Студопедия

Главная страница Случайная страница

КАТЕГОРИИ:

АвтомобилиАстрономияБиологияГеографияДом и садДругие языкиДругоеИнформатикаИсторияКультураЛитератураЛогикаМатематикаМедицинаМеталлургияМеханикаОбразованиеОхрана трудаПедагогикаПолитикаПравоПсихологияРелигияРиторикаСоциологияСпортСтроительствоТехнологияТуризмФизикаФилософияФинансыХимияЧерчениеЭкологияЭкономикаЭлектроника






Фактичний товарооборот за звітний рік






Індекс цін

 

2. Аналіз відповідності фактичного обсягу товарообороту ку­півельним фондам населення. З цією метою виявляють зміну про­центного відношення роздрібного товарообороту без продажу за безготівковим розрахунком товарів організаціям і установам (дріб­ний гурт) до облікованих грошових доходів населення, яке обслу­говується. Якщо у зоні діяльності кооперативної організації склада­ється баланс грошових доходів і видатків населення, то в ході аналізу товарообороту слід використати дані про купівельні фонди, які являють собою частину грошових доходів населення, що вико­ристовуються для купівлі товарів. У процесі аналізу розраховують середній товарооборот і грошові доходи, або купівельні фонди на душу населення за попередній і звітний роки. На основі вивчення цих показників у динаміці роблять висновки про ступінь охоплення товарооборотом грошових доходів населення. Ріст відсотка охоп­лення грошових доходів населення товарооборотом свідчить про краще задоволення потреб населення в товарах. І навпаки — значне відставання товарообороту від темпів росту доходів населення мо­же свідчити про недоліки в організації торгівлі.

3. Оцінка ролі торговельного підприємства чи об'єднання в за- гальнорайонному (міському) товарообороті. Для цього використо­вують дані, які характеризують розвиток мережі підприємств торгі­влі і ресторанного господарства, обсяг, динаміку і структуру роздрібного товарообороту всіх торговельних систем району чи мі­ста. Визначають питому вагу райспоживспілки чи споживчого то­вариства у загальному обсязі роздрібного товарообороту району. При цьому береться до уваги роздрібний товарооборот всіх торго­вельних систем, включаючи і приватні магазини. У ході аналізу ці показники вивчають у динаміці за ряд років. Якщо спостерігається зниження участі споживчої кооперації в загальнорайонному това­рообороті, то це оцінюється як негативне явище. Хоча слід відміти­ти, що на початковому етапі процесу приватизації і виникнення но­вих торговельних систем різних форм власності це до певної міри об'єктивний процес.

4. Аналіз виконання плану товарообороту магазинами й іншими структурними підрозділами. На практиці частими є випадки, коли перевиконання плану товарообороту загалом по торговельному підприємству чи об'єднанню супроводжується значним недовико­нанням плану в окремих магазинах. Нерідко за середніми даними по торговельному підприємству приховується незадовільна робота окремих його підрозділів, які систематично не виконують план роздрібного товарообороту. Тому, аналізуючи загальний обсяг роз­дрібного товарообороту торговельного підприємства (об'єднання), значну увагу приділяють оцінці виконання плану товарообороту всіма його структурними підрозділами і їх вкладу в оборот підпри­ємства загалом.

У райспоживспілці розглядають виконання плану і динаміку то­варообороту у розрізі споживчих товариств і самостійних підпри­ємств (коопунівермаг, кооппродторг та ін.); в районному спожив­чому товаристві у розрізі роздрібних торговельних підприємств (об'єднань). При цьому для аналізу використовуються дані про роздрібний товарооборот торговельної мережі без ресторанного го­сподарства, оборот якого аналізують окремо.

У процесі аналізу складають аналітичні таблиці, в яких приво­дять результати розрахунків виконання плану товарообороту за структурними підрозділами, а також показники динаміки товаро­обороту у порівнянних цінах. На основі таких таблиць, складених за квартал, півріччя, 9 місяців чи рік, роблять висновки про те, які підрозділи найкраще справилися зі своїми завданнями і забезпечи­ли ріст товарообороту. Особливу увагу приділяють підрозділам, які не справились з виконанням плану і допустили зменшення обсягу товарообороту порівняно з відповідним періодом попереднього року.

