Студопедия

Главная страница Случайная страница

КАТЕГОРИИ:

АвтомобилиАстрономияБиологияГеографияДом и садДругие языкиДругоеИнформатикаИсторияКультураЛитератураЛогикаМатематикаМедицинаМеталлургияМеханикаОбразованиеОхрана трудаПедагогикаПолитикаПравоПсихологияРелигияРиторикаСоциологияСпортСтроительствоТехнологияТуризмФизикаФилософияФинансыХимияЧерчениеЭкологияЭкономикаЭлектроника






Задача № 6. Воздух при давлении р1=16 бар и при температуре t1=300°С движется в трубе внутренним диаметром d= 24 мм в количестве Vн = 80 м3 н/мин






 

Воздух при давлении р1= 16 бар и при температуре t1 =300°С движется в трубе внутренним диаметром d= 24 мм в количестве Vн = 80 м3 н/мин. При температуре t1 кинематическая вязкость, теплопроводность и температуропроводность воздуха составляет v= 48, 3∙ 10-6 м2/с, λ = 4, 6∙ 10-2 Вт/(м∙ К), а= 71, 6∙ 10-6 м2/с. Свнутренней стенки металлическая трубка покрыта накипью толщиной δ н= 2 мм и теплопроводностью λ н= 0, 7 Вт/(м∙ К). Толщина стенки металлической трубки δ м= 20 мм, коэффициент её теплопроводности λ м= 40 Вт/(м∙ К). С наружной стороны трубка покрыта сажей толщиной δ с= 1, 5 мм и теплопроводностью λ с= 0, 1 Вт/(м∙ К). Теплота передается в окружающий газ с температурой t2= 20° С. Коэффициент теплоотдачи от поверхности сажи к окружающему газу а2= 10 Вт/(м∙ К). Стенку считать плоской.

Определить плотность теплового потока q через трехслойную стенку, температуру на поверхностях стенки tст1 и tст2, а также температуру слоев tсл1, tсл2.

 

Решение:

Дано: р1= 16 бар Найти: q -?

t1 =300°С tст1 -?

d = 24 мм tст2 -?

Vн = 80 м3 н/мин tсл1 -?

v = 48, 3∙ 10-6 м2/с tсл2 -?

λ = 4, 6∙ 10-2 Вт/(м∙ К)

а = 71, 6∙ 10-6 м2

δ н = 2 мм

λ н = 0, 7 Вт/(м∙ К)

δ м = 20 мм

λ м = 40 Вт/(м∙ К)

δ м = 1, 5 мм

λ м = 0, 1 Вт/(м∙ К)

t2 = 20° С

а2 = 10 Вт/(м∙ К)

1. Плотность азота найдем по формуле

, где R = 8314 /μ = 8314/ 28 = 293 Дж/кг∙ К

 

2. Скорость определяем по формуле

m = ρ 1w1F => w1 = m / ρ 1F, где F – площадь трубки F = π d2/ 4, m = ρ н Vн ,

где ρ н для азота: ρ н = μ / 22, 4 = 28 / 22, 4 = 1, 25 кг/м3

w1 = m/ρ 1F = (1, 25∙ 80)/(60∙ 104∙ 0, 785∙ 0, 0242) = 35, 5 м/с

 

3. Число Рейнольдса

 

Re = wd / v = (35, 5∙ 0, 024∙ 106) / 48, 3 = 17639 > Reкритич. = 2300

 

4. Число Прандтля

 

Pr = v / а = 48, 3 / 71, 6 = 0, 67

 

5. Критерий Нуссельта

 

Nu = 0, 021 Re 0, 8 Pr 0, 43 = 0, 021∙ 176390, 8 ∙ 0, 670, 43 = 44

 

6. Коэффициент теплоотдачи

 

α 1 = Nu(λ /d) = 44(4, 6 / 0, 024) = 8433 Вт /(м2 ∙ K)

7. Коэффициент теплопередачи:

 

Вт /(м2 ∙ K)

 

k = 4 Вт/(м2 ∙ K) < α 1 = 10 Вт /(м2 ∙ K)

 

8. Тепловой поток

 

q = k (t1 – t2) = 4(300 – 20) = 1120 Вт/м2

 

9. Из формулы

 

10.

 

12. Из формулы q = (tст.2 – t2) => tст.2 = t2 + q = 20 + 1120 = 132 °С

 

Ответ: q = 1120 Вт/м2; tст.1 = 299, 9 °С; tст.2 = 132 °С; tсл.1 = 267, 9 °С;

tсл.2 = 267, 34 °С.

