Студопедия

Главная страница Случайная страница

КАТЕГОРИИ:

АвтомобилиАстрономияБиологияГеографияДом и садДругие языкиДругоеИнформатикаИсторияКультураЛитератураЛогикаМатематикаМедицинаМеталлургияМеханикаОбразованиеОхрана трудаПедагогикаПолитикаПравоПсихологияРелигияРиторикаСоциологияСпортСтроительствоТехнологияТуризмФизикаФилософияФинансыХимияЧерчениеЭкологияЭкономикаЭлектроника






Перечень






органов государственного надзора Республики Беларусь, дающих заключения при вводе в действие объектов:

Госкомэкологии

Государственный санитарный надзор

Государственный строительный надзор

Госпроматомнадзор (при приемке объектов и работ, ему подконтрольных)

Государственный энергетический надзор (при приемке объектов и работ, ему подконтрольных)

Государственная автомобильная инспекция (при приемке улиц, дорог и дорожных сооружений)

Государственная инспекция труда Республики Беларусь

Штабы гражданской обороны (при приемке объектов со встроенными помещениями или отдельно стоящих сооружений гражданской обороны)

Другие органы, осуществляющие государственный надзор в строительстве в соответствии с законодательством Республики Беларусь

 

Общеплощадочный строительный генеральный план (СГП) в составе ПОС. Назначение, исходные данные, особенности разработки

В составе ПОС общеплощадочный СГП разрабатывается, как правило, на комплекс объектов, проектной организацией при разработке проектно-сметной документации.

Исходными данными для разработки общеплощадочного СГП являются:

- проектно-сметная документация;

- результаты инженерных изысканий;

- согласования с соответствующими организациями по применению материалов, конструкций, изделий, обеспечению строительства электроэнергией, водой, газом и другими ресурсами;

- сведения об условиях поставки;

- другая информация.

Структура и содержание общеплощадочного СГП.

Общеплощадочный СГП состоит из:

- графической части;

- пояснительной записки.

Графическая часть представляет собой в соответствующем масштабе план строительной площадки в установленных границах с размещением строящихся постоянных зданий, временных сооружений, действующих и вновь прокладываемых инженерных коммуникаций и других объектов. Учитывая, что общеплощадочный СГП разрабатывается на комплекс объектов, то есть на всю площадку, то на нем в первую очередь показывается размещение тех объектов временного строительного хозяйства, которые предусматривается использовать при строительстве каждого объекта комплекса (временные дороги, склады, производственные установки, бытовые помещения и другие объекты).

Детальная проработка организации строительной площадки каждого объекта комплекса в общеплощадочном СГП не имеет смысла, так как в каждом конкретном случае подрядные торги на строительство объекта выигрывает, как правило, только одна организация, о возможностях которой на этапе разработки ПСД и ПОС у проектировщиков информации скорее всего нет.

Согласно СНиП 3 01.01.85* общеплощадочный и объектный СГП может разрабатываться на:

- подготовительный период;

- возведение надземной части;

-выполнение отдельных работ, имеющих экспериментальный характер или выполняемых впервые.

В реальных условиях объекты комплекса в одно и то же время могут находится в различной технической готовности, что должно соответствовать решениям, заложенным в разработанный календарный план строительства, а это в свою очередь будет влиять соответственно на развитие ситуации на строительной площадке. В одно и тоже время на разных объектах комплекса могут осуществляться разные работы, которые в свою очередь потребуют соответствующей организации строительной площадки. В связи с этим зачастую в разработанных документах ПОС и ППР на конкретные сооружения сплошь и рядом находим противоречия, или нестыковки решений календарного плана и разработанного строительного генерального плана.

Пояснительная записка должна содержать:

- характеристику условий строительства;

- обоснование методов производства и возможность совмещения строительных, монтажных и специальных строительных работ, в том числе выполняемых в зимних условиях, с указанием сроков выполнения работ сезонного характера, а также технические решения по возведению сложных зданий и сооружений;

- мероприятия по охране труда;

- условия сохранения окружающей природной среды;

- обоснование потребности в основных строительных машинах, механизмах, транспортных средствах, электрической энергии, паре. воде. кислороде, ацетилене, сжатом воздухе, а также временных зданиях и сооружениях с решением по набору мобильных (инвентарных) зданий и сооружений и указанием принятых типовых проектов;

- обоснование размеров и оснащения площадок для складирования материалов, конструкций и оборудования, а также решения по перемещению тяжеловесного негабаритного оборудования и укрупненных строительных конструкций;

- перечень специальных вспомогательных сооружений, приспособлений, устройств и установок, а также сложных временных сооружений и сетей, рабочие чертежи которых должны разрабатываться проектными организациями в составе рабочих чертежей для строительства объекта;

- обоснование потребности в строительных кадрах, жилье и социально-бытовом обслуживании строителей.

