Студопедия

Главная страница Случайная страница

КАТЕГОРИИ:

АвтомобилиАстрономияБиологияГеографияДом и садДругие языкиДругоеИнформатикаИсторияКультураЛитератураЛогикаМатематикаМедицинаМеталлургияМеханикаОбразованиеОхрана трудаПедагогикаПолитикаПравоПсихологияРелигияРиторикаСоциологияСпортСтроительствоТехнологияТуризмФизикаФилософияФинансыХимияЧерчениеЭкологияЭкономикаЭлектроника






Методика розрахунку. Параметри навколишнього середовища P, [МПа], Т,[К].






Параметри навколишнього середовища P, [МПа], Т, [К].

 

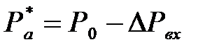
3.1.1 Тиск загальмованого потоку на вході у вхідний пристрій

 

, МПа

 

де МПа - опір повітряного фільтру.

 

3.1.2 Температура загальмованого потоку на вході

 

, К

 

3.1.3 Швидкість потоку на вході

 

, м/с

 

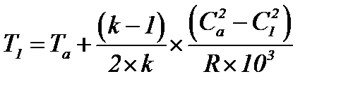
3.1.4 Температура повітря на вході

, К

 

де k - показник адіабати повітря, k = 1, 4.

 

3.1.5 Тиск і щільність повітря

 

, МПа

 

, кг/м

 

 

3.1.6 Площа вхідного перетину вхідного патрубка

 

, м3

Діаметр , мм

 

 

3.1.7 Площа перетину на вході в колесо

, м2

 

 

3.1.8 Швидкість повітря на вході в робоче колесо

 

, м/с

 

 

Оскільки щільність невідома, в першому наближенні приймемо .

 

3.1.9 Температура на вході в робоче колесо

, 0К

 

 

3.1.10 Втрати у вхідному патрубку

, Дж/кг,

 

де - коефіцієнт втрат вхідного патрубка

 

- для осьового;

- для криволінійного.

 

3.1.11 Показник політропи повітря у вхідному патрубку

 

 

 

3.1.12 Тиск на вході в колесо

 

, МПа

 

3.1.13 Щільність повітря

 

, кг/м3

Визначуваний відсоток помилки при допущенні , по формулі

 

Якщо помилка перевищує 5%, розрахунок з п.3.1.8. слід повторити з новим значенням щільності .

 

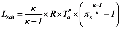
3.1.14 Адіабатна робота стиснення в компресорі

 

, кДж/кг

 

 

3.1.15 Окружна швидкість колеса на зовнішньому діаметрі

 

, м/с

 

 

де - напірний ККД залежить в основному від діаметру колеса D2, =(1, 15 1, 35) - для компресора з безлопатковим дифузором, =(1, 30 1, 45) - з лопатковим дифузором.

 

У сучасних компресорах u2 повинна бути 450 м/с.

 

 

3.1.16 Коефіцієнт витрати компресора

 

 

Оптимальне значення = 0, 20, 35, якщо значення відрізняється від оптимального, необхідно змінити швидкість або .

 

3.1.17 Основні розміри колеса

 

Діаметр втулки

 

, мм

 

Діаметр колеса на вході

 

, мм

 

Розрахунок параметрів проводити на середньому діаметри колеса. Для виконаних коліс:

 

, мм

 

Середній діаметр на вході в колесо

 

, мм.

 

Кількість лопаток

 


Поделиться с друзьями:

mylektsii.su - Мои Лекции - 2015-2026 год. (1.371 сек.)Все материалы представленные на сайте исключительно с целью ознакомления читателями и не преследуют коммерческих целей или нарушение авторских прав Пожаловаться на материал