Студопедия

Главная страница Случайная страница

КАТЕГОРИИ:

АвтомобилиАстрономияБиологияГеографияДом и садДругие языкиДругоеИнформатикаИсторияКультураЛитератураЛогикаМатематикаМедицинаМеталлургияМеханикаОбразованиеОхрана трудаПедагогикаПолитикаПравоПсихологияРелигияРиторикаСоциологияСпортСтроительствоТехнологияТуризмФизикаФилософияФинансыХимияЧерчениеЭкологияЭкономикаЭлектроника






Кут виходу потоку з соплового апарату






 

 

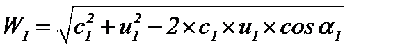
4.1.19 Відносна швидкість газу на вході в колесо

 

, м/с

 

 

4.1.20 Адіабатична робота розширення газу в робочому колесі

 

, кДж/кг

 

 

4.1.21 Відносна швидкість на виході з робочого колеса

 

, м/с

 

де - коефіцієнт швидкості, що враховує втрати в робочому колесі,

, м

 

4.1.22 Окружна швидкість на середньому діаметрі

 

Для осьових турбін , так як и

 

4.1.23 Температура газу на виході з робочого колеса

 

, 0К

 

4.1.24 Температура газу на виході з робочого колеса

 

, 0К

 

 

4.1.25 Визначаємо число Маха у відносному русі

 

 

Величина повинна бути менше 0, 85.

 

4.1.26 Щільність газу на виході з колеса

 

, кг/м3

 

4.1.27 Площа перетину на виході з робочого колеса

 

, м2

 

Для осьових турбін , висота лопатки робочого колеса

 

 

4.1.28 Кут виходу потоку з робочого колеса у відносному русі

 

 

 

4.1.29 Витік газу по радіальному зазору

 

, кг/с,

 

де - висота лопатки на виході з колеса, , м; - радіальний зазор, , мм.

 

Для осьових турбін

 

, кг/с,

 

 


Поделиться с друзьями:

mylektsii.su - Мои Лекции - 2015-2026 год. (1.199 сек.)Все материалы представленные на сайте исключительно с целью ознакомления читателями и не преследуют коммерческих целей или нарушение авторских прав Пожаловаться на материал