Общеплощадочный строительный генеральный план разработанный проектной организацией в составе ПОС передается заинтересованным подрядным организациям вместе с проектно-сметной документацией в соответствии с требованиями соответствующих нормативных документов.


24. Строительный генеральный план (СГП) в составе проекта производства работ: назначение, исходные данные, оценка динамики развития ситуации на строительной площадке

Объектный строительный генеральный разрабатывается в соответствии со СНиП 3 01.01.-85* подрядчиком в составе ППР.

На объектном строительном генеральном плане прорабатывается детальное размещение элементов (объектов) строительного хозяйства только на территории, непосредственно примыкающей к возводимому объекту, границы которой должны быть согласованы заказчиком с соответствующими органами, в установленном порядке. Если подрядчик при проектировании строительного генерального плана может обойтись площадью территории меньшей, чем согласовано заказчиком в ПОС, без нарушения техники безопасности и охраны труда, снижения уровня социально-бытовых условий работающих, снижения экологической безопасности, то он должен (может) претендовать на часть прибыли заказчика от снижения суммы арендной платы за землю, оговорив ее величину в договоре (контракте) подряда.

Исходными данными для проектирования объектного СГП являются:

- решения общеплощадочного строительного генерального плана в составе проекта организации строительства согласованные со всеми хозяйственно-коммунальными службами;

- календарный план строительства объекта;

- технологические карты;

- график потребности (движения) трудовых ресурсов явочной (списочной) и расчетной численности в сутки и посменно;

- перечень и количество строительных машин и механизмов;

- ведомость потребности в строительных конструкциях, изделиях и материалах;

- перечень, количеств и размеры временных зданий, сооружений и складов;

- нормативные данные по проектированию стройгенпланов.

Состав и содержание объектного СГП

Графическая часть строительного генерального плана в составе проекта производства работ выполняется в масштабе 1: 200 или 1: 500 и отражает принятие решения о размещении и привязке объектов строительного хозяйства используемых как в течение всего периода строительства, так и при выполнении вида работ.

На строительном генеральном плане проектируется граница территории строительной площадки и указывается:

- тип применяемого ограждения строительной площадки;

- временные внутрипостроечные дороги и пути движения транспортных средств;

- места установки неподвижных грузоподъемных устройств, пути движения строительных машин (монтажных механизмов), подкрановые пути, зоны работы кранов, опасные зоны;

- временные открытые и закрытые склады, навесы;

- временные административные, производственные, санитарно-бытовые сооружения;

- площадки укрупнительной сборки конструкций;

- места отдыха, размещения питьевых установок, размещения противопожарного оборудования;

- безопасные пути перехода рабочих от бытовых помещений к рабочим местам;

- размещение временных инженерных коммуникаций (водопровода, тепловых сетей, электросетей, фекальной канализации);

- размещение источников и средств энергосбережения с указанием заземляющих контуров;

- места складирования растительного слоя; мероприятия по защите сохраняемых деревьев.

При разработке проекта производства работ должно быть предусмотрено максимальное использование постоянных дорог и инженерных коммуникаций. С учетом этого должно быть показано размещение и характеристики используемых постоянных коммуникаций.

Расчетно-пояснительная записка должна содержать:

- уточненные расчеты и обоснования потребности во временных объектах строительного хозяйства (гардеробов, туалетов, душевых помещений, помещений для приема пищи и отдыха, помещений для проведения занятий по технике безопасности, для сушки спецодежды и хранения инструментов);

- конкретные технические решения по выбору и размещению строительных машин, механизированных установок, складов всех видов, временных инженерных коммуникаций, автотранспорта, и других объектов).

При выборе тех или иных временных объектов строительного хозяйства должны учитываться конкретные возможности строительной организации.

