Студопедия

Главная страница Случайная страница

КАТЕГОРИИ:

АвтомобилиАстрономияБиологияГеографияДом и садДругие языкиДругоеИнформатикаИсторияКультураЛитератураЛогикаМатематикаМедицинаМеталлургияМеханикаОбразованиеОхрана трудаПедагогикаПолитикаПравоПсихологияРелигияРиторикаСоциологияСпортСтроительствоТехнологияТуризмФизикаФилософияФинансыХимияЧерчениеЭкологияЭкономикаЭлектроника






Коэффициентом приведения ренты






¾ является текущей стоимостью единичного аннуитета

¾ показывает текущую стоимость денежного потока интенсивностью в одну денежную единицу в течение " n" периодов и ставке дисконтирования " r"

¾ при бессрочном аннуитете (), используется для оценки акции, стоимости ренты по бессрочным государственным облигациям и стоимости предприятия

¾ верно все вышеперечисленное

¾ нет верного ответа

 

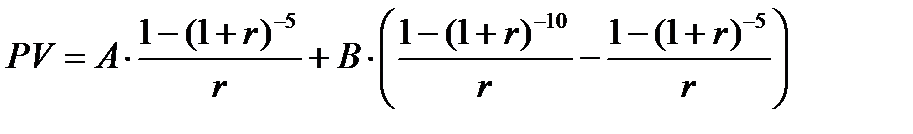
Арендный договор, заключенный на 10 лет, предусматривает, что в первые 5 лет арендные платежи будут вноситься в размере " А", во вторые 5 лет, из-за повышенного риска, в увеличенном размере " В". Доходность аренды предполагается в размере " r" % годовых. По какой формуле рассчитывается текущая стоимость аренды?

¾

¾

¾

¾

¾ нет достоверной формулы

 


Поделиться с друзьями:

mylektsii.su - Мои Лекции - 2015-2026 год. (1.169 сек.)Все материалы представленные на сайте исключительно с целью ознакомления читателями и не преследуют коммерческих целей или нарушение авторских прав Пожаловаться на материал