Причини незадовільної роботи окремих споживчих товариств чи підприємств можна виявити лише на основі глибокого вивчення господарської діяльності кожного з них. У споживчому товаристві, універмазі чи іншому підприємстві аналізують виконання плану товарообороту у розрізі магазинів, їх секцій, бригад. Для цього групують магазини за рівнем виконання ними плану товарообороту у звітному періоді.

Невиконання планів товарообороту в окремих населених пунк­тах, зменшення його обсягу порівняно з попереднім роком в порів­нянних цінах вимагає серйозного вивчення причин цього явища з метою покращення торговельного обслуговування. Це має особливо важливе значення в умовах виникнення в цих населених пунктах но­вих магазинів інших торговельних систем і посилення конкуренції.

У процесі аналізу виконання плану загального обсягу товаро­обороту в першу чергу звертають увагу на магазини, які регулярно не справляються з плановими завданнями. Таке явище найчастіше спостерігається тоді, коли торговельні підприємства потребують покращення постачання, кадрових змін, ремонту, розширення площ, вдосконалення графіків роботи тощо.

На торговельних підприємствах, де виявлені значні недовико­нання плану товарообороту, додатково перевіряють обгрунтова­ність планів, їх відповідність паспортним даним магазинів і конк­ретним умовам діяльності.

5. Аналіз динаміки товарообороту за ряд років і виконання пла­ну по кварталах та місяцях. Цей напрямок в аналізі загального об­сягу роздрібного товарообороту торговельного підприємства чи об'єднання дозволяє виявити закономірності і основні тенденції його розвитку, перевірити обгрунтованість перспективних і поточ­них планів.

При вивченні динаміки товарообороту дані необхідно привести в порівнянний вигляд. Для того слід врахувати організаційні зміни в торговельній мережі, якщо вони мали місце у періоді, який вивча­ється, а також зміну цін.

Наприклад, якщо у звітному періоді з метою укрупнення об'єднались два споживчі товариства в одне, то при вивченні дина­міки товарообороту необхідно товарооборот цих споживчих това­риств за попередні періоди також встановлювати разом.

Для перерахунку товарообороту звітного періоду в ціни базис­ного періоду використовують індекси цін, які визначаються орга­нами Держкомстату України. Весь товарооборот по всіх товарах перераховується з використанням загального індексу цін. По окре­мих групах товарів перерахунок у порівнянні ціни роблять за до­помогою індивідуальних індексів цін.

Для характеристики динаміки товарообороту, крім індексів його фізичного обсягу, розраховують наступні показники: темп росту; абсолютний приріст; темп приросту і абсолютне значення одного проценту приросту. Ці показники розраховують як базисним, так і ланцюговим способами.

Для розрахунку базисних показників темпів росту всі показники динамічного ряду ділять на товарооборот базисного періоду, який приймають за 100 %. При розрахунку ланцюгових показників тем­пів росту товарооборот кожного наступного періоду порівнюють з попереднім.

Базисним і ланцюговим способом розраховують також абсолю­тний приріст товарообороту як різницю абсолютних рівнів динамі­чного ряду.

Відносну оцінку абсолютного приросту товарообороту порівня­но з початковим рівнем дають показники темпу приросту. їх розра­ховують шляхом ділення абсолютного приросту, помноженого на 100, на величину базисного рівня або рівня попереднього періоду.

Визначають також абсолютне значення 1 % приросту як відно­шення абсолютного приросту до темпу приросту у відсотках.

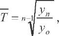
Крім розглянутих показників, в процесі аналізу динамічних ря­дів розраховують також середньорічні темпи зміни товарообороту

(Т) за формулою середньої геометричної для абсолютних рівнів ряду динаміки:

де уп — кінцевий рівень ряду динаміки; у0 — початковий рівень ряду динаміки;

п — число періодів в інтервалі (відрізку) часу, що вивчається.

