Студопедия

Главная страница Случайная страница

КАТЕГОРИИ:

АвтомобилиАстрономияБиологияГеографияДом и садДругие языкиДругоеИнформатикаИсторияКультураЛитератураЛогикаМатематикаМедицинаМеталлургияМеханикаОбразованиеОхрана трудаПедагогикаПолитикаПравоПсихологияРелигияРиторикаСоциологияСпортСтроительствоТехнологияТуризмФизикаФилософияФинансыХимияЧерчениеЭкологияЭкономикаЭлектроника






Информация по оценке знаний обучающихся






 

Общая шкала оценки знаний

 

Аттестационная буквенная оценка Цифровой эквивалент баллов %-е содержание степени усвоения учебной дисциплины Оценка по традиционной системе  
А 4, 0 95-100 отлично
А- 3, 67 90-94
В+ 3, 33 85-89 хорошо
В 3, 0 80-84
В- 2, 67 75-79
С+ 2, 33 70-74 удовлетворительно  
С 2, 0 65-69
С- 1, 67 60, 64
D+ 1, 33 55-59
D 1, 0 50-54
F   0-49   неудовлетворительно

Итоговая оценка по дисциплине в процентном содержании определяется:

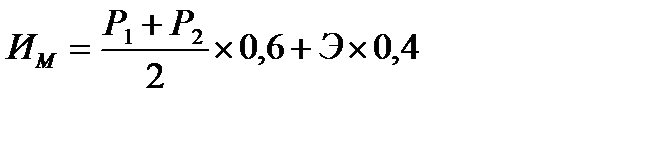
В случае если модуль состоит из одной дисциплины, то итоговой оценкой по модулю является результат итогового контроля по данной дисциплине. При этом итоговая оценка включает оценки по видам работ, предусмотренных учебной программой дисциплины (практические, лабораторные, расчетно-графические, курсовые), рассчитывается по формуле:

, где

Р1 и Р2 – оценки первого и второго рубежного контроля;

Э – оценка за экзамен;

ИМ – итоговая экзаменационная оценка за модуль дисциплин

0, 4 и 0, 6 – соответственно коэффициенты весомости экзаменационной оценки и оценок рубежного контроля.

В случае если модуль состоит из нескольких компонентов, то экзамен проводится по основному компоненту (Эок), а по другим компонентам формой итогового контроля являются реферат, эссе, проектная работа или курсовая работа (Эдк), рассчитывается по формуле:

, где

Эок – экзамен по основному компоненту;

Эдк – экзамен по другим компонентам;

ККМ – количество компонентов модуля

0, 4 и 0, 6 – соответственно коэффициенты весомости экзаменационной оценки и оценок рубежного контроля.

ИМ – итоговая экзаменационная оценка за модуль дисциплин


Поделиться с друзьями:

mylektsii.su - Мои Лекции - 2015-2026 год. (0.749 сек.)Все материалы представленные на сайте исключительно с целью ознакомления читателями и не преследуют коммерческих целей или нарушение авторских прав Пожаловаться на материал