Студопедия

Главная страница Случайная страница

КАТЕГОРИИ:

АвтомобилиАстрономияБиологияГеографияДом и садДругие языкиДругоеИнформатикаИсторияКультураЛитератураЛогикаМатематикаМедицинаМеталлургияМеханикаОбразованиеОхрана трудаПедагогикаПолитикаПравоПсихологияРелигияРиторикаСоциологияСпортСтроительствоТехнологияТуризмФизикаФилософияФинансыХимияЧерчениеЭкологияЭкономикаЭлектроника






Решение. Пусть концентрация первого раствора кислоты – , а концентрация второго –






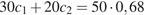
Пусть концентрация первого раствора кислоты – , а концентрация второго – . Если смешать эти растворы кислоты, то получится раствор, содержащий 68% кислоты: . Если же смешать равные массы этих растворов, то получится раствор, содержащий 70% кислоты: . Решим полученную систему уравнений:

 

Поэтому

Ответ: 18.

Ответ: 18

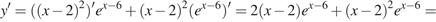
Решение.

Найдем производную заданной функции:

 

Найдем нули производной:

 

Определим знаки производной функции и изобразим на рисунке поведение функции:

 

Искомая точка максимума .

Ответ: 0.

Ответ: 0

Решение.

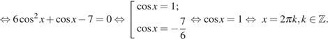
а) Решим уравнение

 

 

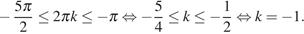
б) Найдем корни, лежащие в заданном отрезке, решая двойное неравенство:

 

 

Тогда искомый корень .

 

Примечание.

Отобрать корни можно, используя тригонометрическую окружность (см. рис.).

 

 

Ответ: а) ; б) .

 


Поделиться с друзьями:

mylektsii.su - Мои Лекции - 2015-2026 год. (0.715 сек.)Все материалы представленные на сайте исключительно с целью ознакомления читателями и не преследуют коммерческих целей или нарушение авторских прав Пожаловаться на материал