Студопедия

Главная страница Случайная страница

КАТЕГОРИИ:

АвтомобилиАстрономияБиологияГеографияДом и садДругие языкиДругоеИнформатикаИсторияКультураЛитератураЛогикаМатематикаМедицинаМеталлургияМеханикаОбразованиеОхрана трудаПедагогикаПолитикаПравоПсихологияРелигияРиторикаСоциологияСпортСтроительствоТехнологияТуризмФизикаФилософияФинансыХимияЧерчениеЭкологияЭкономикаЭлектроника






Пример построения и исследования модели






Исходные данные для задачи представлены в виде таблиц.

Моделируемая система предназначена для решения пяти задач. Интенсивности поступления заявок представлены в таблице 1.

Таблица 1 - Интенсивности поступления заявок

 

№ задачи Интенсивность li
   
   
   
   
   

 

Таблица 2 - Параметры задач

№ задачи Трудоемкость процессорных операций Qi Среднее число обращений к файлам Nij
F1 F2 F3 F4 F5 F6 F7 F8 F9 F10
                       
                       
                       
                       
                       

 

Таблица 3 - Параметры файлов

Файлы F1 F2 F3 F4 F5 F6 F7 F8 F9 F10
Длина файла, Мбайт (Gi)                    
Средняя длина записи, Кбайт (gi)                    

Таблица 4 - Параметры накопителей

  Тип Емкость, Мбайт Скорость передачи данных (VН), Кбайт/сек Среднее время доступа (UН), сек
НЖМД     0, 0033
НМОД     0, 0048

 

Исследования проводятся на сетевых моделях СОО с однородным потоком заявок. Этап обращения к файлам рассматривается как последовательность двух фаз: подготовительной и передачи информации.

В модели отображаются только те устройства СОО, которые оказывают наиболее существенное влияние на процесс решения задач пользователей в смысле задержки получения ответа во времени. Каждое из устройств участвует в реализации определенного этапа в процессе решения задачи.

Любое устройство СОО представляется в модели одноканальной СМО. Дисциплина обслуживания заявок в любой СМО предполагается простейшей бесприоритетной очередью FIFO (обслуживание в порядке поступления). Одноканальная СМО характеризуется интенсивностью li входящего потока и средним временем U- обслуживания заявок.

 

Этап.

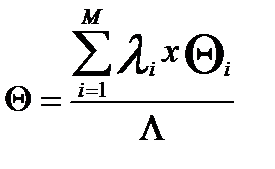
Производится усреднение параметров задач из множества задач {Zi}, возлагаемых на систему, с целью приведения неоднородного потока заявок к однородному. Параметры, получаемые в результате усреднения, описывают, так называемую, среднюю задачу. Приведение неоднородного потока заявок к однородному должно проводиться таким образом, чтобы однородный поток запросов на решение средней задачи создавал в среднем такую же нагрузку на систему, как неоднородный поток запросов на решение множества задач {Zi}. Вследствие этого параметры средней задачи определяются посредством усреднения параметров множества задач {Zi}, решаемых системой, по интенсивностям их поступления li (i=1, 2,.., M), где М – количество входных потоков заявок.

Параметры средней задачи определяются следующим образом.

1. Интенсивность потока запросов на решение средней задачи:

 

 


L=l1+l2+ l3 +l4+ l5 = 3+1+6+6+4 = 20

 

2. Средняя трудоемкость процессорных операций при решении средней задачи:

 

 

3. Среднее число обращений к файлу

 

 


D1 D2 D3 D4 D5 D6 D7 D8 D9 D10
3, 5 13, 25 4, 5 5, 35 6, 60 13, 80 2, 65 0, 15 2, 20 2, 60

 

4. Суммарное число обращений

 


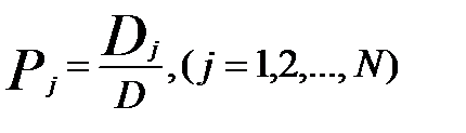
5. Вероятность использования файла Fj:

 

 


P1 Р2 Р3 Р4 Р5 Р6 Р7 Р8 Р9 Р10
0, 064 0, 243 0, 082 0, 098 0, 121 0, 253 0, 049 0, 003 0, 040 0, 048

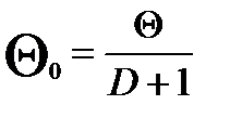
6. Средняя трудоемкость этапа счета


где (D+1) – среднее число этапов счета, приходящихся на одну среднюю задачу.


