Студопедия

Главная страница Случайная страница

КАТЕГОРИИ:

АвтомобилиАстрономияБиологияГеографияДом и садДругие языкиДругоеИнформатикаИсторияКультураЛитератураЛогикаМатематикаМедицинаМеталлургияМеханикаОбразованиеОхрана трудаПедагогикаПолитикаПравоПсихологияРелигияРиторикаСоциологияСпортСтроительствоТехнологияТуризмФизикаФилософияФинансыХимияЧерчениеЭкологияЭкономикаЭлектроника






Приклад 2






З метою визначення зв'язку між швидкістю читання та кількістю помилок, які допускають учні в процесі читання. Після проведення дослідження ви одержали два ряди даних. Обчислимо коефіцієнт лінійної кореляції Пірсона для того, щоб встановити характер зв'язку між ними.

Процедура обчислення.

• Дані групуються у таблиці (див. таблицю 3).

• Знаходиться сума показників першого ряду (å х) і другого ряду (å у).

• Знаходиться добуток показників першого і другого ряду для кожного учня (ху) та сума добутків (å ху).

• Підноситься до квадрату кожен показник першого (å х2) та другого ряду (å у2). Знаходиться сума квадратів показників першого (х2) та другого ряду (у2).

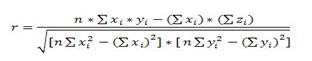
• Обчислюється коефіцієнт лінійної кореляції Пірсона за формулою.

Таблиця З

Показники швидкості читання Кількість помилок Ху X2 У2
  Х У      
           
           
           
           
           
           
           
           
           
           
           
  å х=880 å у=55 å ху = 3874 å х2 = 73898 å у2 = 389

Для оцінки значимості r xу користуються таблицею критичних значень r xу. Якщо одержаний показник r xу > r табл. на одному з рівнів значимості, то він є статистичне достовірним. У нашому випадку r xу = -0, 83, що більше (по модулю) за табличний показник - r табл. 0, 01 = 0, 74 Отже, зв'язок між показниками є значимим при (р< 0, 01). Зверніть увагу, що коефіцієнт є від'ємним, що дає підстави для такого висновку: існує тісний обернений зв’язок між швидкістю читання та кількістю помилок, які при цьому допускаються учнями - учні, що читають швидше допускають менше помилок, і навпаки, учні, які читають повільно, допускають більше помилок.

Таблиця 4

Критичні значення r xу (для рівнів значимості 0, 05 та 0, 01)

0, 05 0, 01 0, 05 0, 01 0, 05 0, 01
  0, 63 0, 77   0, 43 0, 55   0, 35 0, 45
  0, 60 0, 74   0, 42 0, 54   0, 34 0, 44
  0, 58 0, 71   0, 41 0, 53   0, 34 0, 44
  0, 55 0, 68   0, 40 0, 52   0, 33 0, 43
  0, 53 0, 66   0, 40 0, 51   0, 33 0, 42
  0, 51 0, 64   0, 39 0, 50   0, 32 0, 42
  0, 50 0, 62   0, 38 0, 49   0, 32 0, 41
  0, 48 0, 61   0, 37 0, 48   0, 31 0, 41
  0, 47 0, 59   0, 37 0, 47   0, 31 0, 40
  0, 46 0, 58   0, 36 0, 46   0, 31 0, 40
  0, 44 0, 56   0, 36 0, 46   0, 30 0, 39

 


Поделиться с друзьями:

mylektsii.su - Мои Лекции - 2015-2026 год. (1.028 сек.)Все материалы представленные на сайте исключительно с целью ознакомления читателями и не преследуют коммерческих целей или нарушение авторских прав Пожаловаться на материал