Студопедия

Главная страница Случайная страница

КАТЕГОРИИ:

АвтомобилиАстрономияБиологияГеографияДом и садДругие языкиДругоеИнформатикаИсторияКультураЛитератураЛогикаМатематикаМедицинаМеталлургияМеханикаОбразованиеОхрана трудаПедагогикаПолитикаПравоПсихологияРелигияРиторикаСоциологияСпортСтроительствоТехнологияТуризмФизикаФилософияФинансыХимияЧерчениеЭкологияЭкономикаЭлектроника






Организация временного водоснабжения и электроснабжения строительной площадки: потребители, принципы расчета источников, схемы прокладки сетей и основные требования к прокладке.






Организация водоснабжения

В процессе строительства любого объекта вода на строительной площадке необходима для удовлетворения различных нужд:

- производственных;

- хозяйственно-питьевых;

- автотранспортных;

- на пожаротушение.

При строительстве объектов в городских условиях в качестве основного источника временного водоснабжения строительной площадки используется, как правило, постоянная городская водопроводная сеть, к которой должна подключаться проектируемая на строительной площадке временная водопроводная сеть, обеспечивающая водой всех потребителей. В этом случае задачами проектирования являются:

- расчет диаметра временного водопровода в месте подключения к постоянной городской водопроводной сети;

- определение диаметра временного водопровода и длины участков сети к отдельным потребителям;

- расчет объемов работ и потребности в необходимых материально-технических ресурсах;

- расчет трудоемкости и стоимости работ;

- проектирование самой сети и привязка к площадке.

При строительстве в сельской местности непосредственно на строительной площадке иногда отсутствует возможность использования природных источников водоснабжения. В этом случае задача организации временного водоснабжения сводится к расчету общей потребности в воде, расчету объема резервуара для хранения необходимого количества воды и организации подвоза вода к строительной площадке.

При строительстве в городских условиях, как правило, на строительной площадке проектируется и устраивается единая (одна) временная водопроводная сеть, которая обеспечивает водой в процессе строительства объекта всех потребителей. Однако, такой подход приводит к тому, например, что для помывки колес, кузова автомобилей используется вода, прошедшая механическую и биологическую очистку, хлорирование, то есть чистейшая вода, что явно не экономично.

Поэтому с целью снижения затрат временное водоснабжение строительной площадки в зависимости от конкретных местных условий может обеспечиваться применением водопроводных систем следующих назначений:

- производственной для обеспечения водой процессов строительного производства;

- хозяйственно-питьевой для удовлетворения хозяйственных и питьевых нужд;

- противопожарной для тушения возгораний;

- объединенной обеспечивающей водой одновременно все группы потребителей.

При необходимости водопровод хозяйственной и питьевой воды выделяется в самостоятельную систему с подключением ее к городской сети.

Для обеспечения водой производственных нужд, автотранспорта, на пожаротушение можно организовывать сети по принципу замкнутых систем.

С целью снижения себестоимости строительства следует стремиться использовать в качестве временных водопроводных сетей проектируемые объектные постоянные сети водопровода, прокладываемые в подготовительный период. В этом случае сеть временного водоснабжения проектируют в виде тупиковых ответвлений от постоянных сетей к местам водопотребления в процессе строительства объекта, что позволяет прокладывать временные сети по кратчайшим расстояниям.

Временная водопроводная сеть должна быть рассчитана на случай ее наиболее напряженной работы, т.е. должна обеспечивать водой потребителей в часы максимального расхода воды и во время тушения пожара в л/сек.

Порядок решения задачи «Организация временного водоснабжения строительной площадки»

― Подготовка исходных данных.

― Расчет потребности в воде по отдельным потребителям.

― Построение графика водопотребления по потребителям, суммарной диаграммы водопотребления, расчет диаметра временного трубопровода.

― Привязка временного водопровода на строительном генеральном плане.

Подготовка исходных данных включает в себя определение перечня потребителей воды, объемов работ, требующих воды, сроков водопотребления (принимаются на основании разработанного календарного плана строительства объекта).

Расчет потребности в воде по отдельным потребителям выполняется в следующей последовательности:

― устанавливаются потребители и объемы выполняемых работ;

― устанавливаются коэффициенты и нормативы расхода воды для разных работ, расход на питьевые нужды и душ;

Потребность в воде на различные нужды по отдельным потребителям рассчитывается следующим образом.

На производственные или транспортные нужды расход воды в литрах за секунду определяется по каждой отдельно взятой работе или механизму (каждому потребителю) по следующей формуле:

, (12)

где:

– потребность в воде по i -му потребителю в л/сек.;

удельный расход воды на ед. измерения i -ой работы в л;

количество единиц транспорта, установок или объемов i -ой работы в смену;

коэффициент часовой неравномерности потребления воды;

n число часов работы в смену (принимается 6-8 часов);

3600 количество секунд в часе.

