Студопедия

Главная страница Случайная страница

КАТЕГОРИИ:

АвтомобилиАстрономияБиологияГеографияДом и садДругие языкиДругоеИнформатикаИсторияКультураЛитератураЛогикаМатематикаМедицинаМеталлургияМеханикаОбразованиеОхрана трудаПедагогикаПолитикаПравоПсихологияРелигияРиторикаСоциологияСпортСтроительствоТехнологияТуризмФизикаФилософияФинансыХимияЧерчениеЭкологияЭкономикаЭлектроника






Приложение 9. 1. Нарушения внимания при локальных поражениях мозга.






 

Как известно из курса общей психологии, внимание нельзя рассматривать в качестве самостоятельного психического процесса, так как оно не имеет своего содержания, продукта.

Внимание характеризует динамику любого психического процесса; это тот фактор, который обеспечивает селективность, избирательность протекания любой психической деятельности - как простой, так и сложной.

Проблема внимания - одна из сложных проблем психологии. В истории ее изучения были разные периоды.

Сравнительно недавно проблема внимания полностью игнорировалась многими психологическими школами.

Однако вслед из этим периодом возникла чисто практическая необходимость в изучении внимания, что было связано с рядом важных, сугубо практических задач, таких как служба наблюдения за движущимися объектами, диспетчерская служба и др. Вновь появилась необходимость и в изучении проблематики, которая уже была хорошо известна в психологии (свойств, объема, уровней внимания и т. д.).

Интерес к проблеме внимания до сих пор продолжает оставаться весьма высоким, о чем свидетельствует большое число публикаций на эту тему. Однако до сих пор в теоретическом осмыслении проблемы внимания нет единства. Это отражается и в определении внимания как психического явления, и в трактовке различных форм и уровней внимания и т. д. Раньше внимание трактовалось как исключительно сенсорный феномен (зрительное, слуховое, тактильное внимание), т. е. как фактор, который способствует избирательному протеканию процессов приема и переработки разного рода информации (О. С. Вудвортс, 1950 и др.).

Другая трактовка внимания представлена в работах С. Л. Рубинштейна (1940 и др.), где внимание рассматривается как фактор, который обеспечивает селективность протекания всех познавательных процессов. Таким образом, сфера действия внимания расширяется до познавательных процессов в целом.

А. Р. Лурия (1975а) дает еще более широкое определение внимания - как фактора, способствующего селективности протекания любых психических процессов, как познавательных, так и аффективно-волевых. Из подобного понимания внимания следует, что существует несколько форм внимания, соответственно тем процессам, в которых оно реализуется. К этим формам относятся:

а) сенсорное внимание (зрительное, слуховое, тактильное и др.);

б) двигательное внимание, проявляющееся в моторных процессах, в их осознании и регуляции;

в) эмоциональное внимание, привлекаемое эмоционально-значимыми стимулами; следует отметить особые закономерности протекания этой формы внимания, ее тесную связь с памятью, с процессом запечатления информации (процессами импритинга);

г) интеллектуальное внимание, которое проявляется в интеллектуальной деятельности (внимание к предмету обдумывания, к интеллектуальным операциям, с помощью которых реализуется сам процесс мышления).

Указанные четыре формы внимания изучены в разной степени.

Сенсорное внимание - одна из наиболее подробно изученных форм; все основные закономерности внимания были получены при изучении именно этой формы. Сравнительно хорошо изучено и двигательное внимание - его роль в регуляции движений и действий, навыков, автоматизированных актов. Однако эмоциональная и особенно интеллектуальная формы внимания изучены существенно меньше. Нейропсихологическое исследование разных форм нарушений внимания может дать важные сведения для выявления как общих закономерностей, свойственных всем формам внимания, так и специфических, характерных только для той или иной формы.

Как известно, существуют два самостоятельных уровня внимания: непроизвольный и произвольный. Л. С. Выготский обозначает их как первичное и вторичное, считая, что первичное, непроизвольное внимание - то, с которым ребенок рождается; вторичное, произвольное внимание формируется по мере становления всех других психических функций и является прежде всего социально опосредованным типом внимания (Л. С. Выготский, 1960).

