Студопедия

Главная страница Случайная страница

КАТЕГОРИИ:

АвтомобилиАстрономияБиологияГеографияДом и садДругие языкиДругоеИнформатикаИсторияКультураЛитератураЛогикаМатематикаМедицинаМеталлургияМеханикаОбразованиеОхрана трудаПедагогикаПолитикаПравоПсихологияРелигияРиторикаСоциологияСпортСтроительствоТехнологияТуризмФизикаФилософияФинансыХимияЧерчениеЭкологияЭкономикаЭлектроника






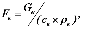
Площа перетину виходу з равлика






 

м2

 

 

3.1.62 Дійсний ступінь підвищення тиску в компресорі

 

 

 

3.1.63 Дійсна адіабатна робота стиснення

кДж/кг

 

 

3.1.64 Напірний ККД

 

 

- на початку розрахунку був прийнятий. Якщо помилка більше 10%, необхідно провести розрахунок компресора з новим значенням або змінити величину втрат в елементах компресора.

 

3.1.65 Адіабатний ККД компресора

 

 

Значення повинне бути не менше 0, 70. Якщо умова по ККД не виконуються, необхідно повторити розрахунок компресора, зменшив втрати в проточній частині.

 

3.1.66 Потужність, що витрачається на привід компресора

 

кВт

 

 

РОЗДІЛ 4

 

РОЗРАХУНОК ТУРБІНИ

 

4.1 Методика розрахунку турбіни

4.1.1 Геометричні розміри турбіни

Для радіально - осьових турбін діаметр колеса турбіни мм. Для осьової турбіни мм. Вхідний діаметр соплового апарату мм. Вихідний діаметр соплового апарату мм. Втулковий діаметр колеса мм. Зовнішній діаметр колеса турбіни на виході мм. Кут виходу потоку з соплового апарату .

 

4.1.2 Необхідна адіабатна робота турбіни

кДж/кг,

 

 

де - ККД турбіни

 

 

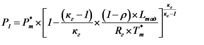
4.1.3 Явище газу перед турбіни

 

, МПа

 

де - тиск за турбіною

Для забезпечення продування необхідно, щоб .

Вибираємо ступені реактивності робочого колеса , для доцентрових турбін . Для осьових турбін .

 

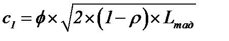
4.1.4 Швидкість газу на виході з соплового апарату

 

, м/с,

 

де - швидкісний коефіцієнт, що враховує втрати в сопловому апараті, .

 

4.1.5 Тиск газу на вході в колесо

, МПа

 

Основні геометричні розміри турбіни показано на рисунку 4.1.

 
Рисунок 4.1 - Ескіз проточної частини турбіни а – осьова турбіна; б – радіально осьова турбіна

4.1.6 Температура газу на вході в колесо

, 0К.

 

4.1.7 Число Маха на виході соплового апарату

 

 

 

Число Маха повинне бути менше одиниці.

 

4.1.8 Щільність газу на виході з соплового апарату

 

, кг/м3.

 

 

4.1.9 Адіабатна швидкість витікання

, м/с.

 

Визначаємо відношення . Оптимальне значення , при відхиленні від даних значень, необхідно перейти на інший типорозмір турбокомпресора.

 

4.1.10 Радіальна складова абсолютної швидкості перед робочим колесом

, м/с

 

4.1.11 Окружна складова абсолютної швидкості

, м/с

 

 

4.1.12 Окружна швидкість робочого колеса

 

 

, м/с

 

 

4.1.13 Висота лопаток на вході в колесо (ширина проточної частини)

, м

 

Зазвичай

 


Поделиться с друзьями:

mylektsii.su - Мои Лекции - 2015-2026 год. (0.474 сек.)Все материалы представленные на сайте исключительно с целью ознакомления читателями и не преследуют коммерческих целей или нарушение авторских прав Пожаловаться на материал