Студопедия

Главная страница Случайная страница

КАТЕГОРИИ:

АвтомобилиАстрономияБиологияГеографияДом и садДругие языкиДругоеИнформатикаИсторияКультураЛитератураЛогикаМатематикаМедицинаМеталлургияМеханикаОбразованиеОхрана трудаПедагогикаПолитикаПравоПсихологияРелигияРиторикаСоциологияСпортСтроительствоТехнологияТуризмФизикаФилософияФинансыХимияЧерчениеЭкологияЭкономикаЭлектроника






Цифровий тестер UT30D;






2. набір резисторів МЛТ – одного номіналу RN=5100 Ом; N=15штук; δ R=±5%.

 

Теоретичні відомості

Метод вимірювання заміщенням — метод порівняння з мірою, в якому вимірювану величину заміщають відомою величиною, відтворною мірою. Наприклад, на чашку терезів, призначену для зважування маси, встановлюють повний комплект гирь і врівноважують терези довільним вантажем. Потім на чашку з гирями поміщають зважувану масу і знімають частину гирь для відновлення рівноваги. Сумарне значення маси знятих гирь відповідає значенню зважуваної маси (спосіб Д.І. Менделєєва).

Похибки вимірювань відрізняються закономірністю або характером змінювання при повторних вимірюваннях (у часі та за ансамблем реалізацій) і за цією ознакою їх поділяють на випадкові та систематичні.

Випадкова похибка - це складова похибки вимірювання, що змінюється випадково (непередбачено за значенням і знаком) при повторних вимірюваннях того самого розміру фізичної величини. Поява випадкових похибок зумовлена в основному дією на метрологічні характеристики ЗВТ великої кількості внутрішніх і зовнішніх факторів, що змінюються випадково, тобто випадкові похибки є, як правило, інструментальними. Крім того, випадкову похибку може вносити і недосвідчений оператор, який не володіє стійкими навичками відліку показів аналогових вимірювальних приладів. У силу непередбаченості випадкова складова похибки не може бути виключена з результату вимірювання, але вона може бути зменшена при статистичній обробці багаторазових спостережень.

Систематична похибка - це складова похибки вимірювання, яка при повторних вимірюваннях того самого розміру фізичної величини залишається постійною або змінюється за певним законом. Систематичні похибки за причинами, що їх викликають, можуть бути методичними, інструментальними і суб’єктивними. За характером змінювання від вимірювання до вимірювання розрізняють постійні і змінні систематичні похибки вимірювань.

Випадкова похибка при повторних вимірюваннях змінює свій розмір і знак. За дійсне значення при цьому приймається середнє арифметичне значення всіх результатів вимірювання.

Розрізняють середньоквадратичну похибку , де n – число вимірів, Δ Rt2 різниця між виміряними значеннями Rt та дійсним значенням (середнім арифметичним). Похибку вимірювання оцінюють в залежності від прийнятої імовірності РД.

2/3σ R – ймовірна похибка; 3σ R – максимальна похибка.

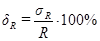
Максимальна відносна похибка δ R=3σ R/R.

 

Порядок виконання роботи

1. Заміряти 15 шт. резисторів цифровим тестером UT30D, результати вимірювань занести в таблицю.

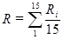
2. Обчислити середнє арифметичне , результат занести в таблицю.

3. Знайти ряд відхилень від середнього Δ Ri=Ri-R, результати занести в таблицю.

4. Піднести всі значення до квадрату Δ Ri2, результати занести в таблицю.

5. Обчислити середню квадратичну похибку: , результат занести в таблицю.

6. Знайти ймовірну похибку σ Rім=2/3σ R, результат занести в таблицю.

7. Обчислити максимальну похибку σ R max = 3σ R, результат занести в таблицю.

8. Обчислити відносну похибку і максимум , результати занести в таблицю.

9. Обчислити всі систематичні похибки резисторів, результати вимірювань занести в таблицю, порівняти їх з допустимою похибкою + 5%:

Δ Rсист=RN–Rі; .

10. Знайти абсолютну похибку: Δ R0=RN – R, результат занести в таблицю.

11. Знайти максимальну допустиму похибку (абсолютну) виготовлення резисторів , результат занести в таблицю і порівняти її з Δ Rсист.

12. Результати вимірювань занести в таблицю.

Ri, кОм R, кОм Δ Ri Δ Ri2 sR sRiм sRmax Δ Rсист dсист, % Δ R0 Δ Rвиг
                           
           
           
           
           
           
           
           
           
           
           
           
           
           
           

 

13. Зробити висновок щодо придатності та справності резисторів.

 


Поделиться с друзьями:

mylektsii.su - Мои Лекции - 2015-2026 год. (1.382 сек.)Все материалы представленные на сайте исключительно с целью ознакомления читателями и не преследуют коммерческих целей или нарушение авторских прав Пожаловаться на материал