Объектный СГП В зависимости от сложности объемно-планировочных и конструктивных решений объекта может разрабатываться на отдельные этапы строительства объекта или охватывать весь период строительства. Развитие ситуации на строительной площадке самым тесным образом связано с календарным планом строительства рассматриваемого объекта.

Решение о проектировании строительного генерального плана на отдельные этапы или периоды строительства объекта следует принимать с учетом:

- принципиальных решений (рекомендаций) принятых в общеплощадочном СГП в составе ПОС;

- дополнительных условий заказчика, если таковые имеют место;

- особенностей объемно-планировочных и конструктивных решений предопределяющих возможность расчленения объекта на захватки, применения поточного ведения работ, предусмотренного разработанным календарным планом.

Оценка взаимосвязи решений календарного плана с организацией строительной площадки при строительстве объектов различной сложности.

Основным документом, регламентирующим последовательность выполнения работ, и главным инструментом управления всем ходом строительства объекта является календарный план строительства, которым в зависимости от объемно-планировочных и конструктивных особенностей проекта и принимается решение о ведении работ не расчленяя здание на захватки, или по захваткам, блокам, пролетам и другим вычленяемым участкам работы.

Соответственно и ситуация на строительной площадке должна будет изменяться (развиваться) и соответствовать тем решениям, которые разработчик предусмотрел и заложил в разработанный на строительство рассматриваемого объекта календарный план. В процессе строительства этого объекта местоположение отдельных временных объектов строительного хозяйства на территории строительной площадки может измениться.

Например, размещение открытых складов, временных дорог, инженерных коммуникаций в процессе строительства объекта может изменяться в зависимости от принятой календарным планом последовательности ведения работ по захваткам, учитывая конфигурацию сооружения, число захваток, вид и сложность выполняемых на разных захватках работ и другие факторы.

Таким образом, прежде чем проектировать объектный СГП на какой-либо этап строительства объекта, необходимо проанализировать календарный план, оценить динамику развития ситуации, которая может возникнуть на строительной площадке, и только затем принимать соответствующие решения по организации строительной площадки, заложив их в проектируемый строительный генеральный план.

 

 

Организация складского хозяйства и временных сооружений: назначение, виды запасов, складов и временных сооружений, расчет площади складов и временных бытовых сооружений, их размещение

Организация складского хозяйства

К складскому хозяйству относятся:

- территория, предназначенная для размещения запасов материальных ресурсов;

- сооружения для хранения товарно-материальных ценностей (складские здания, резервуары и т.п.);

- комплекс специальных устройств и оборудования для хранения, перемещения, укладки материалов (стеллажи, подъемно-транспортное оборудование и др.) и подготовки их к производственному потреблению;

- весовое и измерительное оборудование;

- противопожарные средства и оборудование.

По назначению склады делятся на центральные, участковые, приобъектные, склады производственных предприятий и перевалочные.

В зависимости от характера хранимых строительных материалов, деталей и конструкций сооружаются склады закрытого типа (отапливаемые и не отапливаемые), полузакрытого типа (навесы) и открытого хранения, а также смешанные.

В зависимости от количества и видов хранимых материалов склады бывают общего назначения (универсальные) и специализированные (резервуары, бункеры, силосы), для хранения взрывчатых и токсичных веществ.

Складские здания строят постоянными (центральные, перевалочные, на производственных предприятиях) либо временными (участковые, приобъектные).

При разработке проектов производства работ выполняется расчет и проектирование временных приобъектных складов. Приобъектные склады организуют для временного хранения материалов, полуфабрикатов, изделий, конструкций и оборудования. Объем складского хозяйства зависит от вида, масштаба и методов строительства, в том числе и от способов снабжения.

Складские помещения в зависимости от требований, предъявляемых к хранению строительных материалов и оборудования, могут открытыми, частично закрытыми и закрытыми (отапливаемыми и не отапливаемыми).

Проектирование складов следует вести в следующем порядке:

- устанавливается перечень материалов, конструкций, изделий, подлежащих

хранению;

- определение необходимых запасов хранимых ресурсов;

- выбор методов хранения (открытый, закрытый);

- расчет площади складирования по видам хранения;

- выбор типа склада;

- размещение и привязка складов на площадке;

- размещение конструкций деталей на открытых складах.