Известно, что произвольное внимание у взрослого человека направляется прежде всего речевыми стимулами, т. е. тесно связано с речевой системой. Это одно из важнейших положений психологии внимания, которое входит в теорию «умственных действий», в современные представления о формировании произвольного внимания у ребенка (Я. Я. Гальперин, 1959, 1976 и др.) и в представления о механизмах регуляции произвольных движений и действий (Я. А. Бернштейн, 1947, 1966). Этот раздел общей психологии внимания нейропсихология также уточняет и развивает своими исследованиями. Таким образом, изучение нарушений внимания (его разных форм, уровней) у больных с локальными поражениями мозга не только составляет самостоятельный раздел нейропсихологии, но и открывает широкие возможности для разработки общепсихологических аспектов проблемы внимания. Нейропсихология внимания - сравнительно молодая область нейропсихологии. Еще совсем недавно считалось, что внимание не связано специально с какими-то определенными структурами мозга и что его нарушения (в виде ослабления, снижения объема, нарушения концентрации, повышенной истощаемости, резких колебаний и т. д.) свойственны любому больному человеку независимо от локализации поражения мозга. Иными словами, полагали, что нарушения внимания не имеют локального значения и их анализ не может быть использован в топической нейропсихологической диагностике. Эта точка зрения связывала нарушения внимания (как и нарушения памяти) только с общемозговыми механизмами, с работой мозга как целого.

Однако нейропсихологические исследования последних лет доказали, что эта точка зрения несправедлива и что существуют два самостоятельных типа нарушений внимания.

Первый тип нарушений внимания можно обозначить как модально-неспецифические. Эти нарушения внимания распространяются на любые его формы и уровни. Больной не может сосредоточиться на стимулах любой модальности (зрительных, слуховых, тактильных и др.), нарушения внимания проявляются в любой психической деятельности. Подобного рода нарушения внимания характерны для больных с поражениями неспецифических срединных структур мозга разных уровней.

Модально-неспецифические нарушения внимания при общем их сходстве, состоящем в отсутствии модальной специфичности стимулов — объектов внимания, обнаруживают определенные различия при поражении разных уровней неспецифической системы мозга.

При поражении нижних отделов неспецифических структур (уровня продолговатого и среднего мозга) у больных наблюдаются быстрая истощаемость, резкое сужение объема внимания и нарушение его концентрации. Эти симптомы нарушений внимания проявляются в любом виде деятельности (сенсомоторной, гностической, интеллектуальной).

Феноменология такой формы нарушений внимания хорошо известна из литературы, в частности из описаний травматических поражений головного мозга («Черепно-мозговая травма...», 1998 и др.). Так, при выполнении серийных счетных операций (например, задания на серийное вычитание или на серийное сложение) больные сначала дают быстрые и правильные ответы, затем латентные периоды ответов резко увеличиваются (по типу истощения), появляются ошибки и следует отказ от выполнения задания. Иногда возможен повторный «всплеск» активности, когда больной вновь начинает совершать счетные действия правильно. Наблюдение показывает, что принципиально счетная деятельность таким больным доступна. Однако ее длительное (несколько минут) серийное выполнение, требующее постоянного напряжение произвольного внимания, сталкивается с большими трудностями.

• Следует отметить, что у больных с поражением нижних отделов неспецифических структур мозга в большей степени страдают непроизвольные формы внимания. Таким больным легче сосредоточиться на каком-либо задании при повышенной заинтересованности в результатах его выполнения. Так, обращение к профессиональному интересу или к мотивационной основе действий улучшает результаты. Это свидетельствует о том, что у таких больных произвольный уровень регуляции внимания относительно сохранен, в то время как первичные непроизвольные формы внимания страдают существенно больше. Следовательно, важнейшей характеристикой этого уровня поражения неспецифических структур является возможность компенсации нарушений внимания посредством обращения к высшим смысловым категориям или с помощью сопровождения действий громкой речью - способа, усиливающего речевую регуляцию деятельности («Лобные доли...», 1966 и др.).

К этой категории больных прежде всего относятся больные с разными травмами мозга (так как сотрясение мозга, как правило, вызывает кровоизлияние в нижних отделах ствола), а также с опухолями в области задней черепной ямки и с поражениями мозжечка (так как обычно в этих случаях оказывается давление на стволовые структуры мозга). В целом это довольно большая группа больных, поступающих на лечение в неврологические и нейрохирургические клиники.

