Студопедия

Главная страница Случайная страница

КАТЕГОРИИ:

АвтомобилиАстрономияБиологияГеографияДом и садДругие языкиДругоеИнформатикаИсторияКультураЛитератураЛогикаМатематикаМедицинаМеталлургияМеханикаОбразованиеОхрана трудаПедагогикаПолитикаПравоПсихологияРелигияРиторикаСоциологияСпортСтроительствоТехнологияТуризмФизикаФилософияФинансыХимияЧерчениеЭкологияЭкономикаЭлектроника






Оценка эффективности отдельных финансовых инструментов инвестирования






Оценка эффективности отдельных финансовых ин­струментов инвестирования, как и реальных инвестиций, осуществляется на основе сопоставления объема инвести­ционных затрат, с одной стороны, и сумм возвратного денежного потока по ним, с другой. Вместе с тем, формиро­вание этих показателей в условиях финансового инвести­рования имеет существенные отличительные особенности.

Прежде всего, в сумме возвратного денежного пото­ка при финансовом инвестировании отсутствует показа­тель амортизационных отчислений, так как финансовые инструменты, в отличие от реальных инвестиций, не содержат в своем составе амортизируемых активов. Поэ­тому основу текущего возвратного денежного потока по финансовым инструментам инвестирования составляют суммы периодически выплачиваемых по ним процентов (на вклады в уставные фонды; на депозитные вклады в банках; по облигациям и другим долговым ценным бума­гам) и дивидендов (по акциям и другим долевым ценным бумагам).

Кроме того, коль скоро финансовые активы пред­приятия (каковыми являются финансовые инструменты инвестирования) не амортизируются, они продаются (по­гашаются) в конце срока их использования предприятием (или в конце обусловленного фиксированного срока их обращения) по той цене, которая сложилась на них на момент продажи на финансовом рынке (или по заранее обусловленной фиксированной их сумме). Следовательно, в состав возвратного денежного потока по финансовым инструментам инвестирования входит стоимость их реализации по окончании срока их ис­пользования (фиксированной стоимости по долговым финансовым активам и текущей курсовой стоимости по долевым финансовым активам).

Определенные отличия складываются и в форми­ровании нормы прибыли на инвестированный капитал. Если по реальным инвестициям этот показатель опосредствуется уровнем предстоящей операционной прибыли, которая складывается в условиях объективно существующих отраслевых ограничений, то по финансовым инвестициям инвестор сам выбирает ожидаемую норму прибыли с учетом уровня риска вложений в различные финансовые инструменты. Осторожный (или консервативный) инвестор предпочтет выбор финансовых инструментов с невысоким уровнем риска (а соответственно и с невысокой нормой инвестиционной прибыли), в то время как рисковый (или агрессивный) инвестор предпочтет выбор для инвестирования финансовых инструментов с высокой нормой инвестиционной прибыли (невзирая на высокий уровень риска по ним).

Коль скоро ожидаемая норма инвестиционной при­были задается самим инвестором, то этот показатель формирует и сумму инвестиционных затрат в тот или иной инструмент финансового инвестирования, которая дол­жна обеспечить ему ожидаемую сумму прибыли. Эта рас­четная сумма инвестиционных затрат представляет собой реальную стоимость финансового инструмента инвестиро­вания, которая складывается в условиях ожидаемой нормы прибыли по нему с учетом соответствующего уровня риска.

Если фактическая сумма инвестиционных затрат по финансовому инструменту будет превышать его реальную стоимость, то эффективность финансового инвестиро­вания снизится (т.е. инвестор не получит ожидаемую сумму инвестиционной прибыли). И наоборот, если фактическая сумма инвестиционных затрат будет ниже реальной стоимости финансового инструмента, то эффек­тивность финансового инвестирования возрастет (т.е. ин­вестор получит инвестиционную прибыль в сумме, боль­шей чем ожидаемая).

С учетом изложенного оценка эффективности того или иного финансового инструмента инвестирования сво­дится к оценке реальной его стоимости, обеспечивающей получение ожидаемой нормы инвестиционной прибыли по нему. Принципиальная модель оценки стоимости финан­сового инструмента инвестирования имеет следующий вид:

где Сфи —реальная стоимость финансового инструмента инвестирования; ВДП —ожидаемый возвратный денежный поток за период использования финансового инстру­мента; нп — ожидаемая норма прибыли по финансовому инструменту, выраженная десятичной дробью (формируемая инвестором самостоятельно с учетом уровня риска); п —число периодов формирования возвратных по­токов (по всем их формам). Особенности формирования возвратного денежного потока по отдельным видам финансовых инструментов определяют разнообразие вариаций используемых моде­лей оценки их реальной стоимости.

