Студопедия

Главная страница Случайная страница

КАТЕГОРИИ:

АвтомобилиАстрономияБиологияГеографияДом и садДругие языкиДругоеИнформатикаИсторияКультураЛитератураЛогикаМатематикаМедицинаМеталлургияМеханикаОбразованиеОхрана трудаПедагогикаПолитикаПравоПсихологияРелигияРиторикаСоциологияСпортСтроительствоТехнологияТуризмФизикаФилософияФинансыХимияЧерчениеЭкологияЭкономикаЭлектроника






Найти общее решение дифференциального уравнения






1) Найдем общее решение однородного уравнения

с помощью характеристического уравнения

Так как характеристическое уравнение имеет два различных действительных корня, то общее решение однородного уравнения равно

2) Частное решение заданного неоднородного уравнения будем искать в виде так как один из корней характеристического уравнения равен − 7.

Подставив в уравнение и получим

откуда

Следовательно,

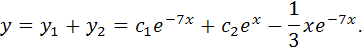
3) Общее решение дифференциального уравнения имеет вид:

 

Исследовать сходимость ряда

Воспользуемся признаком Даламбера, согласно которому, ряд сходится, если выполняется неравенство:

и расходится в противном случае.

Так как , то, согласно признаку Даламбера, ряд сходится.

 



Поделиться с друзьями:

mylektsii.su - Мои Лекции - 2015-2026 год. (1.093 сек.)Все материалы представленные на сайте исключительно с целью ознакомления читателями и не преследуют коммерческих целей или нарушение авторских прав Пожаловаться на материал