Студопедия

Главная страница Случайная страница

КАТЕГОРИИ:

АвтомобилиАстрономияБиологияГеографияДом и садДругие языкиДругоеИнформатикаИсторияКультураЛитератураЛогикаМатематикаМедицинаМеталлургияМеханикаОбразованиеОхрана трудаПедагогикаПолитикаПравоПсихологияРелигияРиторикаСоциологияСпортСтроительствоТехнологияТуризмФизикаФилософияФинансыХимияЧерчениеЭкологияЭкономикаЭлектроника






Основы теории. Определение констант фильтрования






Определение констант фильтрования

Цель работы: определение констант процесса фильтрования и производительности фильтра по фильтрату.

 

Основы теории

Процессом фильтрования называют разделение суспензий, пыли или тумана путём пропускания их через пористую перегородку-фильтр, способную задерживать взвешенные частицы (дисперсную среду), образуя осадок, но пропускать жидкость или газ (дисперсную среду), образуя фильтрат (либо очищенный газ).

Скорость фильтрования суспензий существенным образом зависит от физических свойств жидкости и крупности твёрдых частиц и их концентрации. По степени крупности твёрдых частиц суспензии делят на:

а) грубые (размер частиц более 100 мкм);

б) тонкие (размер частиц от 100 до 0, 5 мкм);

в) мути (размер частиц до 0, 5 мкм);

г) коллоидные растворы.

На практике встречаются все виды суспензий и большей частью с частицами разных размеров, т.е. полидисперсные системы.

При фильтровании суспензия поступает на пористую фильтрующую перегородку, через которую жидкая фаза проходит, а взвешенные частицы остаются на поверхности фильтра в виде осадка.

Виды фильтрования:

1. С образованием осадка;

2. С закупориванием пор;

3. Промежуточный вид;

Для движения жидкости в порах осадка и фильтрующей перегородки необходимо создать перепад давления над и под фильтрующей перегородкой.

Перепад давления над и под фильтрующей перегородкой является движущей силой процесса и создается за счет разряжения под фильтрующей перегородкой (вакуум-фильтры) или создания давления над фильтрующей перегородкой (фильтры под давлением).

Существует 4 основные характеристики фильтрования: движущая сила процесса, скорость процесса, производительность фильтра, константы процесса фильтрования.

Производительность фильтра зависит от режима фильтрования (давление, температура), вида фильтрующей перегородки и физико-химических свойств суспензии и осадка.

Фильтрование со сжимаемым и несжимаемым осадком:

4. Несжимаемые осадки –пористость которых не меняется при увеличении давлений (мел, песок);

5. Сжимаемые осадки – пористость уменьшается, гидравлическое сопротивление потоку жидкой фазы возрастает с увеличением давления (гидраты окисей металлов).

Хорошая работа фильтра во многом зависит от свойств фильтрующей перегородки, которую изготавливают из различных хлопчатобумажных тканей (бельтинг, бязь, миткаль, диагональ и др.), шерстяных тканей (сукно, байка, войлок), тканей из синтетических волокон (поливинилхлоридные, перхлорвиниловые, полиамидные, орлон, лавсан, и до.), тканей из волокон минерального происхождения (асбестовые и стеклянные) и др. В последнее время всё шире начинают применять пористые металлические, керамические и металлокерамические фильтрующие перегородки.

Выбор той или иной фильтрующей перегородки обусловлен:

1. Пористостью (размеры пор должны быть такими, чтобы частицы осадка задерживались на перегородке);

2. Химической стойкостью к действию фильтруемой среды;

3. Достаточной механической прочностью;

4. Теплостойкостью при температуре фильтрования.

Рассматривая параметры, влияющие на процесс фильтрования, можно написать в общем виде закон фильтрования:

(1)

 

где V– производительность единицы поверхности фильтрующей перегородки по фильтрату, м23 за время (в ч., мин., с.);

– скорость фильтрования м32 ч;

Δ Р – движущая сила процесса фильтрования (перепад давлений), Н/м2;

R – сопротивление фильтрования Н·с/м3.