Динаміку товарообороту показують з допомогою графіків, які допомагають більш наочно побачити основні тенденції його зміни.

Для вивчення закономірностей розвитку товарообороту можуть використовуватись математико-статистичні методи, які дають мо­жливість визначити загальну тенденцію його розвитку у вигляді плавної зміни рівнів динамічного ряду. З цією метою найчастіше використовують метод аналітичного вирівнювання.

6. Підсумкова оцінка стану загального обсягу товарообороту торговельного підприємства (об'єднання). На цьому етапі узагальнюють результати аналізу, одержані на попередиіх його етапах з метою одержання більш загальної картини стану явища, що вивча­ється. Для цього систематизують позитивні і негативні моменти виконання плану і динаміки загального обсягу товарообороту торговельного підприємства.

Проведений аналіз загального обсягу роздрібного товарооборо­ту показує:

Позитивні моменти:

1. Забезпечено виконання річного товарообороту.

2. Досягнуто зростання обсягу товарообороту до попереднього року.

3. Зріс процент охоплення товарооборотом грошових доходів населення.

4. Більш високими темпами розвивався роздрібний товарооборот споживчого товариства порівняно з оборотом системи райспоживспілки в цілому і загальнорайонним товарооборотом.

5. Була досягнута стійка динаміка товарообороту по кварталах звітного року.

6. Починаючи з базисного року спостерігалась тенденція стійкого зростання товарообороту торговельної мережі по роках.

 

Негативні моменти:

1. Допущено недовиконання плану товарообороту в першому кварталі, а також в окремі місяці четвертого кварталу.

2. Знизився обсяг дрібнооптового обороту.

3. Не всі магазини справились з виконанням річного плану товарообороту.

 

Позитивні моменти як за їх кількістю, так і вагомістю значно переважають над негативними. Крім цього, негативні моменти в основному пов'язані з ритмічністю і рівномірністю виконання планів, які мають індикативний характер.

Одержані результати позитивно характеризують розвиток зага­льного обсягу роздрібного товарообороту і свідчать про ріст діло­вої активності споживчого товариства.

Під ритмічністю роботи торговельного підприємства розуміють виконання плану товарообороту по періодах (кварталах, місяцях, декадах). Ритмічна робота магазинів — одна із умов раціональної організації торгівлі. Забезпечення такої роботи є комплексним завданням, яке охоплює всі сторони торговельно-виробиичого проце­су. Ритмічність роботи залежить ие тільки від зусиль торговельно-оперативного персоналу, але й допоміжних та обслуговуючих працівників. Воиа вимагає иалежного рівия організації торговельного менеджменту, ефективної роботи всіх управлінських структур під­приємства, а особливо тих, які забезпечують оперативне управління торговельно-виробничими процесами.

Ритмічність роботи характеризує організаційно-технічний рівень підприємства і в значній мірі визначає економічні показники господарської діяльності.

В процесі аналізу загального обсягу товарообороту ритмічність виконання плану вивчають як в цілому по споживчому товариству чи іншому підприємству, так і ритмічність роботи окремих магазинів, секцій, бригад.

Аналіз товарної структури роздрібного товарообороту

Роздрібний товарооборот формується як результат великої кіль­кості окремих актів купівлі-продажу різноманітних за споживчими властивостями і призначенням товарів. Тому він характеризується не тільки загальним обсягом (сумою реалізації товарів), але і това­рною структурою, тобто співвідношенням окремих товарів (товар­них груп) в загальному обсязі товарообороту.

Реалізація товарів кожної товарної групи має свої особливості. Во­на відрізняється як за трудомісткістю, так і витратомісткістю. Від змін у структурі товарообороту залежать кількісні і якісні показники робо­ти торговельних підприємств — швидкість обертання товарів, продук­тивність праці, рівень витрат обігу, рівень валового доходу і ін.

