Студопедия

Главная страница Случайная страница

КАТЕГОРИИ:

АвтомобилиАстрономияБиологияГеографияДом и садДругие языкиДругоеИнформатикаИсторияКультураЛитератураЛогикаМатематикаМедицинаМеталлургияМеханикаОбразованиеОхрана трудаПедагогикаПолитикаПравоПсихологияРелигияРиторикаСоциологияСпортСтроительствоТехнологияТуризмФизикаФилософияФинансыХимияЧерчениеЭкологияЭкономикаЭлектроника






Линейные дифференциальные уравнения первого порядка. Метод вариации постоянной для решения линейного дифференциального уравнения первого порядка.






Определение линейного уравнения первого порядка

Дифференциальное уравнение вида

где a(x) и b(x) − непрерывные функции x, называтся линейным неоднородным дифференциальным уравнением первого порядка.

Метод вариации постоянной

Сначала необходимо найти общее решение однородного уравнения:

Общее решение однородного уравнения содержит постоянную интегрирования C. Далее мы заменяем константу C на некоторую (пока еще неизвестную) функцию C(x). Подставляя это решение в неоднородное дифференциальное уравнение, можно определить функцию C(x).

Описанный алгоритм называется методом вариации постоянной. Разумеется, оба метода приводят к одинаковому результату.

Решить дифференциальное уравнение .


Solution.

Будем решать данную задачу методом вариации постоянной. Сначала найдем общее решение однородного уравнения:

которое решается разделением переменных:

где C − произвольное положительное число.

Теперь заменим константу C на некоторую (пока неизвестную) функцию C(x) и далее будем искать решение исходного неоднородного уравнения в виде:

Производная равна

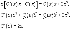
Подставляя это в дифференциальное уравнение, получаем:

Интегрируя, находим функцию C(x):

где C1 − произвольное действительное число.

Таким образом, общее решение заданного уравнения записывается в виде:

 


Поделиться с друзьями:

mylektsii.su - Мои Лекции - 2015-2026 год. (0.677 сек.)Все материалы представленные на сайте исключительно с целью ознакомления читателями и не преследуют коммерческих целей или нарушение авторских прав Пожаловаться на материал