Этап.

Определяется возможность размещения файлов в накопителе внешней памяти. Этот этап построения модели СОО состоит в количественной оценке возможности размещения каждого файла из множества {Fj} в накопителях различного типа, входящих в состав внешней памяти исследуемой системы.

Вследствие того, что к различным файлам производится различное число обращений при решении задач, естественно предположить, что файлы, сравнительно редко используемые в процессе решения задач, могут располагаться как в НМОД, так и в НЖМД. В то время как файлы, частота обращений к которым велика, должны располагаться в НЖМД как устройствах внешней памяти с минимальным временем доступа.

Условие существования стационарного режима в накопителе при условии размещения в нем файла Fj имеет вид

 


где – интенсивность потока запросов к файлу

– среднее время доступа к файлу.

1. Интенсивность потока запросов к файлу Fj можно представить в виде:

 

 

1 2 3 4 5 6 7 8 9 10
                   

 

2. С учетом этого можно получить ограничение на среднее время доступа к файлам

 

 

Величина представляет собой максимально допустимое время доступа к файлу Fj. В связи с этим файл Fj может размещаться в накопителе, обеспечивающем время доступа к информации меньшее . Таким образом, сравнивая значения (j= 1, 2, …, N) со значениями UМД и UМОД, можно оценить возможность размещения файла Fj либо только в НЖМД, либо НМОД или НЖМД. При UМД³ файл может быть полностью размещен в НЖМД.

u1 u2 u3 u4 u5 u6 u7 u8 u9 u10
0, 014 0, 004 0, 011 0, 009 0, 008 0, 004 0, 0, 19 0, 333 0, 0, 23 0, 019

 

 

3. Для обеспечения скорости передачи файлы на дисках должны располагаться следующим образом.

 

F1 F2 F3 F4 F5 F6 F7 F8 F9 F10
НМОД НЖМД НМОД НМОД НМОД НЖМД НМОД НМОД НМОД НМОД

 

Только файлы F2 и F6 должны быть расположены на НЖМД, остальные можно располагать как на НМОД, так и на НЖМД.

 

Этап.

Определяются параметры минимальной конфигурации СОО. Определение производится с учетом существования стационарного режима в каждой СМО сети. Последнее условие определяет существование стационарного режима во всей сети в целом.

Для одноканальной СМО условие существования стационарного режима имеет вид:

 


где li - интенсивность потока заявок в СМО;

ui – среднее время обслуживания заявок в СМО.

Интенсивность li потока заявок к СМО связана с интенсивностью источника заявок L соотношением:

 

li = ai L

 

где ai – коэффициент передачи СМО.

Использование физического смысла коэффициента передачи, как среднего числа прохождений заявки из источника через СМО от момента ее поступления в сеть до момента выхода из сети, позволяет существенно упростить процедуру определения величин li.

Определение минимального быстродействия процессора сводится к следующему.

Число запросов на этап счета в процессе решения одной задачи равно (D+1). Вследствие этого значение (D+1) можно рассматривать как коэффициент передачи СМО, отображающей процессор.

1. Интенсивность потока заявок к процессору

 

lпр = L (D+1)=1112

 

2. Минимальное быстродействие процессора

 

Vпр=LQ = 20 х 6185 = 123700

 

3. Среднее время обслуживания заявки в процессоре (средняя продолжительность этапа счета):

 

 


4. Нижний предел количества накопителей внешней памяти НЖМД.

При его определении следует исходить из условия существования стационарного режима, так и из условия возможности размещения файлов по накопителям по объему.

