Студопедия

Главная страница Случайная страница

КАТЕГОРИИ:

АвтомобилиАстрономияБиологияГеографияДом и садДругие языкиДругоеИнформатикаИсторияКультураЛитератураЛогикаМатематикаМедицинаМеталлургияМеханикаОбразованиеОхрана трудаПедагогикаПолитикаПравоПсихологияРелигияРиторикаСоциологияСпортСтроительствоТехнологияТуризмФизикаФилософияФинансыХимияЧерчениеЭкологияЭкономикаЭлектроника






Найти неопределенные интегралы. Результат проверить дифференцированием.






А)

Проверка:

В результате дифференцирования получена подынтегральная функция, значит, интеграл найден верно.

 

б)

При интегрировании применялась формула интегрирования по частям:

Проверка:

В результате дифференцирования получена подынтегральная функция, значит, интеграл найден верно.

 

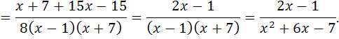
в)

 

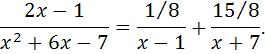
Для отыскания интеграла применяется метод неопределенных коэффициентов, согласно которому

 

и из полученного равенства следует:

Полагая , получим:

Аналогично, при получаем:

И поэтому,

Проверка:

В результате дифференцирования получена подынтегральная функция, значит, интеграл найден верно.

 

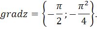
5. Найти градиент функции в точке , и производную по направлению вектора .

1) Найдем частные производные функции и вычислим их значения в точке .

Учитывая, что получим

2) Найдем направляющие косинусы. Так как , то

Производная функции по направлению вектора равна

 


Поделиться с друзьями:

mylektsii.su - Мои Лекции - 2015-2026 год. (0.833 сек.)Все материалы представленные на сайте исключительно с целью ознакомления читателями и не преследуют коммерческих целей или нарушение авторских прав Пожаловаться на материал