Студопедия

Главная страница Случайная страница

КАТЕГОРИИ:

АвтомобилиАстрономияБиологияГеографияДом и садДругие языкиДругоеИнформатикаИсторияКультураЛитератураЛогикаМатематикаМедицинаМеталлургияМеханикаОбразованиеОхрана трудаПедагогикаПолитикаПравоПсихологияРелигияРиторикаСоциологияСпортСтроительствоТехнологияТуризмФизикаФилософияФинансыХимияЧерчениеЭкологияЭкономикаЭлектроника






Тема: Прогноз товарного ринку






Самостійна робота студентів № 11

1 Питання які треба опрацювати:

1. Алгоритм прогнозування кон'юнктури ринку.

2. Економічні показники, які використовуються у прогнозуванні збуту.

3. Питання для самоконтролю, вправи та тестові питання

2 Основні тези лекції:

Крім аналізу загальноекономічної кон'юнктури конкретного товарного ринку, предметом маркетингових досліджень є прогнозування майбутнього розвитку ринку.

Прогноз товарного ринку - це об'єктивне імовірнісне судження про динаміку найважливіших його характеристик та їх альтернативні варіанти за умов виконання сформульованих гіпотез. Алгоритм такого прогнозу наведено на рис. 1.

 

 

Рис 1. Алгоритм прогнозування кон'юнктури ринку

 

Вимоги до прогнозу товарного ринку:

- надійність, наукова обґрунтованість, системність з врахуванням факторів, які можуть здійснити вплив у майбутньому;

- аргументованість, об'єктивність;

- наявність альтернативних варіантів, чітке формування всіх гіпотез та передумов, покладених в їх основу;

- верифікованість, тобто наявність надійної методики оцінки достовірності і точності прогнозу для його можливого коректування;

- чітка і зрозуміла мова формувань;

- плановий характер, своєчасність.

Розглянемо прогнозні дослідження збуту. Тут перш за все необхідно зрозуміти, що прогноз збуту (продаж) - це визначення того, що підприємство розраховує продати, виходячи з існуючої кон'юнктури, ринкового потенціалу і власних можливостей. Прогнозування збуту залежить від дії двох груп чинників:

- контрольованих: ціни, канали розподілу, система просування, характеристики продукції, товарна політика підприємства;

- неконтрольованих: стан економіки, темпи інфляції, процентні ставки, демографічні зміни, смаки споживачів, конкуренція, стан галузі.

Звідси прогнозування збуту повинно враховувати можливості підприємства стосовно управління контрольованими чинниками і прилаштовування під дію неконтрольованих змінних.

Основними економічними показниками, які використовуються у прогнозуванні збуту, є:

а) випереджаючі індикатори (передумови):

- середня тривалість робочого часу промислових робітників;

- обсяги замовлень товаровиробникам;

- контракти на виробництво комерційних та виробничих споруд;

- контракти і замовлення на обладнання;

- обсяги затверджених капіталовкладень;

- зміни у вартості торгово-промислових підприємств;

- прибутки підприємств;

- індекс курсу акцій;

- зміни у вартості товарно-матеріальних запасів;

б) збіжні індикатори (цінові):

—процент безробітних;

—показник потреб у робочій силі;

—індекс обсягу промислового виробництва;

—валовий національний продукт;

—особисті доходи громадян;

—обсяги продажу роздрібної торгівлі;

—індекс оптових цін;

в) індикатори наслідків:

—витрати підприємств на нове обладнання;

—балансова вартість запасів;

—заборгованість споживачів;

—індекс затрат на робочу силу з розрахунку на одиницю продукції.

Відомі некількісні та кількісні методи прогнозування збуту.

 

Некількісні методи прогнозування збуту

 

1.Журі керівників вищої ланки: експертна оцінка майбутніх обсягів збуту керівниками служб маркетингу, фінансів, виробництва, закупівель підприємства.

2.Об'єднана оцінка прогнозу збуту торговельними агентами. Недолік - прогноз, як правило, занижується, що можна компенсувати, встановивши та використавши індекс песимізму для кожного торгового агента (Іп):

 

Іп= (Qp-QJ/Qn,

де Qp - досягнутий обсяг продажу минулого року,

Qn- прогноз продаж на минулий рік.

 

3.Очікування покупців - опитування споживачів стосовно того, що і в яких обсягах вони будуть купувати.

4.Метод Дельфі (Дельфійський метод) - організація декількох мозкових атак за участю групи експертів (від 100 до 1000 чоловік) з наступним усередненням поданих оцінок.

5.Метод створення сценаріїв майбутнього розвитку обсягів збуту, який передбачає розробку декількох можливих варіантів подій.

 

Кількісні методи прогнозування.

 

1.Множинна регресія - пошук рівняння, яке відображає залежність майбутніх обсягів збуту від набору незалежних змінних (наприклад, від витрат на рекламу, рівня цін, кількості продажів тощо).