Следующий уровень поражения неспецифических структур - уровень диэнцефальных отделов мозга и лимбической системы. Он, по-видимому, состоит из нескольких самостоятельных подуровней. Однако в настоящее время специфика поражения каждого из них изучена еще недостаточно подробно. При поражении этих неспецифических структур нарушения внимания, как правило, проявляются в существенно более грубых формах. Такие больные часто вообще не могут сосредоточиться ни на какой деятельности или их внимание крайне неустойчиво. Эти трудности проявляются и при выполнении двигательных актов, и при решении арифметических задач, и при выполнении вербальных заданий. Попытки поднять уровень активности этих больных, как правило, не дают стойкого результата. Компенсация или отсутствует, или длится очень недолго. В данном случае наблюдается другой тип нарушений внимания со сниженными возможностями компенсации вследствие ослабления механизмов произвольной регуляции деятельности. К этой группе больных относятся больные с опухолями в области таламуса, гипоталамических структур, с поражениями в области третьего желудочка, лимбической коры, гиппокампа. Эта группа клинически неоднородна: в ряде случаев у таких больных нарушения внимания сочетаются с нарушениями памяти и сознания (А. Р. Лурия, 1974а и др).

Третий уровень поражения неспецифических срединных структур мозга - это уровень медиобазальных отделов лобных и височных долей. Случаев подобных поражений довольно много, и они сравнительно хорошо изучены. К данной группе относятся и больные с массивными поражениями лобных долей мозга. Нарушения внимания у данной группы больных в известной степени противоположны тем, которые наблюдаются у больных с поражением нижних отделов ствола мозга.

У этой группы больных преимущественно страдают произвольные формы внимания в самых различных видах психической деятельности. Одновременно у них патологически усилены непроизвольные формы внимания. Это «лобные» (или «лобно-височные») больные, которые характеризуются «полевым» поведением. Они чрезвычайно реактивны на все стимулы, как будто бы замечают все, что происходит вокруг них (оборачиваются на любой звук, вступают в разговоры, которые ведут между собой соседи, и т. д.), но это бесконтрольная реактивность, отражающая растормаживание элементарных форм ориентировочной деятельности.

В клинической литературе отмечалось, что у подобных больных с помощью обращения к непроизвольному вниманию можно вызвать такие действия, которые нельзя получить, прямо адресуясь к произвольному уровню внимания (т. е. по прямой словесной инструкции). Так, например, такие больные не могут по словесной инструкции переводить взор (направо, налево и т. д.). Однако они переводят ero вслед за реальным движущимся зрительным объектом (например, карандашом). Этот симптом, получивший вклинике название «психический паралич взора», отражает крайнюю степень нарушения произвольных форм контроля за собственными действиями и патологическое усиление пассивных непосредственных («полевых») форм регуляции.

Подобная «подчиненность» непосредственной ситуации у больных с поражением лобных долей мозга приобретает патологический характер. В целом для таких больных характерна диссоциация между резко ослабленным произвольным и патологически усиленным непроизвольным вниманием. Обращение к произвольному речевому уровню контроля не оказывает у них никакого компенсирующего влияния («Лобные доли...», 1966; «Функции лобных долей...», 1982 и др.).

Помимо нарушений внимания при поражении разных уровней неспецифической системы наблюдаются нарушения и других психических процессов, которые будут рассмотрены далее.

Второй тип нарушений внимания обозначают как модально-специфические. Эти нарушения внимания проявляются только в одной сфере (т. е. по отношению к стимулам одной модальности), например в зрительной, слуховой, тактильной или в сфере движений, и описываются клиницистами как явления игнорирования тех или иных стимулов.

Модально-специфические нарушения внимания не имеют ничего общего с нарушениями гностических функций, т. е. с нарушениями восприятия. Их нельзя расценивать и как интеллектуальные дефекты или непонимание инструкции. Это специфические для данной модальности трудности осознания стимула в определенных ситуациях. При каких же ситуациях можно обнаружить этот симптом нарушения осознания стимула определенной модальности (т. е. модально-специфические нарушения внимания)?

Клинические наблюдения показывают, что феномен неосознания определенных стимулов наблюдается преимущественно при оценке анализаторных функций методом предъявления двойных стимулов, т. е. при одновременном предъявлении двух зрительных, двух слуховых или двух тактильных стимулов. Зрительное невнимание. В зрительной сфере этот симптом был впервые обнаружен при изучении полей зрения, когда больному, который концентрировал внимание на центральной точке, одновременно предъявлялось сразу два стимула. Больному предлагалось отвечать, какой из стимулов он заметил. При стандартной процедуре изучения полей зрения с помощью периметра больному предъявляется только один стимул (слева или справа) и определяется сохранность отдельно левой и отдельно правой половины полей зрения (в градусах).

