Студопедия

Главная страница Случайная страница

КАТЕГОРИИ:

АвтомобилиАстрономияБиологияГеографияДом и садДругие языкиДругоеИнформатикаИсторияКультураЛитератураЛогикаМатематикаМедицинаМеталлургияМеханикаОбразованиеОхрана трудаПедагогикаПолитикаПравоПсихологияРелигияРиторикаСоциологияСпортСтроительствоТехнологияТуризмФизикаФилософияФинансыХимияЧерчениеЭкологияЭкономикаЭлектроника






Основы теории






При современном уровне производства ряд процессов химической технологии проводят при взаимодействии газов (или жидкостей) со слоем сыпучего материала (смешение, адсорбция, сушка, гранулирование, каталитические процессы и т.п.).

Если через неподвижный слой сыпучего материала, лежащего на пористой перегородке, пропускать снизу вверх поток газа (жидкости), то состояние слоя будет различным в зависимости от фиктивной скорости среды, под которой понимается ее расход, отнесенный к поперечному сечению аппарата. Различают четыре группы режимов взвешенного слоя в порядке возрастания скорости среды (в дальнейшей воздуха):

I–псевдоожижение (в том числе кипящий, виброкипящий, проходящий кипящий слой);

II –фонтанирование (в т.ч, аэрофонтанный слой);

III – пневмотранспорт (вт.ч. восходящий, нисходящий, горизонтальный, " дюнами" и т.п.);

IV –закрученные потоки (в т.ч. одиночные, встречные, спутные, вихревой слой и т.п.).

Псевдоожиженный (кипящий) слой получил свое название за внешнее сходство с поведением кипящей жидкости (он " течет", имеет пузыри, " кипит", принимает форму сосуда, в котором находится).

Процесс перевода сыпучего материала в " текучее" состояние называется псевдоожижением, а смесь сыпучего материала и ожижающего агента в состоянии полного псевдоожижения называется псевдоожиженнымслоем. На рис. I показаны различные стадии псевдоожиженияслоя по мере возрастания фиктивной скорости воздуха.

Скорость воздуха, при которой все частицы слоя переходят во взвешенное состояние, называется скоростью псевдоожижения w пс, или первой критической скоростью.

При дальнейшем увеличении скорости воздуха наступает такой момент, когда частицы материала начинают уноситься из аппарата (явление пневмотранспорта). Такая скорость воздуха называется скоростью уноса wун, или второй критической скоростью. Интервал между двумя критическими скоростями, называется диапазоном существования псевдоожиженного слоя, а отношение любой скорости воздуха из этого интервала к скорости псевдоожижения называется числом псевдоожижения.

К основным характеристикам псевдоожиженного слоя относятся: перепад давления в слое ∆ Pсл, скорость псевдоожижения w пс, скорость уноса (витания) w ун, , число псевдоожижения К= w раб/ w пс и порозность слоя (как для неподвижного, так и для взвешенного слоя).

 

w ф1 > w ф2> w ф3

а – неподвижный слой; б – псевдоожиженный слой; в – пневмотранспорт.

Рисунок 1 – Стадии псевдоожиженного слоя

 

 

а – идеальная криваяпсевдоожижения б – реальная кривая псевдоожижения

I – Прямой ход; II – Обратный ход.

Рисунок 2 – Кривые псевдоожижения

Зависимость перепада давления в слое ∆ Рсл от фиктивной скорости воздуха w ф называется кривой псевдоожижения.

На рис. 2а показана идеальная кривая псевдоожижения. Восходящая ветвь ОА соответствует режиму фильтрации воздуха через слой, при котором всё большая и большая доля частиц вовлекается в движение. Горизонтальный участок АВ изображает псевдоожиженное состояние, при котором все частицы слоя интенсивно перемешиваются. Постоянство перепада давления в слое объясняется равенством сил динамического воздействия потока среды на слой с одной стороны и силы тяжести за вычетом подъемной (архимедовой) силы с другой стороны:

P=G-A (1)

 

Если средой является газ, то плотностью среды можно пренебречь, т.е. не учитывать подъемную силу:

P=G (2)

 

Разделив обе части равенства (2) на площадь поперечного сечения аппарата S, получим условие равновесия слоя в состоянии псевдоожижения:

(3)

 

Т.е. потери давления в псевдоожиженном слое не зависят от скорости воздуха.

