Студопедия

Главная страница Случайная страница

КАТЕГОРИИ:

АвтомобилиАстрономияБиологияГеографияДом и садДругие языкиДругоеИнформатикаИсторияКультураЛитератураЛогикаМатематикаМедицинаМеталлургияМеханикаОбразованиеОхрана трудаПедагогикаПолитикаПравоПсихологияРелигияРиторикаСоциологияСпортСтроительствоТехнологияТуризмФизикаФилософияФинансыХимияЧерчениеЭкологияЭкономикаЭлектроника






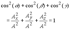
This results form the fact that






A unit vector can be constructed along a vector using the direction cosines as its components along the x, y, and z directions. For example, the unit-vector along the vector A is obtained from

Therefore,

A vector connecting two points:

The vector connecting point A to point B is given by

A unit vector along the line A-B can be obtained from

A vector F along the line A-B and of magnitude F can thus be obtained from the relation

Dot product:

The dot product is denoted by " " between two vectors. The dot product of vectors A and B results in a scalar given by the relation

where is the angle between the two vectors. Order is not important in the dot product as can be seen by the dot products definition. As a result one gets


Поделиться с друзьями:

mylektsii.su - Мои Лекции - 2015-2026 год. (0.989 сек.)Все материалы представленные на сайте исключительно с целью ознакомления читателями и не преследуют коммерческих целей или нарушение авторских прав Пожаловаться на материал