Студопедия

Главная страница Случайная страница

КАТЕГОРИИ:

АвтомобилиАстрономияБиологияГеографияДом и садДругие языкиДругоеИнформатикаИсторияКультураЛитератураЛогикаМатематикаМедицинаМеталлургияМеханикаОбразованиеОхрана трудаПедагогикаПолитикаПравоПсихологияРелигияРиторикаСоциологияСпортСтроительствоТехнологияТуризмФизикаФилософияФинансыХимияЧерчениеЭкологияЭкономикаЭлектроника






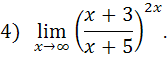
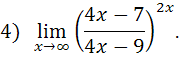
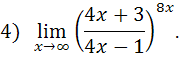
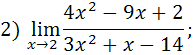
Задания 1-10. Вычислить предел функции, не пользуясь правилом Лопиталя.






Вычислить предел функции, не пользуясь правилом Лопиталя.

1.

   
       

2.

 
   
3.      
       
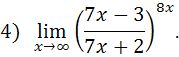
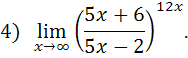
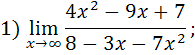
4.      
   
5.      
       
6.      
       
7.      
 
8.      
     
9.      
       
10.      
       

Задания 21-30

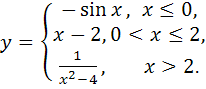
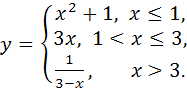
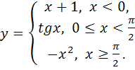
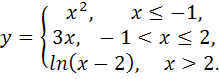
Найти точки разрыва функции и указать их характер. Сделать схематический чертеж.

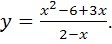
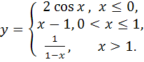
21. 22.
23. 24.
25. 26.
27. 28.
29. 30.

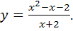
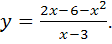
Задания 31-40

Провести полное исследование функции и построить её график.

31.

32.

33.

34.

35.


36.

37.

38.

39.

40.

Задания 41-50

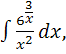
Найти неопределенные интегралы. Результаты проверить дифференцированием.

41.

1)

2)

3)

42.

1)

2)

3)

43.

1)

2)

3)

44.

1)

2)

3)

45.

1)

2)

3)

46.

1)

2)

3)

47.

1)

2)

3)

48.

1)

2)

3)


49.

1)

2)

3)

50.

1)

2)

3)

Задания 51-60

Вычислить площадь фигуры, ограниченной заданными линиями. Сделать чертеж.

51.

52.

53.

54.

55.

56.

s New Roman" w: h-ansi=" Cambria Math" /> < wx: font wx: val=" Cambria Math" /> < w: i/> < w: sz w: val=" 32" /> < w: sz-cs w: val=" 32" /> < w: lang w: val=" EN-US" /> < /w: rPr> < m: t>.< /m: t> < /m: r> < /m: oMath> < /m: oMathPara> < /w: p> < w: sectPr wsp: rsidR=" 00000000" > < w: pgSz w: w=" 12240" w: h=" 15840" /> < w: pgMar w: top=" 1134" w: right=" 850" w: bottom=" 1134" w: left=" 1701" w: header=" 720" w: footer=" 720" w: gutter=" 0" /> < w: cols w: space=" 720" /> < /w: sectPr> < /w: body> < /w: wordDocument> ">

57.

58.

59.

60.

 


Поделиться с друзьями:

mylektsii.su - Мои Лекции - 2015-2026 год. (0.637 сек.)Все материалы представленные на сайте исключительно с целью ознакомления читателями и не преследуют коммерческих целей или нарушение авторских прав Пожаловаться на материал