Уже в подобной ситуации было обнаружено, что помимо нарушений полей зрения у больных иногда наблюдаются иные нарушения в виде «необращения внимания» на зрительные стимулы, которые показываются в одном поле зрения — чаще в левом (игнорирование). Однако этот симптом преимущественно проявляется при одновременном предъявлении раздражителей справа и слева. Тогда больной совершенно отчетливо отдает предпочтение одной стороне; он лучше замечает, например, правые, а не левые стимулы. Важно отметить, что если стимулы предъявляются отдельно только справа или только слева, то нередко разницы в их обнаружении не бывает, что свидетельствует против гностической природы этого дефекта (А. Р. Лурия, 1962; Е. П. Кок, 1967; С. В. Бабенкова, 1971; Т. А. Доброхотова и др., 1996а). Подобное невнимание к стимулам, предъявляющимся с одной стороны, связано с повышенной нагрузкой на зрительный анализатор, с необходимостью распределять внимание на большем объеме зрительных стимулов, что и выявляет потенциальную слабость внимания к левым или правым стимулам. Сходные нарушения зрительного внимания также можно обнаружить, когда больному предлагается рассмотреть сюжетную картинку с большим количеством действующих лиц и деталей и высказаться по поводу ее содержания. В таких случаях может четко проявляться симптом игнорирования одной стороны изображения. Больные (правши) как бы «не замечают» того, что изображено слева на картинке (или в левом верхнем, в левом нижнем углу). Если общий смысл картинок можно понять, лишь рассмотрев левый верхний или нижний угол картинки, больные дают неверные ответы. В клинике локальных поражений головного мозга обычно встречается зрительное невнимание именно к левой стороне зрительного пространства как симптом поражения задних отделов правого полушария. Симптом игнорирования зрительных стимулов часто отражает легкую (или начальную) стадию поражения зрительных анализаторных структур и по мере дальнейшего развития заболевания может перейти в гностические расстройства или в одностороннее нарушение полей зрения (гемианопсию). Он связан со спецификой работы правого полушария в целом, с его отношением к такому явлению, как неосознание собственных дефектов, или анозогнозия.

Слуховое невнимание. Если предъявлять одновременно на два уха два разных звука или два разных слова и просить больного точно сказать, что именно он слышит, то часто оказывается, что больной слышит только те звуки (слова), которые подаются в одно ухо, и в той или иной степени игнорирует информацию, поступающую в другое ухо. Методика одновременного предъявления звуковых стимулов в оба уха (или методика дихотического прослушивания), предложенная Д. Кимурой (D.Kimura, 1961), оказалась весьма адекватной для изучения целого ряда проблем, и прежде всего для оценки латеральных особенностей слухового внимания и слухоречевой памяти.

Здоровые люди (правши) имеют определенную асимметрию слухового внимания к вербальным стимулам. В среднем нормальный человек (правша) слышит слова на 10-15 % лучше правым ухом, чем левым (D. Kimura, 1961, 1973 и др.) (рис. 1). Этот феномен получил название «эффект правого уха».

Рис. 1. Количество правильно воспроизведенных слов, предъявлявшихся по методу дихотического прослушивания на правое ухо (пунктирная линия)

и на левое ухо (сплошная линия) у здорового испытуемого. Результаты пятикратного исследования. Асимметрия слухового внимания проявляется в более высокой продуктивности воспроизведения слов, предъявленных на правое ухо («эффект правого уха»). Одновременно действует и «фактор края» - лучшее воспроизведение первых и последних элементов ряда (по Н. К. Киященко и др., 1975)

 

 

У больных с локальными поражениями мозга степень асимметрии резко возрастает (до 50-60 % и больше); иногда звуки, которые подаются с одной стороны, вообще не воспринимаются, хотя те же звуки (слова), предъявленные раздельно на одно правое или на одно левое ухо, воспринимаются относительно равномерно. Этот симптом получил название симптома грубого игнорирования звуков, поступающих с одной стороны. Слуховое невнимание связано прежде всего с поражением слуховой анализаторной системы. Однако оно может наблюдаться и при более широкой локализации очагов поражения внутри полушария (рис. 2, А, Б).