Модели оценки стоимости облигаций построены на следующих исходных показателях: а) номинал облига­ции: б) сумма процента, выплачиваемая по облигации; в) ожидаемая норма валовой инвестиционной прибыли (норма доходности) по облигации: г) количество перио­дов до срока погашения облигации.

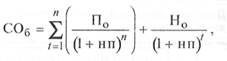
Базисная модель оценки стоимости облигации [Basis Bond Valuation Model] или облигации с периодической выплатой процентов имеет следующий вид:

где СОб —реальная стоимость облигации с периодичес­кой выплатой процентов;

П0 — сумма процента, выплачиваемая в каждом периоде (представляющая собой произведение ее номинала на объявленную ставку про­цента); Н0—номинал облигации, подлежащий погашению В конце срока ее обращения; нп—ожидаемая норма валовой инвестиционной прибыли (доходности) по облигации, выра­женная десятичной дробью; л—число периодов, остающихся до срока пога­шения облигации.

Экономическое содержание Базисной модели оцен­ки стоимости облигации (облигации с периодической выплатой процентов) заключается в том, что ее теку­щая реальная стоимость равна сумме всех процентных поступлений по ней за оставшийся период ее обраще­ния и номинала, приведенных к настоящей стоимости по дисконтной ставке, равной ожидаемой норме валовой инвестиционной прибыли (доходности).

Модель оценки стоимости облигации с выплатой всей суммы процентов при ее погашении имеет следующий вид:

где СОп —реальная стоимость облигации с выплатой всей суммы процентов при ее погашении;

Н0 — номинал облигации, подлежащий погашению в конце срока ее обращения; Пк —сумма процента по облигации, подлежащая выплате в конце срока ее обращения; нп — ожидаемая норма валовой инвестиционной прибыли (доходности) по облигации, выра­женная десятичной дробью; п—число периодов, остающихся до срока пога­шения облигации (по которым установлена норма прибыли).

Экономическое содержание данной модели состоит в том, что текущая реальная стоимость облигации с выплатой всей суммы процентов при ее погашении, равна совокупным выплатам номинала и суммы процента по ней, приведенным к настоящей стоимости по дисконт­ной ставке, равной ожидаемой норме валовой инвести­ционной прибыли (доходности).

Модель оценки стоимости облигации, реализуемой с дисконтом без выплаты процентов, имеет следующий вид:

где СОд — реальная стоимость облигации, реализуемой с дисконтом без выплаты процентов по ней; Н0 —номинал облигации, подлежащий погашению в конце срока ее обращения; нп—ожидаемая норма валовой инвестиционной прибыли (доходности) по облигации, выра­женная десятичной дробью; п—число периодов, остающихся до срока пога­шения облигации (по которым установлена норма прибыли).

Экономическое содержание данной модели состоит в том, что текущая реальная стоимость облигации, реали­зуемой с дисконтом без выплаты процентов по ней, пред­ставляет собой ее номинал, приведенный к настоящей стоимости по дисконтной ставке, равной ожидаемой нор­ме валовой инвестиционной прибыли (доходности).

Трансформируя соответствующим образом указан­ные модели (т.е. меняя искомый расчетный показатель) можно по каждому виду облигаций рассчитать ожидае­мую норму валовой инвестиционной прибыли (доходности), если показатель реальной стоимости облигации заме­нить на фактическую цену ее реализации на фондовом рынке (комплекс таких моделей широко представлен в специальной литературе по вопросам обращения фон­довых инструментов).

Для оценки текущего уровня валовой инвестицион­ной прибыли по облигациям используется коэффици­ент ее текущей доходности, который рассчитывается по формуле:

где Ктд0 — коэффициент текущей доходности облигации; Н0 — номинал облигации; СП —объявленная ставка процента (так называе­мая " купонная ставка"), выраженная десятич­ной дробью; СО—реальная текущая стоимость облигации (или текущая ее цена).

Модели оценки стоимости акций построены на следу­ющих исходных показателях: а) сумма дивидендов, пред­полагаемая к получению в конкретном периоде; б) ожи­даемая курсовая стоимость акции в конце периода ее реализации (при использовании акции в течение заранее определенного периода; в) ожидаемая норма валовой ин­вестиционной прибыли (норма доходности) по акциям; г) число периодов использования акции.