Аналіз роздрібного товарообороту за асортиментом товарів проводять за перший квартал, півріччя, 9 місяців і рік. В процесі аналізу необхідно:

· дати оцінку виконання плану і динаміки товарообороту по окремих товарних групах;

· виявити кількісні і якісні зміни, які відбулись у структурі роздрібного товарообороту;

· вивчити динаміку реалізації основних груп товарів на душу населення;

· оцінити досягнутий рівень реалізації товарів на душу насе­лення порівняно з іншими підприємствами чи об'єднаннями;

· виявити позитивні сторони і недоліки в організації торгівлі і вивченні попиту населення на товари.

За результатами аналізу повинна бути дана оцінка змін у попиті споживачів, розкриті недоліки в торговельному обслуговуванні на­селення з метою вживання своєчасних заходів для його покращення.

Для аналізу асортименту і структури товарообороту використо­вують наступні матеріали: статистичну звітність — ф. № 3-торг «Звіт про продаж і запаси товарів у торговельній мережі та мережі ресторанного господарства»; план роздрібного товарообороту в асортименті і його товарне забезпечення; акти інвентаризації това­рів; первинну документацію про рух товарів; дані оперативного об­ліку руху товарів; матеріали перевірок наявності асортиментного мінімуму в магазинах; дані вивчення попиту населення на товари і ін.

Основним джерелом інформації про товарну структуру товарооборо­ту є форма статзвітності № 3-торг. Однак у цій формі продаж товарів у роздріб показується разом із іншими недокументованими витратами, які включають ще невиявлені природні і інші втрати товарів, в тому числі розтрати і нестачі. Інші недокументовані витрати визначають як різницю між загальною сумою вибуття товарів згідно з даними форми № 3-торг і фактичним обсягом роздрібного товарообороту. Якщо сума цих витрат значна, для визначення роздрібного товарообороту по кожній товарній групі необхідно вибуття товарів скоригувати на наявні недокументовані витрати. Для цього попередньо розраховують коефіцієнт, який характе­ризує відношення товарообороту до загальної суми вибуття товарів у роздрібній торговельній мережі. Він показує питому вагу роздрібної реа­лізації в загальному обсязі вибуття товарів. З його допомогою розрахо­вують роздрібний товарооборот по групах товарів множенням цього ко­ефіцієнта на суми вибуття товарів по кожній товарній групі.

Якщо сума інших недокументованих витрат незначна, що має місце у нашому прикладі, ці розрахунки не проводяться.

Використовуючи дані про роздрібну реалізацію товарів по това­рних групах, дають оцінку виконання плану і динамічних змін то­варообороту по кожній з товарних груп, а також змін у структурі товарообороту порівняно з базисним періодом і планом.

Слід відмітити, що невиконання плану реалізації товарів по тій чи іншій товарній групі за умови його обгрунтованості, а також зниження фактичних темпів росту проти планових може свідчити про незадові­льний стан торгівлі цими товарами. На основі оперативних даних не­обхідно виявити конкретні причини цього невиконання.

Найчастіше такими причинами є: недотримання визначеного асортиментного мінімуму; перебої в завозі товарів; невідповідність товарів, які завозяться в магазини, попиту покупців і ін.

Слід не тільки проводити аналіз роздрібного товарообороту по товарних групах, показаних у статистичній звітності, але і вивчати стан торгівлі окремими товарами. Належна увага повинна приділя­тись також вивченню внутрішньогрупових змін по товарах склад­ного асортименту, динаміці реалізації взаємозамінних товарів, впровадженню в товарооборот нових товарів. З цією метою вико­ристовують дані одночасного обліку реалізації окремих непродово­льчих товарів, інвентаризаційні описи, кон'юнктурні огляди, мате­ріали виробничих нарад працівників магазинів, конференцій покупців, матеріали про дотримання асортиментного мінімуму та ін.

Щоб оцінити досягнутий рівень задоволення попиту населення, проводять аналіз реалізації окремих товарів і товарних груп на ду­шу населення, яке проживає в зоні діяльності споживчого товарис­тва чи іншого торговельного підприємства.