Количество материальных ресурсов, хранимых на строительной площадке должно обеспечивать непрерывное ведение работ в течение определенного (нормативного) времени. С учетом этого на строительной площадке могут быть запасы следующих видов:

- подготовительный;

- страховой;

- сезонный;

- производственный.

Расчет площади, основные требования к размещению временных складов.

Расчет площади склада для конкретного материала осуществляется по формуле:

, (7)

где q – количество материала, складируемого на 1 м2 полезной площади склада, принимается по норме и заносится в графу 9;

– коэффициент использования площади склада – принимается по норме и заносится в графу 10;

– величина производственного запаса материала, определяемого по формуле:

, (8)

где – нормативный запас в днях материалов на складе;

– суточный расход материала на площадке, определяется по следующей формуле;

(9)

Где:

Q – общее количество материала на рассматриваемый период;

T – длительность расчетного периода;

– коэффициент неравномерности поступления материалов;

– коэффициент неравномерности потребления материалов.

В целом, такой подход, позволяет определить исключительно минимально допустимую величину производственного запаса материала на складе и, соответственно минимально необходимую для хранения этого количества материала площадь склада.

Полная площадь склада определяется с учетом необходимости устройства проходов, проездов, других ограничений. Габариты склада назначаются исходя из размеров хранимых конструкций, в соответствии с условиями складирования.

Размещение и привязка складов

Размещение и привязка приобъектных складов должна производиться с учетом следующих положений:

- складирование материалов и конструкций осуществляют в соответствии с требованиями стандартов и технических условий на материалы и конструкции;

- организацию открытых приобъектных складов производят около зданий и сооружений с разбивкой на зоны действия монтажных кранов, указанием мест хранения сборных элементов, приемки раствора и бетона, размещения для временного хранения подмостей и различных приспособлений для производства работ;

- при складировании сборных элементов необходимо учитывать, что одноименные конструкции, детали и материалы следует складировать по захваткам;

- материалы и конструкции следует размещать на выровненных площадках, принимая меры против самопроизвольного смещения, просадки, осыпания и раскатывания складируемых материалов;

- расстояние от края дороги до складов должно быть не менее чем 0, 5 м;

- в открытых складах необходимо предусматривать продольные и поперечные проходы шириной не менее 0, 7 м и поперечные проходы устраивать через каждые 25-30 м;

- между штабелями должны быть предусмотрены проезды, ширина которых зависит от габаритов транспортных средств и погрузочно-разгрузочных механизмов, обслуживающих приобъектный склад. Между ними предусматриваются проходы шириной не менее 1 м. Прислонять материалы и изделия к заборам и элементам временных и капитальных сооружений не допускается;

- при размещении материалов у заборов и временных сооружений расстояние между ними и штабелями должно быть не менее 1 м;

- между штабелями и ближайшими к ним рельсам следует составлять свободное пространство, равное 2 м - у железнодорожных путей нормальной колеи и 1 м - у железнодорожных путей узкой колеи.

В зимнее время площадки должны быть очищены от снега и льда. Складские площадки, располагаемые на косогорах, должны быть защищены от поверхностных вод.

При размещении складов следует руководствоваться решениями, принятыми в технологических картах и схемах производства работ.

Размещение приобъектных складов должно производиться с учетом расположения подъездных дорог и подъездов от основных транспортных магистралей к местам приемки и выгрузки материалов. Приобъектные склады сборных элементов, укрупненных конструкций, полуфабрикатов и др. должны находиться в зоне действия крана.

Ширина механизированного приобъектного склада устанавливается в зависимости от параметров погрузочно-разгрузочных машин и обычно не превышает 10 м.

Ширина склада укрупнительной сборки конструкций, обслуживаемого башенным краном, не должна превышать полезного вылета стрелы крана на одну и другую сторону (при размещении склада с двух сторон относительно башенного крана).

Открытые склады с огнеопасными и сильно пылящимися материалами надлежит размещать с подветренной стороны по отношению к другим зданиям и сооружениям (в зависимости от направления господствующих ветров) и не ближе чем в 20 м от них.

Размещение изделий и конструкций (в случае не возможности ведения монтажа с транспортных средств) должно соответствовать технологической последовательности монтажа.

Размещение механизированных установок

Размещение механизированных установок должно увязываться с размещением складов и кранов. При стесненности территории, недостаточности вылета стрелы башенного крана, а также в случае использования при возведении объекта автомобильных пневмоколесных или гусеничных кранов, механизированные установки можно располагать на свободной территории площадки, при этом бетон и раствор целесообразно доставлять к месту укладки в съемных бункерах при помощи автопогрузчиков.