2.Метод екстраполяції - перенесення тенденцій моделі збуту на майбутнє (рис. 2.);

 

Рис. 2. Фактичні і планові обсяги збуту

 

3. Метод стандартного розподілу ймовірностей (PERT від program evaluation and review). Згідно з цим методом перш за все експертним шляхом визначається значення трьох видів прогнозу збуту:

- оптимістичного - О;

- песимістичного - П;

- найбільш ймовірного - М.

Далі розраховується очікуване значення прогнозу збуту (Зп)

 

Зп =(О+4М+П)/6,

 

після чого розраховується стандартне відхилення (Св)

 

Св =(О-П)/6

 

У відповідності із загальною теорією статистики найбільш вірогідне значення збутового прогнозу (із ймовірністю 95%) знаходитиметься в межах ± 2Св.

Прогнозування збуту на базі минулого періоду

 

3п=3t· (3t/3t-l),

 

де 3t - обсяги збуту поточного року,

3t-1 - обсяги збуту минулого року.

 

4.Кореляційний аналіз - статистичне визначення значимих чинників впливу на обсяги збуту продукції підприємства та міри їх впливу.

5.Прогнозування на основі частки ринку. Згідно з цим методом майбутні обсяги збуту визначаються виходячи з прогнозу загальних обсягів збуту галузі і запланованої частки ринку підприємства.

6.Аналіз кінцевого використання. Прогноз базується на аналізі обсягів збуту кінцевої продукції. Метод використовується при прогнозуванні збуту сировини, напівфабрикатів, комплектуючих виробів.

7.Аналіз часових рядів (рядів динаміки). Прогноз збуту встановлюється виходячи з чотирьох видів коливань:

- циклічних - тривалість більше року;

- безсистемних - разові події;

- періодичних - сезонних;

- тренди - підйоми і спади збуту як результат фундаментальних причин.

Варто також зазначити, що вивчати та прогнозувати кон'юнктуру доцільно на основі аналізу всього комплексу змін. Якість аналізу і прогнозу ринкової кон'юнктури залежить від повноти і достовірності інформації. Чим більше показників при цьому залучається, тим правильніше і точніше можна визначити сформовану на певний момент кон'юнктурну ситуацію та перспективу ЇЇ подальших змін і розвитку.

 

 

Ризик та його критерії

 

Чим більше чинників впливають на прогнозовану систему, тим вужчий горизонт обізнаності і більше помилок у прогнозуванні настання тієї або іншої події. Саме тому, оцінка ринкової кон'юнктури як моментної події має ймовірний характер.

Ступінь (можливість) настання непередбачуваної події прийнято пов'язувати з поняттям ризику.

Ризик на ринку визначається непевністю у досягненні результату, як наслідок множини малопередбачуваних дій учасників ринку. Для кожного об'єкту ринку існує власний підприємницький ризик (вид ризику):

- продавця та покупців;

- інвестора;

- підприємства;

- торговельного комерсанта.

Підприємницькі ризики класифікуються за рівнем збитків: ризик повних або часткових збитків (банкрутство, інфляційний ризик, фінансовий, тощо).

Критерії ризику:

- ступінь стійкості ринку;

- тенденції, швидкість і вектор розвитку ринку;

- оцінка інтенсивності конкуренції;

- вірогідність ризику;

- рівень стабільності політичної ситуації. Фактори ризику:

- ситуація на локальному ринку;

- наявність або відсутність конкурентів на ринку;

- збалансованість попиту та пропозиції, рівень попиту та його тенденція;

- ступінь забезпеченості фірми товарними, сировинними, грошовими та іншими ресурсами;

- рівень цін на товари, які реалізує фірма;

- рівень конкурентоспроможності фірми;

- конкурентоспроможність товару;

- кредитоспроможність;

- стан матеріально-технічної бази.

Для ринку товарів промислового призначення умовно виділяються наступні сфери ризику:

- безризикова сфера (гарантія одержання розрахункового прибутку);

- сфера мінімального ризику (збитки не перевищують розмір чистого прибутку);

- сфера підвищеного ризику (ризик збитків);

- сфера критичного ризику (можливі часткові збитки активів підприємства);

- сфера неприпустимого ризику (неліквідний баланс, неплатоспроможність).

Графічно сфери ризику представлено на рис.3.

Рис. 3. Зони ризику для ринку товарів промислового призначення.

 

На практиці важко прогнозувати рівень ризику. Існує багато методів визначення ризику, найзручнішим є метод експертних оцінок. Алгоритм розрахунку оцінки ризику:

1.Розробляється вичерпний перелік ризиків фірми по кожній з груп (виробничі ризики, організаційні, ризики у маркетингу, фінансово-економічні, соціальні, екологічні, тощо).

2.Визначається питома вага кожного ризику по всій сукупності у відповідній групі.

Wі = 1/п,

де Wі - вага ризику;

п - кількість ризиків у відповідній групі.

3. Встановлюються зони ризику. Для цього використовується метод експертних оцінок (кількість експертів - 3). Ймовірність надходження ризику визначається експертами за такою шкалою: 0 - ризик відсутній; 25 - ризик швидше за все не реалізується; 50 - ситуація невизначеності; 75 - ризик швидше за все виявиться (критична ситуація); 100 - ризик обов'язково виявиться (неприпустимий ризик).