Теоретически гидродинамическое сопротивление псевдоожиженного слоя выражается зависимостью:

(4)

 

где: , Н0 – соответственно порозность и высота неподвижного слоя; =0, 4.

 

Линия ВС (рис. 2а) характеризует уменьшение сопротивления слоя при массовом уносе частиц, так как уменьшается вес слоя G (см. формулу (3).

Критические скорости (первую и вторую) удобно определять по обобщенной зависимости Тодеса, справедливой для всех режимов движения воздуха в слое:

(5)

Подставляя в (5) значение порозности =0, 4 или =1, получим зависимости для расчета соответственно первой и второй критических скоростей.

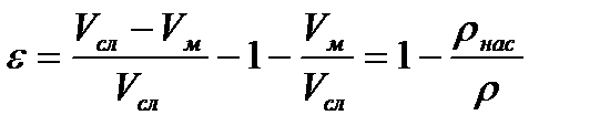
Порозностью (объемной долей пустот), называется отношение свободного объема между частицами к объему всего слоя:

(6)

где: Vсл, Vм – объем слоя и материала соответственно, м3;

, – насыпная и кажущаяся плотность материала, кг/м3

 

Из уравнения (5) можно найти теоретическое значение текущей порозностислоя:

(7)

На практике при неупорядоченной засыпке частиц неправильной формы величина порозности колеблется в пределах 0, 35 - 0, 45.Для неподвижного слоя сферических монодисперстных частиц принимают =0, 4, а при уносе частиц =1.

Промышленные сушилки устойчиво работают в интервалах порозности:

- сушилки кипящего слоя, = 0, 55 – 0, 75;

- аэрофонтанные сушилки, =0, 75 – 0, 9;

- трубы-сушилки, =0, 9 – 0, 95.

В отличие от описанной выше идеальной кривой псевдоожижения ОАВС, на рис. 2б представлена реальная кривая псевдоожижения для монодисперсного слоя, на которой четко виден пик перепада давления в слое . Характерно, что пик наблюдается только при возрастании скорости воздуха (прямой ход - кривая 1 на рис. 2б). При убывании скорости воздуха (обратный ход - кривая 2) пик исчезает. Если вновь увеличивать скорость воздуха, то пик также не наблюдается. Это объясняется тем, что плотность упаковки частиц в неподвижном слое до начала псевдоожижения несколько выше, чем в неподвижном слое после псевдоожижения. Поэтому при первоначальном увеличении скорости воздухадополнительные затраты энергии необходимы для преодоления сил инерции частиц, взаимного сцепления (когезии) частиц и трения их о стенки аппарата. При вторичном увеличении скорости воздуха эти силы незначительны. Величина пика давления зависит от свойств твердых частиц, геометрической формы аппарата и конструкции опорно – распределительной решетки. В аппаратах постоянного поперечного сечения =(0, 3 - 0, 5)∙ ∆ Рсл, в конических – значительно больше.

Достоинствами псевдоожиженного слоя являются увеличения поверхности контакта фаз и их относительных скоростей движения, уменьшение внутри диффузного сопротивления твердой фазы в масообменных процессах. К недостаткам следует отнести снижение движущей силы процессов, обусловленное выравниванием полей температур и концентраций в слое; поршнеобразование, каналообразование, истирание твердых частиц и трудность равномерного распределения воздуха по сечению аппарата, особенно в аппаратах промышленного масштаба.

 


Поделиться с друзьями:

mylektsii.su - Мои Лекции - 2015-2026 год. (1.114 сек.)Все материалы представленные на сайте исключительно с целью ознакомления читателями и не преследуют коммерческих целей или нарушение авторских прав Пожаловаться на материал