На хозяйственно-питьевые нужды расход воды в литрах за секундуопределяется по формуле:

, (13)

Где:

норма водопотребления в л;

максимальное число работающих в смену (принимается по исходным данным или по графику движения рабочих);

n продолжительность смены (6-8 часов );

3600 количество секунд в часе.

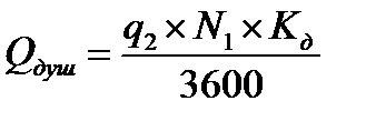
Расход воды на душ в литрах за секунду определяется по формуле:

, (14)

где: норма расхода воды на 1 рабочего, принимающего душ;

коэффициент, учитывающий отношение пользующихся душем к наибольшему количеству рабочих в смену (принимают 0, 3-0, 4);

3600 – количество секунд в одном часе.

На противопожарные нужды расчетный расход воды в л/сек. определяется по нормативным таблицам в зависимости от площади строительной площадки. При размерах строительной площадки до 10 га расход воды на пожаротушение принимают равным 10 л/сек.

Построение графика водопотребления по потребителям, суммарной диаграммы водопотребления, расчет диаметра временного трубопровода

Для определения периода наиболее напряженной работы временного водопровода строится график водопотребления. По каждому потребителю на основании КП устанавливаются сроки водопотребления и строится линейный график потребления воды.

В каждый момент времени общая потребность будет складываться из суммы потребностей в воде по каждому потребителю:

(15)

Динамика общей потребности в воде характеризуется диаграммой водопотребления. Самый верхний, «пиковый» объем в указанных временных границах и есть расчетный суммарный максимальный расход воды в литрах за секунду.

На практике необходимо учитывать следующее требование – в случае возникновения пожара и его последующего тушения расход воды на остальные нужды уменьшается в два раза.

Таким образом, максимальное значение водопотребления должно выбираться из 2-х значений:

, (16)

(17)

Наибольшая величина и является расчетным параметром для определения диаметра временного трубопровода, который определяется по формуле:

, (18)

Где:

Д – диаметр трубы в мм;

– максимальный расход воды, литров/сек.;

V – скорость ее движения по трубам, м/сек.;

1000 – коэффициент перевода в мм;

p – постоянная «пи», равна 3, 14.

Привязка сети временного водопровода на строительном генеральном плане

1. Сети временного водопровода проектируются по кратчайшим расстояниям в местах, где не предусматривается прокладка постоянных сетей.

2. Трубы, рассчитанные только на работу в летнее время года, с целью предохранения их от промерзания и повреждений транспортом заглубляются на 0, 3-0, 5м. При укладке временных водопроводных сетей, предназначенных для эксплуатации в зимнее время, должны быть предусмотрены мероприятия, предохраняющие их от промерзания (укладка в утепленных коробах, ниже глубины промерзания).

3. Пожарные гидранты устраивают на расстоянии не более 100 м друг от друга. Располагать их необходимо не ближе 5 м к зданиям и не дальше 50 м от них. От края дороги пожарные гидранты должны располагаться не далее 3-х метров. Радиус обслуживания пожарного гидранта – 150 м.

4. Диаметр труб для пожаротушения должен быть не менее 100 мм.

5. Привязка трассы водопровода на стройгенплане должна обеспечивать подачу воды во все временные здания и сооружения, к местам потребления при производстве строительных работ, расстановку пожарных гидрантов с таким условием, чтобы подача воды для тушения пожара в любой точке строительства осуществлялась не менее чем из 2-х гидрантов.

Разводящие сети временного водопровода могут быть тупиковыми, кольцевыми и смешанными. Наиболее рациональными являются смешанные схемы, когда основные потребители обслуживаются по замкнутой (кольцевой) схеме, а временные – по тупиковым ответвлениям.

Организация временного электроснабжения строительной площадки

На строительной площадке электрическая энергия необходима для различных нужд. Всех потребителей электрической энергии можно объединить в 4 группы:

- силовые потребители (Рс);

- технологические нужды (Рт);

- внутреннее освещение (Ро.в.);

- наружное освещение (Ро.н.).

Порядок проектирования временного электроснабжения строительной площадки следующий:

― Подготовка исходных данных.

― Расчет электрических нагрузок для отдельных потребителей.

― Построение графика потребления электрической энергии каждым потребителем и суммарной диаграммы электропотребления.

― Расчет мощности трансформатора.

― Организация электрического освещения и расчет числа прожекторов.

― Привязка сетей временного электроснабжения и условия размещения потребителей электрической энергии.

Исходными данными являются: календарный план строительства объекта, графики работы строительных машин, перечень потребителей электроэнергии, объемы выполняемых работ, условия освещения фронта строительных работ, складов, временных сооружений и другая информация.