Условие существования стационарного режима в многоканальной СМО или в совокупности одноканальных СМО, отображающих в модели НЖМД системы, имеет вид:

 

 

 


Входящая в это выражение интенсивность потока заявок к системе НЖМД равна:

lМД=DPМДL,

 

где PМД – вероятность обращения к ленточным файлам при операции обмена с файлами. Значение PМД определяется путем суммирования вероятностей Pj обращения к файлам, размещенным в НЖМД:

 

 

 


Рмд = 0, 243 + 0, 253 = 0, 496.

- количество магнитных дисков.

С использованием соотношения для lМД, условие существования стационарного режима для НЖМД приводится к виду:

 


откуда можно найти ограничение снизу на количество НЖМД системы:

 

mМД > DPМДLUМД

 

mМД > 54, 6 х 0, 796 х 20 х 0, 0033=1, 79.

 

Ближайшее целое большее будет 2. Таким образом, необходимо два диска типа НЖМД.

5. Верхний предел количества накопителей внешней памяти НЖМД.

Необходимость размещения в НЖМД всех ленточных файлов требует выполнения условия, при котором емкость НЖМД, используемых в системе, не меньше суммарной длины ленточных файлов, т.е.

 

 


где Gi – длина ленточного файла, Gмд – емкость одного НЖМД, в данных условиях mмд (2 + 4)/4200=0, 0014.

Ближайшее большее целое будет 1.

6. Количество накопителей внешней памяти НЖМД.

Исходя из обоих ограничений, минимальное количество НЖМД системы определяется выражением:

 

 

.

 

7. Нижний предел количества накопителей внешней памяти НМОД.

 

; = 0, 504579

 

mМОД > DPМОДLUМОД = 2, 6448

 

Ближайшее большее целое будет 3.

8. Верхний предел количества накопителей внешней памяти НМОД

 


= 0, 289063

 

 

Ближайшее большее целое будет 1.

9. Количество накопителей внешней памяти НМОД

 

.

10. Интенсивность потока заявок для канала передачи данных lкпд равна сумме интенсивностей потоков заявок НМОД и НЖМД

 

lКПД = lМОД + lМД = LD = 20 х 54, 6 = 1092

 

11. Средняя длина записи.

При определении среднего времени передачи через КПД (канал передачи данных) учитывается различная скорость передачи данных для НМОД и. Для этого определяется средняя длина записи для магнитооптических и дисковых файлов соответственно. Величины gмод и gмд определяются усреднением длин записей по магнитооптическим и дисковым файлам с учетом вероятностей Pj их использования при решении средней задачи, т.е.

 

gмод = (0, 064х5 + 0, 082х15 + 0, 098х6 + 0, 121х14 + 0, 049х10 + 0, 003х15 + 0, 040х20 +0, 048 х25) / 0, 504 = 12, 6

 

gмд = (0, 243х8 + 0, 253х18)/0, 496 = 13, 10

 

12. Среднее время передачи данных через КПД

С учетом вероятностей обращения к магнитооптическим и дисковым файлам в процессе обмена информацией между внешней и оперативной памятью СОО среднее время передачи данных через КПД:

 

 


Это выражение может быть приведено к виду:

 

 


 

 

Uкпд = (0, 064х5 + 0, 082х15 + 0, 098х6 + 0, 121х14 + 0, 049х10 + 0, 003х15 + 0, 040х20 +0, 048 х25) / 1100 + (0, 243х8 + 0, 253х18)/ 6900 = 0, 0067

 

13. Количество КПД

Количество КПД в СОО должно удовлетворять условию:

 

mкпд> LDUкпд = (20 x 54, 6 x 0, 0067) = 7, 34

 

Для минимальной конфигурации берется ближайшее большее равное 8.

Таким образом, при минимальной конфигурации должно быть 2 накопителя на жестких магнитных дисках, 3 накопителя на магнитооптических дисках и 8 каналов передачи данных.

 


Поделиться с друзьями:

mylektsii.su - Мои Лекции - 2015-2026 год. (0.916 сек.)Все материалы представленные на сайте исключительно с целью ознакомления читателями и не преследуют коммерческих целей или нарушение авторских прав Пожаловаться на материал