Під час аналізу особливу увагу звертають на факти зменшення реалізації окремих груп товарів на душу населення порівняно з по­переднім роком, а також на зниження обсягів реалізації окремих товарів до відповідних періодів попереднього року. Все це може свідчити не тільки про негативний вплив зовнішніх соціально- економічних факторів (розвиток суспільного виробництва, динамі­ка доходів і купівельних фондів населення та ін.), але і факторів, залежних від рівня організації торгівлі окремими групами товарів. Тому під час аналізу необхідно дати оцінку стану торгівлі цими то­варами, що потребує вивчення безперебійності торгівлі ними, стану запасів, задоволення заявок торговельної мережі на ці товари, об­грунтованості і своєчасності подання заявок.

Сільське населення значну кількість товарів купує в міських магазинах. Тому, даючи оцінку товарообороту на душу населен­ня, необхідно враховувати територіальне розміщення торговель­них підприємств, відстань їх від міст, мотиви виїзду за покуп­ками.

Аналіз реалізації товарів на душу населення проводиться також по системі райспоживспілки і в облспоживспілках. Порівняльний аналіз коливань обсягів реалізації окремих груп товарів на душу населення в споживчих товариствах чи інших ланках системи спо­живчої кооперації дозволяє дати оцінку рівня організації торгівлі окремими групами товарів, розкрити причини недостатнього задо­волення попиту населення, виявити можливості росту товарообо­роту.

Керівники торговельних підприємств повинні систематично здійснювати контроль ходу виконання плану товарообороту за асо­ртиментом, виявляти причини відхилень і вживати оперативні за­ходи для усунення недоліків і покращення торгівлі окремими това­рами. Важливо також вести систематичні спостереження за попи­том покупців. Для цього в магазинах слід використовувати журна­ли оперативного обліку попиту, в яких систематично записувати зауваження і побажання покупців, відмічати незадоволений попит на окремі товари і вносити інші зауваження. Це дозволяє постійно проводити спостереження за попитом на окремі товари і в процесі формування заявок на товари враховувати незадоволений попит, а також попит, який формується.

Оперативний аналіз роздрібного товарообороту

Торгівля за своєю сутністю є дуже динамічною галуззю. Тому оперативність аналізу процесів, що в ній відбуваються, є життєво необхідною для ефективного управління. Оперативний аналіз слу­жить для своєрідної профілактики помилок і своєчасного коригу­вання поточних управлінських рішень, що дозволяє забезпечити ритмічність виконання плану товарообороту, покращити показники роботи магазинів.

Оперативний аналіз роздрібного товарообороту проводиться у всіх ланках управління кооперативною торгівлею: магазинах, спо­живчих товариствах, споживспілках. Найбільш ефективним він є в низових ланках, які безпосередньо впливають на хід торговельно- виробничих процесів.

Для забезпечення щоденного контролю за ходом виконання плану товарообороту в магазинах ведуть спеціальні відомості, які ще називають графіками виконання плану товарообороту. В цих графіках за кожен робочий день наростаючим підсумком з початку місяця показують плановий і фактичний товарооборот, а також від­хилення від плану (+, -). Одноденний плановий товарооборот роз­раховують діленням місячного чи квартального плану на число ро­бочих днів в періоді. Фактичний обсяг роздрібного товарообороту за робочий день (зміну) визначають за грошовою виручкою від ре­алізації товарів і сумами продажу товарів в кредит, дрібним гуртом, які показані у документах на їх фактичний відпуск. Такі графіки виконання плану товарообороту дають можливість керівникам під­приємств щоденно стежити за реалізацією товарів і здачею виторгу, контролювати ритмічність виконання плану, виявляти причини від­ставання від плану, якщо вони допущені.

