Студопедия

Главная страница Случайная страница

КАТЕГОРИИ:

АвтомобилиАстрономияБиологияГеографияДом и садДругие языкиДругоеИнформатикаИсторияКультураЛитератураЛогикаМатематикаМедицинаМеталлургияМеханикаОбразованиеОхрана трудаПедагогикаПолитикаПравоПсихологияРелигияРиторикаСоциологияСпортСтроительствоТехнологияТуризмФизикаФилософияФинансыХимияЧерчениеЭкологияЭкономикаЭлектроника






Центр параллельных сил






Условия равновесия тела (рис. 57):

Рис. 57. Сложение параллельных сил

Рис. 58. Центр параллельных сил

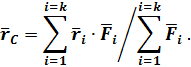
Точка – центр параллельных сил (рис. 58).

Согласно теореме Вариньона в данном случае

или

отсюда

КООРДИНАТЫ ЦЕНТРА СИЛ, ПАРАЛЛЕЛЬНЫХ ОДНОЙ ОСИ

Согласно теореме Вариньона выполняется следующее равенство (рис. 59):

Рис. 59. Координаты центра тяжести

или момент вокруг оси будет

Отсюда

Аналогично

Если силы повернуть параллельно другой оси, например , то будет

КООРДИНАТЫ ЦЕНТРА ТЯЖЕСТИ ТЕЛА

Замечание.

Центр тяжести – это точка геометрическая. Она может быть вне тела, например, у кольца.

Для объёмных однородных тел

где – удельный вес.

Для плоских тел с площадями каждого

Для участков однородной пространственной линии


ДИНАМИКА


Поделиться с друзьями:

mylektsii.su - Мои Лекции - 2015-2026 год. (0.906 сек.)Все материалы представленные на сайте исключительно с целью ознакомления читателями и не преследуют коммерческих целей или нарушение авторских прав Пожаловаться на материал