Оцінка експертів перевіряється на не протиріччя

 

max | Аі – Bі | £ 50, і = 1, 2, 3;

де Аі та Ві - оцінки кожної і - тої пари експертів.

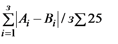
Розраховується середня ймовірність загрози кожного ризику (Vі).

Vі = сума оцінок експертів / З

та оціночний бал по кожному ризику Vі · Wі

Сумування оціночних балів дає уявлення про рівень ризиків кожного напрямку діяльності фірми.

4.Результат роботи експертів оформлюється у вигляді таблиць по кожній групі ризиків.

5.Розроблюються методи компенсації та зниження ризиків фірми по кожній групі.

Об'єктивні критерії ризику мають стійкий характер і не залежать від дій суб'єктів господарювання. їх варто враховувати, причому в ряді випадків треба адаптуватися до деяких умов непевності. Проте у певних випадках деякі чинники ризику підпадають (у відомих межах) під маркетинговий вплив. До них відносяться такі:

-ситуація у зайнятій ніші ринку;

-стан портфеля замовлень;

-зайнята частка ринку,

-збалансованість виробництва і продажу;

-виробничі, фінансові, збутові та інші господарські чинники;

-конкурентоспроможність фірми тощо. Загальними методами захисту від ризиків є:

-покращення фірмової системи збуту, підвищення кваліфікації маркетологів, постійне накопичення інформації про ринок, розробка нових товарів тощо.

-самострахування на основі власних засобів.

- страхування подій і їх результатів за допомогою спеціалізованих посередників (страхові компанії, різноманітні фонди).

Урахування ризику є невід'ємною частиною кон'юнктурних досліджень.

Контрольні питання

1.Визначте поняття кон'юнктури ринку.

2.Що таке кон'юнктурне дослідження та виділить його етапи.

3.Які ви знаєте кон'юнктуроутворювальні фактори?

4.Мета аналізу кон'юнктуроутворювальних факторів.

5.Що характеризує індекс Харфіндела-Хіршмана? Які значення він може набирати?

6.Як розраховується коефіцієнт еластичності попиту (пропозиції) від ціни?

7.Назвіть маркетингові завдання залежно від типів попиту.

8.Що входить до дослідження загальноекономічної кон’юнктури, і які показники використовуються для її вивчення?

9.Охарактеризуйте систему показників кон'юнктури конкретного товарного ринку.

10.Розробіть алгоритм прогнозування кон'юнктури ринку.

11.Що являє собою прогноз товарного ринку?

12.Які існують вимоги до прогнозу товарного ринку?

13.Що таке прогноз збуту?

14.Охарактеризуйте кількісні та некількісні методи прогнозування збуту.

15.Що таке ризики та їх види?

16.Методика розрахунку рівня ризику.

Вправа 1.

Визначить коефіцієнт прямої еластичності попиту за ціною, якщо відомо, що при ціні 4 гри. приблизний обсяг попиту на товар становитиме 20 тис. одиниць на рік, а при ціні 3 грн. - 30 тис. одиниць на рік.

Вправа 2.

Еластичність попиту населення на товар за ціною становить - 0, 6, а за доходом +0, 8. У подальшому періоді доходи населення збільшаться на 6%, а ціна товару зросте на 20 %. Як зміниться обсяг попиту на даний товар?

Вправа 3.

Вплив еластичності на цінову політику

За даними останніх місяців підприємство зауважує значне скорочення обсягів збуту. Ціна одиниці виробляємо! продукції Ц1=25ГРН/ОДИН. Оскільки конкуренти за цей період ціни не змінювали, менеджер із маркетингу розмірковує, чи варто змінювати цін.

Відділ маркетингових досліджень, аналізуючи вплив ціни на динаміку попиту, визначив еластичність попиту на продукцію від ціни на рівні Е= -2, 7 %.

Чи порадили б Ви менеджеру прийняти рішення про зниження ціни на 3 грн/один, якщо дотепер щомісяця у середньому продавалось N1= 670 одиниць товару, змінні витрати на виробництво і продаж однієї одиниці товару становлять V=17 грн/один, а постійні витрати F=1275 грн. на місяць? Треба, щоб балансовий прибуток сягав не менше 18% від обсягів продажу.

Вправа 4.

Середні прибутки сімейних господарств повинні знизитися в наступному періоді, за оцінками експертів, на 20%. Коефіцієнт еластичності попиту по прибутках на продукцію, що випускається підприємством, складає м=0, 8. А коефіцієнт цінової еластичності попиту (з = 1, 25).

Визначте зміну індексу цін, що компенсує зниження обсягу реалізації продукції, унаслідок зменшення попиту за прибутками.

DIzh

- 12, 8%

- 13, 6%

- 14, 4%

- 14, 8%

- 15, 2%

Зазначте номер правильної відповіді.


Поделиться с друзьями:

mylektsii.su - Мои Лекции - 2015-2026 год. (2.145 сек.)Все материалы представленные на сайте исключительно с целью ознакомления читателями и не преследуют коммерческих целей или нарушение авторских прав Пожаловаться на материал