Щоб з'ясувати причини негативних відхилень фактичного това­рообороту магазину від розрахунково-планових показників за день, тиждень, декаду чи місяць, необхідно комплексно аналізувати хід торговельно-виробничих процесів від надходження товарів до здачі виторгу. І, насамперед, слід оперативно контролювати стан товар­них запасів, зміни в їх обсязі і структурі, відповідність попиту по­купців, процес поповнення запасів.

Такий комплексний оперативний аналіз торговельних процесів частіше всього проводять за сім днів чи інший період, за який мага­зини (секції, бригади) складають товарно-грошові звіти. Приймаю­чи такий звіт від завідуючого магазином чи іншої матеріально від­повідальної особи, бухгалтер повинен перевірити повноту і своє­часність здачі виторгу, дотримання ліміту товарних залишків, своє­часність відвантаження тари тощо. На ці моменти звертає увагу і голова правління споживчого товариства (керівник підприємства) або його заступник, затверджуючи звіти матеріально відповідаль­них осіб. Це затвердження проводиться при наявності письмового висновку бухгалтерії щодо звіту, в якому містяться зауваження і пропозиції, спрямовані на покращення роботи магазину.

Крім товарно-грошових звітів, для оперативного аналізу і конт­ролю використовують матеріали інвентаризацій, різноманітних пе­ревірок стану торгівлі, вивчення попиту на товари тощо.

Оперативний аналіз товарообороту на торговельному підприєм­стві не повинен обмежуватись тільки процесом приймання і оброб­ки товарно-грошових звітів. Він має бути поставленим на більш си­стемну основу з метою постійного і безперервного контролю як за виконанням плану товарообороту, так і за своєчасністю та повно­тою здачі виторгу, виконанням графіку надходження товарів в окремі торговельні підприємства, станом товарних запасів, а також для профілактики можливих нестач і визначення об'єктів для пер­шочергового проведення інвентаризацій.

Такий комплексний оперативний аналіз повинен проводитись економістами споживчих товариств і іншими спеціалістами на ос­нові інформації з товарно-грошових звітів за кожен тиждень по ко­жному магазину і в цілому по торговельній мережі. Для цього в споживчих товариствах чи на інших підприємствах доцільно скла­дати спеціальні таблиці (відомості), які містять інформацію про хід виконання плану роздрібного товарообороту, інші документовані витрати, надходження товарів, стан товарних запасів у кожному з магазинів і в цілому по торговельній мережі споживчого товарист­ва. В цих таблицях магазини групують по населених пунктах, з підбиттям проміжних підсумків по кожному з них. Такі аналітичні таблиці складають за кожен тиждень, наростаючим підсумком з початку місяця.

Конкретні причини невиконання плану товарообороту окреми­ми магазинами, негативні зміни в стані товарних запасів за тиж­день, а також інші питання, що виникають в процесі оперативного аналізу, виясняють за даними первинних документів, доданих до товарно-грошових звітів, а також з усної інформації керівників ма­газинів. При необхідності перевіряють стан торговельно-виробни­чих процесів безпосередньо в магазинах.

Матеріали оперативного аналізу використовуються керівницт­вом і спеціалістами підприємств для прийняття оперативних захо­дів з метою усунення виявлених недоліків у роботі окремих мага­зинів чи інших одиниць торговельної мережі і забезпечення виконання плану товарообороту.

Слід відзначати, що такий щотижневий оперативний аналіз то­варообороту кожного магазину у споживчих товариствах чи інших торговельних підприємствах, які можуть мати декілька десятків ма­газинів, є трудомістким. Тому він не знайшов широкого втілення в практиці аналітичної роботи. Ситуація змінюється в умовах авто­матизації обробки товарно-грошових звітів з використанням ПК. Вона дає можливість при одноразовому введенні інформації одер­жати не тільки відповідні облікові дані про рух товарів і товаро­оборот, але і оперативну аналітичну інформацію про виконання плану товарообороту магазинами, стан інших показників їх діяль­ності. Це дає можливість оперативніше виявляти негативні відхи­лення в ході торговельних процесів і своєчасно приймати необхідні заходи, спрямовані на покращення роботи магазинів та інших оди­ниць торговельної мережі.

