Студопедия

Главная страница Случайная страница

КАТЕГОРИИ:

АвтомобилиАстрономияБиологияГеографияДом и садДругие языкиДругоеИнформатикаИсторияКультураЛитератураЛогикаМатематикаМедицинаМеталлургияМеханикаОбразованиеОхрана трудаПедагогикаПолитикаПравоПсихологияРелигияРиторикаСоциологияСпортСтроительствоТехнологияТуризмФизикаФилософияФинансыХимияЧерчениеЭкологияЭкономикаЭлектроника






Обработка результатов измерений. По данным таблицы 1 строится кривая псевдоожижения – зависимость перепада давления в слое от фиктивной скорости воздуха:






По данным таблицы 1 строится кривая псевдоожижения – зависимость перепада давления в слое от фиктивной скорости воздуха:

w ф= v в/(0, 785∙ D2).

По кривой псевдоожижения определяются первая критическая скорость и соответствующий ей перепад давления в слое, по которому рассчитывается масса слоя Мсл по формуле (3).

Из равенства (4) находится текущая порозность слоя , строится график зависимости и наносится на кривую псевдоожижения .

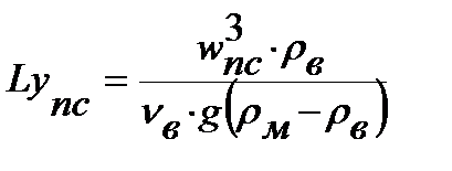
Используя график зависимости (рис.4), определяют средний диаметр частиц слоя d и вторую критическую скорость – скорость уноса w ун. Для этого по скорости w пс рассчитывается критерий Лященко:

Затем при =0, 4 находится соответствующее значение критерия Архимеда:

,

из которого определяется искомый диаметр. По данному значению Ar при =1 определяется другое критическое значение Ly ун, из которого находится искомая скорость w ун.

Расчетные значения заносятся в таблицу 2.

 

Таблица 2 – Расчетные значения

wпс Lyпс Ar Lyун d wун
           
           
           
           
           

Необходимые данные для расчета: D=0, 147 м; ρ в=1, 2 кг/м3; ρ м=1280 кг/м3; ν в=15, 06∙ 10-6м2/с.

 

 


Поделиться с друзьями:

mylektsii.su - Мои Лекции - 2015-2026 год. (2.185 сек.)Все материалы представленные на сайте исключительно с целью ознакомления читателями и не преследуют коммерческих целей или нарушение авторских прав Пожаловаться на материал