Тактильное невнимание. В тактильной сфере нарушения внимания описаны Г. Тойбером, одним из крупнейших неврологов XX века. Его работы, посвященные симптоматике поражений теменных долей мозга, широко известны (Я. L. Teuber, 1960, 1965 и др.). Г. Тойбер предложил методику двойной тактильной стимуляции, направленную на оценку тактильного внимания. Опыт состоит в том, что экспериментатор одновременно касается одних и тех же участков кистей рук (левой и правой) с одинаковой интенсивностью. От больного требуется, чтобы он, закрыв глаза, определил, сколько было прикосновений - одно или два. Прикосновение наносится локально двумя одинаково острыми предметами (например, кончиками двух карандашей и т. п.). Прикосновения к кистям двух рук одновременно перемежаются двумя прикосновениями к одной и той же руке и одним прикосновением к одной руке для контроля. В этих условиях часто можно видеть, что больной как бы «не замечает» прикосновения к одной руке (чаще к левой), когда даются два прикосновения одновременно, что является симптомом поражения правого полушария головного мозга (преимущественно правой теменной доли). Если прикасаться раздельно только к левой или только к правой руке, то явление игнорирования стимула не обнаруживается. Этот симптом свидетельствует о существовании специальной формы внимания к тактильным стимулам и возможности ее изолированного нарушения.

 

Рис. 2. Воспроизведение слов, предъявленных одновременно на левое и правое ухо

у здоровых (белые столбики) и у больных с поражением левого (А) полушария (черные столбики) и правого (Б) полушария (серые столбики). Поражение левого полушария (А) приводит к нарушению слухового внимания и на правое, и на левое ухо; поражение правого полушария (Б) отражается лишь на воспроизведении слов, поступающих на левое ухо (т. е. в «больное» полушарие) (по Э. Г. Симерницкой, 1985)

Двигательное невнимание. Нарушения внимания к двигательным актам хорошо известны в клинике локальных поражений головного мозга. Они проявляются в том случае, когда больному предлагается одновременно выполнять движения двумя руками. При выполнении двуручных двигательных заданий больные обычно сначала выполняют их правильно, затем одна рука замедляет движения и как бы «отключается», а больной продолжает совершать движения только одной рукой. На вопрос: «Правильно ли вы делаете?» - он отвечает: «Правильно». При повторении задания та же рука (чаще левая) вновь отключается. Сам больной по-прежнему не осознает своих ошибок. Это игнорирование собственных двигательных ошибок отражает нарушения внимания в двигательной сфере. Симптом игнорирования исчезает, если попросить больного делать те же движения отдельно левой и правой руками.

Таким образом, симптом двигательного игнорирования носит строго односторонний характер. Отключение внимания, неосознание собственного дефекта возникает лишь при нагрузке на двигательный анализатор, при увеличении объема движений, как это происходит и в сенсорных сферах при других поражениях мозга. Нарушения двигательного внимания характерны для больных с поражением передних отделов больших полушарий (чаще правого) - премоторных, префронтальных областей коры, а также глубинных структур мозга, включая базальные ядра.

Психофизиологические исследования модально-неспецифических нарушений произвольного и непроизвольного внимания у больных с поражением разных уровней неспецифических структур (методом оценки изменений спектра ЭЭГ и др.) показали, что непроизвольное внимание связано преимущественно с работой нижних отделов ствола и среднего мозга, в то время как произвольные формы внимания, несомненно, являются корковой функцией.

У больных с поражением нижних отделов ствола и феноменологией нарушений преимущественно непроизвольных форм внимания введение сигнального значения стимулов с помощью инструкции ведет к усилению и неугасимости ориентировочных реакций, как это наблюдается и в норме (рис. 3, А, Б), что указывает на сохранность у них механизмов произвольного (сенсорного) внимания.

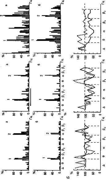
При поражении лобных (преимущественно медиальных) отделов мозга введение сигнального значения раздражителя не отражается на динамике процессов активации, что коррелирует у них с грубыми нарушениями произвольного внимания (Е.Д. Хомская, 1972; «Проблемы нейропсихологии», 1977 и др.) (рис. 4, 1, II, III).

Результаты психофизиологического изучения интеллектуального внимания, так же как и данные клинического нейропсихологического исследования, свидетельствуют о его связи прежде всего с корой лобных долей мозга.