3. Розрахунок впливу факторів на товарооборот

У новій економічній ситуації, яка характеризується посиленням конкуренції, забезпечення динамічного розвитку підприємств тор­гівлі вимагає більш глибокого аналізу зовнішніх (екзогенних) фак­торів формування роздрібного товарообороту, роль яких зростає. Ці фактори не залежать від зусиль підприємств, а виражають стан середовища їх функціонування, яке постійно змінюється.

Показником, який в грошовому виразі найбільш повно відобра­жає платоспроможний купівельний попит населення, є його купіве­льні фонди. Вони являють собою частину грошових доходів насе­лення, призначену для придбання товарів. їх формування порівняно з платоспроможним купівельним попитом має свої особливості. У процесі формування купівельного фонду населення задіяні не всі фактори, що впливають на платоспроможний попит. Так, купівель­ні фонди безпосередньо не залежать від зміни роздрібних цін на товари в торговельній мережі. Тоді як купівельний платоспромож­ний попит від них залежить.

Досягнутий рівень задоволення купівельного платоспроможно­го попиту населення знаходить відображення в проценті охоплення товарооборотом (без дрібного опту) купівельних фондів і в серед­ньому товарообороті на одного жителя. Якщо платоспроможний попит повною мірою не задовольняється, то частина купівельного фонду не охоплюється товарооборотом торговельних підприємств. Це може свідчити про наявність незадоволеного попиту і невико­ристаних можливостей зростання товарообороту.

За сучасних умов поряд із підприємствами споживчої коопера­ції продаж продовольчих і непродовольчих товарів у сільській міс­цевості здійснюють підприємства агропромислового комплексу, приватна мережа підприємств торгівлі і ресторанного господарства, фірмові магазини промислових підприємств, аптечна мережа і ін. Тому частина купівельних фондів населення охоплюється товаро­оборотом цих торговельних систем. Ступінь цього охоплення за­лежить від рівня конкуренції.

Вплив конкуренції на товарооборот торговельного підприємства виражається насамперед через охоплення конкурентами частини купівельного фонду населення у районі їх діяльності. А це обмежує можливості зростання товарообороту підприємств, які обслугову­ють цей же контингент населення.

Купівельні фонди визначають у процесі складання балансів грошових доходів і видатків населення. Величину купівельних фо­ндів населення, яке обслуговується торговельними підприємствами споживчої кооперації району, визначають як різницю між розрахо­ваними в балансі купівельними фондами і обсягом товарообороту інших торговельних систем[1]. Якщо відсутні дані про купівельні фонди, то для розрахунку впливу на товарооборот факторів, пов'язаних із платоспроможним попитом, використовують показ­ник грошових доходів населення.

Обсяг роздрібного товарообороту перебуває в прямій залежності від кількості обслуговуваного населення і рівня індивідуального спо­живання товарів, яке залежить від купівельної спроможності. Щоб відповісти на питання, якою мірою приріст товарообороту забезпечу­вався зростанням чисельності населення, а якою — зміною індивідуа­льного товарного споживання, можна використати таку залежність:

О = N х С,

де О — обсяг роздрібного товарообороту (без дрібного опту);

N — чисельність населення, що обслуговується;

С — середньодушовий товарооборот у фактично діючих цінах.

Ця залежність показує, що можна вести мову про інтенсивний і екстенсивний розвиток товарообороту. Під першим розуміють збі­льшення товарообороту за рахунок зростання індивідуального рів­ня товарного споживання, а під другим — зростання товарообороту під впливом збільшення чисельності населення, що обслуговується.

Вплив кількості проданих товарів на обсяг товарообороту визначається за формулою:

 


Поделиться с друзьями:

mylektsii.su - Мои Лекции - 2015-2026 год. (1.768 сек.)Все материалы представленные на сайте исключительно с целью ознакомления читателями и не преследуют коммерческих целей или нарушение авторских прав Пожаловаться на материал