Расчет электрических нагрузок можно определить четырьмя способами.

1.Расчет нагрузок по удельной электрической мощности.

2. Расчет нагрузок по удельному расходу электроэнергии (кВт*час).

3. Расчет нагрузок по установленной мощности электроприемников и коэффициенту спроса без дифференциации по видам потребителей.

4. Расчет нагрузок по установленной мощности электроприемников и коэффициентам спроса с дифференциацией по видам потребителей.

Наиболее точный метод это р асчет нагрузок по установленной мощности электроприемников и коэффициентам спроса с дифференциацией по видам потребителей. Егорекомендуется применять при разработке ППР.

Расчет электрических нагрузок выполняется с целью определения необходимой мощности трансформатора или передвижной электростанции.

Расчет нагрузок выполняется в табличной форме в следующей последовательности:

― выбираются данные о потребителях, их характеристики, количество;

― для каждого потребителя устанавливаются нормативные коэффициенты спроса и cosjт;

― устанавливается величина нормативной потребляемой мощности каждым потребителем;

― выполняется расчет электропотребления по каждому потребителю;

― строится график электропотребления каждым из них и затем суммарная диаграмма потребления электрической энергии.

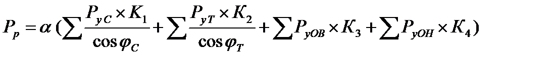
В каждый момент времени общая потребность в электроэнергии будет определяться суммой потребностей одновременно работающих потребителей по следующей формуле:

, (19)

где a – коэффициент, учитывающий потери в сети в зависимости от протяженности сечения провода и т.д. (принимается равным - 1, 1);

К1, К2, К3, К4 – коэффициенты спроса, зависящие от числа потребителей и учитывающие неодновременность их работы, неполную загрузку электропотребителей (принимают по справочникам);

cosjc, cosjт – коэффициенты мощности, принимаемые по справочнику;

Pу С – установленная мощность силовых токоприемников(кВт);

Pу Т – установленная мощность технологических потребителей (кВт);

Pу ОВ – установленная мощность (удельная) осветительных приборов внутреннего освещения;

Pу ОН – установленная мощность (удельная) осветительных приборов наружного освещения.

График электропотребления строится для выявления динамики потребления электроэнергии на строительной площадке и установления периода и величины «пиковой» нагрузки. График выполняется в линейной форме. По каждому потребителю отдельно вычерчивается линия электропотребления с указанием (над чертой) величины потребляемой мощности. Суммарное, итоговое электропотребление строится в виде диаграммы, вершина которой и является «пиковой» нагрузкой, т.е. показывает значение суммарной максимальной электрической нагрузки строительной площадки (Рр max).

Потребная мощность трансформатора (кВ× А) определяется по значению рассчитанной суммарной нагрузки строительной площадки.

, (20)

где Pр max – величина максимальной электрической нагрузки, принимается по диаграмме;

Kм.н. – коэффициент совпадения нагрузок (для строек его величина принимается 0.75-0.85).

Выбор типа и количества трансформаторов выполняется по таблицам.

Организация электрического освещения и расчет

числа прожекторов

Электрическое освещение строительной площадки подразделяется на рабочее и охранное.

Рабочее освещение должно обеспечивать нормальную работу в темное время суток на ее территории, в местах производства работ. Охранное освещение территории строительной площадки или ее границ в темное время суток должно обеспечивать, в соответствии со строительными нормами, освещенность не менее 2 Лк на уровне земли.

Для освещения строительной площадки (фронт работ, склады, дороги и т.д.) определяют необходимое количество прожекторов, светильников и подсчитывают их суммарную мощность. Наиболее широко применяется метод расчета освещения по удельной мощности (Руд.):

Количество прожекторов определяем по формуле:

, (21)

Где: Руд – удельная мощность, Вт/м *лк

E min– нормируемая горизонтальная освещенность в Лк, принимается по нормам;

S – освещаемая площадь (м2);

Рл – мощность лампы (Вт);

Некоторые требования к привязке сетей временного электроснабжения

Временные электрические сети на территории строительства рекомендуется устраивать на опорах. В зоне действия крана, пересечения автомобильных дорог возможно применение подземной проводки силового кабеля. Трансформатор следует располагать в центре зоны электрических нагрузок с радиусом действия 400-500 м. Для организации охранного освещения устанавливают прожекторы на высоте 8-10 м через каждые 150-200 м. Расстояние между прожекторными мачтами в зависимости от мощности прожекторов составляет 80-250 м.



Поделиться с друзьями:

mylektsii.su - Мои Лекции - 2015-2026 год. (2.387 сек.)Все материалы представленные на сайте исключительно с целью ознакомления читателями и не преследуют коммерческих целей или нарушение авторских прав Пожаловаться на материал