 

 

 

Задача № 7.

Вода при температуре насыщения t1 =150° С движется в стальной трубке внутренним диаметром d= 30 мм. Расход воды составляет 0, 15 м3/мин. При температуре t1 кинематическая вязкость, теплопроводность и температуро-проводность воды составляет v= 6, 89∙ 10-6 м2/с, λ = 2, 79∙ 10- 2 Вт/(м∙ К), а= 6, 13∙ 10-6 м/с. С внутренней стенки металлическая трубка покрыта накипью толщиной δ н= 2, 3 мм и теплопроводностью λ н= 0, 75 Вт/(м∙ К). Толщина стенки металлической трубки δ м= 15 мм, коэффициент её теплопроводности λ м= 50 Вт/(м∙ К). С наружной стороны трубка покрыта сажей толщиной δ с= 1, 4 мм и теплопроводностью λ с= 0, 15 Вт/(м∙ К). Теплота передается в окружающий газ с температурой t2= 20° С. Коэффициент теплоотдачи от поверхности сажи к окружающему газу a2= 10 Вт/(м2∙ К). Стенку считать плоской.

Определить плотность теплового потока q через трехслойную стенку, температуру на поверхностях стенки tст1 и tст2, а также температуру слоев tсл1, tсл2.

 

Решение:

Дано: Найти:

t1 =150°С tст1 -?

d = 30 мм tст2 -?

Vж = 2, 15 м3 н/мин tсл1 -?

v = 6, 89∙ 10-6 м2/с tсл2 -?

λ = 2, 75∙ 10-2 Вт/(м∙ К) q -?

а = 6, 13∙ 10-6 м2

δ н = 2, 3 мм

λ н = 0, 75 Вт/(м∙ К)

δ м = 15 мм

λ м = 50 Вт/(м∙ К)

δ с = 1, 4 мм

λ с = 0, 15 Вт/(м∙ К)

t2 = 20° С

а2 = 10 Вт/(м∙ К)

1. Плотность воды составляет

ρ 1 = 1000 кг/м3

 

2. Скорость определяем по формуле

m = ρ 1w1F = > w1 = m / ρ 1 F, где F – площадь трубки F = π d2 / 4, а m = ρ н Vж

где ρ н для воды: ρ н = μ / 22, 4 = 18 / 22, 4 = 0, 8 кг/м3

w1 = (0, 8∙ 2, 15) / (60∙ 1000∙ 0, 785∙ 0, 0302) = 0, 040 м/с

 

3. Число Рейнольдса

 

Re = wd / v = (0, 040∙ 0, 030∙ 106) / 6, 89 = 174

 

4. Число Прандтля

 

Pr = v / а = 6, 89 / 6, 13 = 1, 12

 

5. Критерий Нуссельта

 

Nu = 0, 021 Re0, 8 Pr0, 43 = 0, 021∙ 1740, 8 ∙ 1, 120, 43 = 1, 37

 

6. Коэффициент теплоотдачи

 

α 1 = Nu(λ /d) = 1, 37(2, 75 / 0, 030) = 125 Вт /(м2 K)

 

7. Коэффициент теплопередачи

Вт/(м2 K)

 

k = 4, 37 Вт/(м2 ∙ K) < α 1 = 10 Вт /(м2 ∙ K)

 

8. Тепловой поток

 

q = k (t1 – t2) = 4, 37(150 – 20) = 568, 1 Вт/м2

 

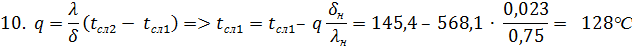
9. Из формулы

 

q = α 1 (t1 – tст.1) => tст.1 = t1– q∙ (1/α 1) = 150 – 568, 1(1/125) = 145, 4 °С

 

 

 

12. Из формулы q = α 2 (tст.2 – t2) => tст.2 = t2 + q∙ (1/α 2) = 20 + 568, 1 ∙ (1/10) = 37 °С

 

Ответ: q= 568, 1 Вт/м2; tст.1 = 145, 4 °С; tст.2 = 37 °С; tсл.1 = 128 °С; tсл.2 = 127, 8 °С.

 

 


Поделиться с друзьями:

mylektsii.su - Мои Лекции - 2015-2026 год. (1.761 сек.)Все материалы представленные на сайте исключительно с целью ознакомления читателями и не преследуют коммерческих целей или нарушение авторских прав Пожаловаться на материал