 

Движущей силой процесса фильтрования Δ Р является разность давлений по обе стороны фильтрующей перегородки. Разность давлений может быть создана:

а) слоем самой суспензии, налитой на фильтр;

б) подачей суспензии на фильтр насосами (например, в фильтр-прессах давление достигает 0, 5 Мпа);

в) создание вакуума под фильтрующей перегородкой, либо избыточного давления газа над фильтрующей перегородкой (например, в промышленном вакуум-фильтрах вакуум составляет 0, 095 Мпа, а давление газа – до 0, 3 Мпа);

г) наложением на разделяемую суспензию центробежного поля, движущая сила при этом принимает максимальное значение и достигает 1, 5 МПа.

Сопротивление фильтрования R складывается из сопротивления осадка Rос и сопротивления фильтрующей перегородки Rп, т.е.:

 

R=Roc+Rп (2)

Сопротивление слоя осадка пропорционально количеству отложившейся твёрдой фазы и, следовательно, пропорционально количеству прошедшего фильтрата, ROC=K′ V

 

Сопротивление фильтрующей перегородки можно заменить сопротивлением слоя осадка, оказывающего такое же сопротивление процессу фильтрования, какое оказывает перегородка, и выразить соответствующим количеством фильтрата С, т.е:

Rn= K′ C (3)

 

где K′ – коэффициент пропорциональности.

Тогда

R = K′ (V+C) (4)

 

Подставив полученное значение R в уравнение (1), разделив переменные и проинтегрировав, после небольших преобразований получим уравнение фильтрования:

V2+2VC=Kτ (5)

 

где: µ – вязкость фильтрата, Н·с/м2;

r0 – удельное сопротивление осадка;

х0 – концентрация суспензии, м3/ м3.

Зависимость (5) является основным кинетическим уравнением процесса фильтрования и показывает зависимость объёма фильтрата V продолжительности фильтрования τ.

Расчёт промышленных фильтров обычно сводится к определению требуемой поверхности фильтрования F. Для этого, зная константы фильтрования К и С и продолжительность фильтрования τ, назначаемую из условий: обеспечения требуемой остаточной влажности осадка ω, из уравнения (5) определяют удельную производительность по фильтрату V, м3/(м2·с). Затем рассчитывают секундную производительность по фильтрату Vc, м3/(м2·с).

Vc= V/τ

Зная производительность промышленной фильтрационной установки по фильтрату Vф, находят требуемую площадь фильтровальной перегородки F, м2:

 

F = Vф/ Vc (6)

 

Для определения констант фильтрования К и С опытным путём продифференцируем уравнение (5):

 

2VdV+2CdV=Kdτ

 

и, разделив обе части уравнения на KdV, получим:

 

 

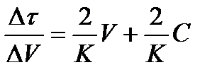
Заменяя отношение бесконечно малых величин на отношение конечных разностей, получим уравнение, пригодное для обработки опытных данных:

(7)

 

Это уравнение прямой линии типа y=kx+b, свободный член которого b=2C/K.

При построении уравнения (7) в координатах , отрезок, отсекаемый на оси координат, даёт численное значение свободного члена, а тангенс угла наклона прямой tgα = .

Для определения постоянных процесса фильтрования K и C проводят опыт по разделению исследуемой суспензии на фильтрате при постоянной разности давлений.

В течение опыта отмечают несколько значений объёма полученного фильтрата V1, V2, V3, …Vn и продолжительности фильтрования τ 1, τ 2, τ 3… τ n. Определяют приращения объёма фильтрата , ,..., и приращения продолжительности фильтрования , ,..., , после чего вычисляют отношение для всех случаев.

Зависимость величин, обратной скорости фильтрования, от объёма фильтрата V

Объёмная скорость прохода жидкости через фильтр, или скорость фильтрования, – величина переменная, непрерывно уменьшающаяся, которую для заданного момента времени от начала фильтрования определяют на основании уравнения (7), как:

(8)

 


Поделиться с друзьями:

mylektsii.su - Мои Лекции - 2015-2026 год. (1.056 сек.)Все материалы представленные на сайте исключительно с целью ознакомления читателями и не преследуют коммерческих целей или нарушение авторских прав Пожаловаться на материал