Модель оценки стоимости акции при ее использова­нии в течение неопределенного продолжительного периода времени имеет следующий вид:

где САН —реальная стоимость акции, используемой в течение неопределенного продолжительного периода времени; Да - сумма дивидендов, предполагаемая к полу­чению в каждом п-ом периоде; нп — ожидаемая норма валовой инвестиционной прибыли (доходности) по акциям, выражен­ная десятичной дробью; п—число периодов, включенных в расчет.

Экономическое содержание данной модели состоит в том, что текущая реальная стоимость акции, исполь­зуемой в течение неопределенного продолжительного периода времени (неопределенное число лет), представляет собой сумму предполагаемых к получению дивидендов по отдельным предстоящим периодам, приведенную к настоящей стоимости по дисконтной ставке, равной ожидаемой норме валовой инвестиционной прибыли (доходности).

Модель оценки стоимости акции, используемой в те­чение заранее определенного срока, имеет следующий вид:

где СА0 — реальная стоимость акции, используемой в течение заранее определенного срока; Да—сумма дивидендов, предполагаемая к полу­чению в каждом п-ом периоде; КСа — ожидаемая курсовая стоимость акции в конце периода ее реализации; нп—ожидаемая норма валовой инвестиционной прибыли (доходности) по акциям, выражен­ная десятичной дробью; п—число периодов, включенных в расчет.

Экономическое содержание данной модели состоит в том, что текущая реальная стоимость акции, использу­емой в течение заранее определенного срока, равна сумме предполагаемых к получению дивидендов в используемых периодах и ожидаемой курсовой стоимости акции в момент ее реализации, приведенной к настоящей стои­мости по дисконтной ставке, равной ожидаемой норме валовой инвестиционной прибыли (доходности).

Первая из рассмотренных моделей оценки стоимости акций (т.е. акций, постоянно находящихся в портфеле инвестора) имеет ряд вариантов:

Модель оценки стоимости акций со стабильным уров­нем дивидендов имеет следующий вид:

где САП —реальная стоимость акций со стабильным уров­нем дивидендов; Да-—годовая сумма постоянного дивиденда; нп — ожидаемая норма валовой инвестиционной прибыли (доходности) по акции, выраженная десятичной дробью;

Модель оценки стоимости акций с постоянно возрас­тающим уровнем дивидендов (она известна как " Модель Гордона") имеет следующий вид:

где САВ -реальная стоимость акции с постоянно воз­растающим уровнем дивидендов; Дп —сумма последнего выплаченного дивиденда; Тд—темп прироста дивидендов, выраженный де­сятичной дробью; нп -ожидаемая норма валовой инвестиционной прибыли (доходности) по акции, выраженная десятичной дробью.

Модель оценки стоимости акций с колеблющимся уров­нем дивидендов по отдельным периодам имеет следующий вид:

где САИ -реальная стоимость акции с изменяющимся уровнем дивидендов по отдельным периодам; Д1-Дп—сумма дивидендов, прогнозируемая к полу­чению в каждом п-ом периоде; нп—ожидаемая норма валовой инвестиционной прибыли (доходности) по акциям, выражен­ная десятичной дробью.

Для оценки текущего уровня валовой инвестици­онной прибыли по акции используется ряд показате­лей, основным из которых является коэффициент соот­ношения цены и дохода по акции. Он определяется по следующей формуле:

где Кц/д — коэффициент соотношения цены и дохода по акции; РЦа—текущая рыночная цена одной акции;

Да —сумма дивидендов, выплаченных на одну ак­цию.

Оценка реальной стоимости финансового инстру­мента в сопоставлении с ценой его текущей рыночной котировки или рассчитанная ожидаемая норма валовой инвестиционной прибыли (доходности) по нему явля­ются основным критерием принятия управленческих решений по осуществлению тех или иных финансовых инвестиций. Вместе с тем, в процессе принятия таких управленческих решений могут быть учтены и иные факторы — условия эмиссии ценных бумаг, отраслевая или региональная принадлежность эмитента, уровень активности обращения тех или иных инструментов фи­нансового инвестирования на рынке и другие.

 


Поделиться с друзьями:

mylektsii.su - Мои Лекции - 2015-2026 год. (0.325 сек.)Все материалы представленные на сайте исключительно с целью ознакомления читателями и не преследуют коммерческих целей или нарушение авторских прав Пожаловаться на материал