Студопедия

Главная страница Случайная страница

КАТЕГОРИИ:

АвтомобилиАстрономияБиологияГеографияДом и садДругие языкиДругоеИнформатикаИсторияКультураЛитератураЛогикаМатематикаМедицинаМеталлургияМеханикаОбразованиеОхрана трудаПедагогикаПолитикаПравоПсихологияРелигияРиторикаСоциологияСпортСтроительствоТехнологияТуризмФизикаФилософияФинансыХимияЧерчениеЭкологияЭкономикаЭлектроника






Определение перспективной численности населения.






 

Для управления экономическими и социальными процессами, проведения эффективной и обоснованной политики на государственном и региональном уровнях, необходимо располагать данными о численности, размещении и составе населения, т.е. возникает необходимость прогнозирования численности населения. Для этого используются различные методы прогнозирования.

 

Таблица смертности.

В таблицах смертности и средней продолжительности жизни показывается изменение численности условного поколения (т.е. совокупности родившихся в одном году 100 тыс. человек) при переходе от возраста к возрасту под влиянием только одного фактора – смертности. Расчет показателей таблицы основываются на предположении, что на всем протяжении жизни этого поколения уровень смертности в отдельных возрастных группах будет соответствовать реальному уровню смертности на момент ее составления.

В таблице для каждого возраста (0 лет, 1 год, 2 года и т.д. до 100 лет) содержатся следующие показатели:

1) Число доживающих до возраста лет - ;

2) Число умерших в возрасте лет - ;

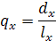
3) вероятность умереть в течение предстоящего года жизни для лиц, достигших возраста лет - :

(10.19)

 

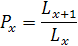
4) Вероятность дожить до следующего возраста для лиц, достигших возраста лет - :

(10.20)

 

5) Среднее число живущих в возрасте лет - :

 

(10.21)

 

6) Число человеко-лет предстоящей жизни от возраста лет и до предельного :

(10.22)

 

7) Ожидаемая продолжительность жизни (число лет, которое предстоит прожить лицам, достигшим возраста лет):

 

(10.22)

 

8) Коэффициент дожития:

(10.23)

 

Пример 7. Из таблицы смертности известно, что число человеко-лет предстоящей жизни от 35 лет и до предельного возраста составляет 3900202 человек. Число доживших до 35 лет равно 92400 человек, а до 36 лет – 91790 человек. Определить недостающие показатели таблицы смертности для лиц, достигших 35 лет.

Решение:

а) число умирающих в возрасте 35 лет:

 

 

б) вероятность умереть в возрасте 35 лет:

 

 

в) вероятность дожить до 36 лет:

 

 

г) среднее число живущих в возрасте 35 лет:

 

 

д) ожидаемая продолжительность предстоящей жизни для лиц, достигших 35 лет:

 

 


Поделиться с друзьями:

mylektsii.su - Мои Лекции - 2015-2026 год. (1.155 сек.)Все материалы представленные на сайте исключительно с целью ознакомления читателями и не преследуют коммерческих целей или нарушение авторских прав Пожаловаться на материал