Способы хранения основных изделий и конструкций на складе

Фермы – в рабочем положении или с небольшим (10...120) наклоном в специальных приспособлениях в один ряд, причем деревянные прокладки устанавливают в опорных узлах нижнего пояса, а верхний пояс закрепляют через каждые 12 м.

Сваи – ярусами высотой не более 2 м, рассортированными по маркам и направленными острием в одну сторону.

Балки и ригели прямоугольного сечения – в штабелях высотой до 2 м, трапециевидного сечения, в специальных приспособлениях.

Стеновые блоки высотой более 2 м – в один ярус; блоки низкие – в штабелях высотой не более 2, 5 м; расстояние между блоками в горизонтальном ряду должно быть не более 30...50 мм.

Фундаментные блоки – в штабелях высотой не более 2, 25 м.

Колонны – в штабелях высотой до 2 м, прямоугольного сечения – в 1-4 яруса, двухветвевые крайние – в 1-3 яруса, средние тяжелые двухветвевые – в 1-2 яруса. Прокладки и подкладки размещают до торца колонны на расстоянии 1, 2 м при длине колонны 6, 6 м и на расстоянии 0, 5 м при длине 3, 3 м.

Подкрановые балки, прогоны таврового сечения и предварительно напряженные панели покрытий пролетом более 9 м – в специальных приспособлениях, позволяющих удерживать их в положении «на ребро».

Панели железобетонные для перекрытий в вертикальном положении – в кассетах или штабелях высотой до 2, 5 м.

Панели керамзитобетонные и другие легкобетонные для наружных стен, а также крупноразмерные панели перегородок – в кассетах в вертикальном положении.

Фундаментные блоки и плиты – в штабелях высотой не более 2 м.

Плиты перекрытий и блоки мусоропроводов – в штабелях высотой не более 2, 5 м.

Лестничные площадки – в штабелях высотой не более 4 рядов с установкой подкладок на расстоянии 0, 3 м от торцов.

Лестничные марши – в штабелях высотой не более 6 рядов, ступенями вверх, подкладки и прокладки располагают вдоль маршей на расстоянии 0, 15 м от их краев.

Кирпич и другие стеновые материалы принимаются и хранятся на приобъектных складах, как правило, в пакетах и на поддонах. Кирпич на поддонах укладывают не более чем в два яруса, в контейнерах – в один ярус, без контейнеров – высотой не более чем 1, 7 м.

Проектирование и размещение временных зданий

Временными зданиями называют подсобно-вспомогательные и обслу­живающие объекты, необходимые для обеспечения нормальных условий производства строительно-монтажных работ и хороших бытовых условий для рабочих и инженерно-технических работников.

Временные здания устраиваются только на период строительства объекта. Они классифицируются:

по назначению – административные, санитарно-бытовые, жилые, общественные, производственно-складские;

по оборачиваемости – инвентарные и неинвентарные;

по материалу – деревянные, деревометаллические, металлические с легким утеплителем, из пленочных материалов;

по источникам финансирования – на титульные и не титульные.

Инвентарные временные здания можно разделить на следующие типы:

― сборно-разборные;

― контейнерные (переставные);

― передвижные.

Применение того или иного типа зависит от объемов и сроков строительства.

Сборно-разборные можно использовать для любых целей.

Одиночные контейнеры используются под санитарно-бытовые, административные, жилые и складские помещения.

Здания передвижного типа (автофургоны) имеют то же назначение, что и контейнерного типа, но их следует применять на стройках с небольшой продолжительностью работ или в качестве промежуточного решения временных зданий в начальный период строительства.

Определение площади временных сооружений.

Основным источником необходимой информации для решения этой задачи являются графики потребности и движения рабочей силы, отражающие динамику численности и позволяющие определить период и величину максимального насыщения трудовыми ресурсами.

Следует иметь в виду, что помимо рабочих на строительной площадке работают инженерно-технические работники, младший обслуживающий персонал, охрана, служащие. Таким образом, на каждый день общая численность работающих на строительной площадке определяется суммой отдельных категорий, занятых на строительстве в этот день:

, (10)

где: – численность рабочих;

– численность служащих;

– численность младшего обслуживающего персонала.

