки отработанной воды; П - производственный водопотребитель

Простейшая прямоточная система производственного водоснабжения (рис. 3, а) включает в свой состав водозаборные сооружения 2, водопроводные сети и выпуск 3 отработанной воды в водоисточник 1. Такая схема может применяться при наличии мощного водоисточника. При этом качество воды в источнике водоснабжения должно соответствовать требованиям водопотребителя, а качество отработанной воды должно отвечать требованиям, предъявляемым к сбросу стоков в водоем. Наиболее часто по такой схеме обеспечиваются водой водопотребители, использующие воду для охлаждения оборудования. В этом случае вода в процессе использования нагревается, но не загрязняется.

В схеме б (рис. 3) в отличие от предыдущей схемы имеются сооружения 4 для улучшения качества воды водоисточника перед подачей потребителю и сооружения 5 для обработки отработанной воды перед сбросом в водоем.

Такая схема применяется в случае, когда качество воды водоисточника не соответствует требованиям водопотребителя, а качество отработанной воды не отвечает требованиям, предъявляемым к сбросу стоков в водоем.

Простейшие прямоточные системы имеют обычно небольшую стоимость и практически всегда дешевле оборотных систем. Недостатком прямоточных систем водоснабжения является забор большого количества воды из водоисточников и сброс того же количества стоков в них, а также опасность загрязнения водоема при сбоях в работе очистных сооружений. В этом плане предпочтительнее применение оборотных систем водоснабжения промышленных предприятий.

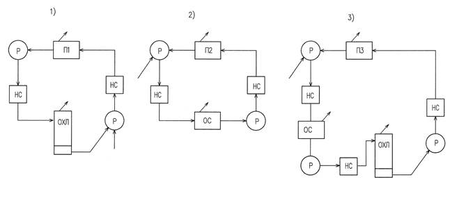
Схемы и состав сооружений оборотных систем водоснабжения зависят от того, как изменяются параметры воды в процессе ее использования.

 

Рис.4. Схемы оборотного водоснабжения с охлаждением оборотной воды

1) с охлаждением оборотной воды; 2) с очисткой оборотной воды; 3) с очисткой и охлаждением оборотной воды

 


Поделиться с друзьями:

mylektsii.su - Мои Лекции - 2015-2026 год. (0.768 сек.)Все материалы представленные на сайте исключительно с целью ознакомления читателями и не преследуют коммерческих целей или нарушение авторских прав Пожаловаться на материал