Студопедия

Главная страница Случайная страница

КАТЕГОРИИ:

АвтомобилиАстрономияБиологияГеографияДом и садДругие языкиДругоеИнформатикаИсторияКультураЛитератураЛогикаМатематикаМедицинаМеталлургияМеханикаОбразованиеОхрана трудаПедагогикаПолитикаПравоПсихологияРелигияРиторикаСоциологияСпортСтроительствоТехнологияТуризмФизикаФилософияФинансыХимияЧерчениеЭкологияЭкономикаЭлектроника






Order is important in the cross product. If the order of operations changes in a cross product the direction of the resulting vector is reversed. That is,






The cross product has the following properties.

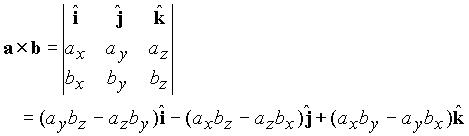
Rectangular coordinates:

When working in rectangular coordinate systems, the cross product of vectors a and b given by

Can be evaluated using the rule

One can also use direct multiplication of the base vectors using the relations

The triple product:

The triple product of vectors a, b, and c is given by

The value of the triple product is equal to the volume of the parallelepiped constructed from the vectors. This can be seen from the figure since

The triple product has the following properties

Rectangular coordinates:

Consider vectors described in a rectangular coordinate system as

The triple product can be evaluated using the relation

Triple vector product:

The triple vector product has the properties


Поделиться с друзьями:

mylektsii.su - Мои Лекции - 2015-2026 год. (0.541 сек.)Все материалы представленные на сайте исключительно с целью ознакомления читателями и не преследуют коммерческих целей или нарушение авторских прав Пожаловаться на материал