Временные сооружения на строительной площадке требуют значительных затрат и используются, как правило, в течение длительного времени, поэтому объемы этого строительства должны быть минимальными, но достаточными для обеспечения нормальных условий как непосредственно исполнителям, так и для выполнения строительно-монтажных работ. Каждое из соответствующих временных сооружений должно выполнять свои функции, обслуживая определенное количество пользующихся этим помещением.

Выбор номенклатуры временных зданий для строительной площадки

Выбор номенклатуры временных зданий, которые предполагается разместить на строительной площадке, в общем случае, принимается исходя из объемов и продолжительности выполняемых работ на возводимом объекте, количества привлекаемых трудовых ресурсов, степени развития района строительства, установленного порядка санитарно-гигиенического и бытового обслуживания работающих, финансовых возможностей подрядчика и т.д.

Расчет площади временных зданий

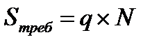
Площадь временных зданий различного назначения Sтреб определяется по формуле:

, (11)

где Sтреб – площадь временного здания;

q– норма площади соответствующего помещения, приходящаяся на одного человека в м2;

N – число работающих (или их отдельных категорий), пользующихся этим помещением.

Временные здания могут быть общего назначения (кабинет по ТБ, проходная, столовая и т.д.) и бригадного (гардеробные, умывальные, душевые и т.п.). С учетом этого, расчет мощности временных зданий может осуществляться:

а) для временных зданий общего пользования – по максимальному количеству работающих в смену;

б) для зданий санитарно-бытового назначения – или на максимальное число рабочих в смену, сутки, или отдельно на каждую бригаду с использованием нормативов площади для таких помещений.

Выбор типов временных зданий и обоснование принятого решения производится из имеющегося в строительной организации набора типов мобильных (инвентарных) зданий и имеющегося в зоне ее дислокации парка этих зданий по критериям планируемой продолжительности их пребывания на стройплощадке, минимума затрат, а также с учетом природно-климатических особенностей района и зоны строительства.

Некоторые основные требования к размещение и привязка временных зданий на стройплощадке

1.Временные административные и санитарно-бытовые помещения следует располагать около входов на строительную площадку, чтобы рабочие и ИТР могли попасть в соответствующие помещения, а после работы – на улицу, минуя рабочую зону монтажных механизмов.

2. Душевые, умывальные, гардероб должны находиться от рабочих мест не далее 500 м.

3. Пункты питания должны быть по возможности рядом с бытовыми помеще­ниями.

Расстояние от рабочих мест до пунктов питания:

- не более 300 м – при 30 мин. обеденном перерыве;

- не более 600 м – при 60 мин. обеденном перерыве.

4. Расстояние от санузлов до наиболее удаленных рабочих мест, находящихся внутри здания, не должно превышать 100 м, а для рабочих мест вне здания – 200 м.

5. Временные здания допускается располагать группами числом не более 10. Расстояние между зданиями в противопожарных целях и для удобства прохода должно быть не менее 1 метра. Расстояние между группами сооружений – не менее 18 метров.

6. Временные здания должны располагаться на удалении от ограждения – не ближе 2-х метров.

7. Проходы к временным сооружениям должны устраиваться шириной не менее 60 см из щебня, гравия или плиток.

8. Временные здания должны располагаться вне зоны работы монтажных механизмов, как можно ближе к инженерным коммуникациям.

Экономическая эффективность применения различных видов временных сооружений.

Научно доказано, что наибольший эффект будет достигаться, если:

- при продолжительности строительства объекта до 6 месяцев будут использоваться передвижные временные здания;

- при продолжительности строительства до 18 месяцев будут использоваться – контейнерные временные здания;

- при продолжительности строительства до 36 месяцев – будут использоваться сборно-разборные временные здания.

В случае продолжительности строительства сооружений более 36 месяцев (промышленные комплексы) целесообразно в первую очередь планировать строительство административно-бытовых сооружений и дальнейшее использование АБК в качестве временных сооружений (по согласованию с заказчиком).

 



Поделиться с друзьями:

mylektsii.su - Мои Лекции - 2015-2026 год. (0.627 сек.)Все материалы представленные на сайте исключительно с целью ознакомления читателями и не преследуют коммерческих целей или нарушение авторских прав Пожаловаться на материал