С помощью метода оценки локальной пространственной синхронизации (индекса ПС) биопотенциалов в различных областях мозга было показано, что у здоровых испытуемых произвольное интеллектуальное внимание, сопровождающее длительное выполнение различных заданий (например, серийного счета), ведет к совершенно отчетливой активации передних отделов мозга, что выражается в повышении индекса ПС в этих областях (Т. В. Слотинцева, 1974; Е.Ю. Артемьева, Е. Д. Хомская, 1975 и др.) (см. рис. 5, А, Б). При оценке корреляционных связей, объединяющих разные корковые структуры (по методу M. H. Ливанова), при выполнении счетных операций выявляются специфически активные поля и в передних, и в задних отделах полушарий (В. В. Лазарев и др., 1977).

При выполнении вербальных тестов (например, во время придумывания слов по определенному правилу), когда требуется производить звуковой анализ слов, у здоровых испытуемых отчетливо повышается уровень активации речевых зон (средних отделов левого полушария). Одновременно наблюдается повышение индекса ПС и в передних отделах мозга. В целом любые интеллектуальные задания всегда приводят к значимому повышению активности передних отделов мозга, что указывает на важную роль лобных отделов коры в реализации интеллектуальной деятельности. Эта способность к избирательному повышению функционального состояния в разных областях мозга, являющаяся физиологической основой интеллектуального внимания, отсутствует (или грубо нарушена) у больных с поражением лобных отделов мозга (рис. 5, Б) и сохранна в целом у больных с другой локализацией очага поражения.

Психофизиологическое исследование модально-специфических нарушений зрительного внимания методом вызванных потенциалов у больных с различными поражениями мозга показало, что их основой являются изменения локальных неспецифических активационных процессов в корковых зонах зрительного анализатора. При поражении коркового уровня того или иного анализатора отсутствует феномен локального изменения активационных процессов в соответствующих зонах коры во время восприятия стимула, что связано с патологией таламокортикальных связей в пределах данной анализаторной системы («Проблемы нейропсихологии...», 1977 и др.). Таким образом, психофизиологический анализ нарушений внимания у больных с локальными поражениями мозга указывает на различные физиологические механизмы произвольных и непроизвольных форм внимания и на участие в них разных структур головного мозга.

Рис. 3. Изменение амплитудных значений различных частот спектра ЭЭГ во время действия индифферентных и сигнальных звуковых раздражителей

у здорового испытуемого (усреднение эффекта действия первых пяти стимулов): А - абсолютные значения различных частот спектра ЭЭГ: а - частотный спектр ЭЭГ перед индифферентными звуками (1) и во время их действия (2), б - частотный спектр ЭЭГ перед сигнальными звуками (1) и во время их действия (2); Б - те же данные, выраженные в процентах по отношению к фону, принятому за 100 %. По оси абсцисс - частоты ЭЭГ, выделяемые анализатором Уолтера, по оси ординат - амплитудные значения каждой частоты (в мм) записи пера анализатора. Пунктирная линия - действие индифферентных звуков, сплошная линия - действие сигнальных звуков.

Реакция депрессии максимальна в диапазоне альфа-частот. Теменно-затылочное отведение слева (по О. П. Барановской, Е. Д. Хомской, 1966)

 


 

Рис. 4. Примеры изменений спектра ЭЭГ во время действия первых пяти индифферентных и сигнальных звуковых раздражителей

у больных с поражением медиобазальных отделов лобных долей мозга (I), с поражением других структур лобных долей (II) и с внелобными полушарными поражениями мозга (III). Обозначения те же, что и на рис. 3. Теменно-затылочное отведение «здорового» полушария (по Е. Д. Хомской, 1972)

Рис. 5. Значения индекса локальной пространственной синхронизации (ПС) :

А - в норме; Б - у больных с поражением лобных долей мозга s фоновых записях ЭЭГ и при выполнении тестов на внимание; а - лобные отделы мозга, б - теменно-затылочные отделы, в - левое полушарие, г - правое полушарие.

1 - фоновые данные; 2 - данные при выполнении тестов. Индекс ПС, изменяющийся у здоровых испытуемых в лобных отделах и в левом полушарии при напряжении внимания, у больных с поражением лобных долей мозга почти ареактивен (по Т. В. Слотинцевой, 1974)

 



Поделиться с друзьями:

mylektsii.su - Мои Лекции - 2015-2026 год. (1.358 сек.)Все материалы представленные на сайте исключительно с целью ознакомления читателями и не преследуют коммерческих целей или нарушение авторских прав Пожаловаться на материал