Студопедия

Главная страница Случайная страница

КАТЕГОРИИ:

АвтомобилиАстрономияБиологияГеографияДом и садДругие языкиДругоеИнформатикаИсторияКультураЛитератураЛогикаМатематикаМедицинаМеталлургияМеханикаОбразованиеОхрана трудаПедагогикаПолитикаПравоПсихологияРелигияРиторикаСоциологияСпортСтроительствоТехнологияТуризмФизикаФилософияФинансыХимияЧерчениеЭкологияЭкономикаЭлектроника






Кут установки лопатки






 

де - кут атаки, = 2 30;

 

Оптимальне значення кута , при відмінності кута від оптимального, розрахунок необхідно уточнити за рахунок зміни швидкості або .

 

3.1.23 Відносна швидкість входу потоку

 

, м/с.

3.1.24 Число Махна на діаметрі D1 у відносному русі

 

де , м/с

 

Щоб уникнути значного зменшення ККД має бути < 0, 95, інакше необхідно змінити значення швидкостей u1 або с1m.

3.1.25 Втрати на вході в колесо

, Дж/кг,

 

де - коефіцієнт втрат, .

 

3.1.26 Втрати на поворот потоку і тертя в між лопаткових каналах робочого колеса

, Дж/кг,

 

де - коефіцієнт втрат,

Радіальна складова абсолютна швидкість на вході з колеса .

 

 

3.1.27 Втрати на тертя диска колеса об повітря і вентиляцію

, Дж/кг,

 

 

де - коефіцієнт дискових втрат,

 

 

3.1.28 Коефіцієнт зменшення теоретичного натиску

 

 

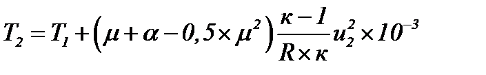
3.1.29 Температура повітря за колесом

 

, К

 

3.1.30 Показник політропи стиснення повітря в колесі

 

 

 

3.1.31 Тиск на виході з колеса

, Мапа

 

3.1.32 Щільність повітря

 

, кг/м3

 

3.1.33 Окружна складова абсолютної швидкості на вході

 

, м/с

 

3.1.34 Абсолютна швидкість на виході з колеса

 

, м/с

 

3.1.35 Окружна складова відносної швидкості на виході

 

, м/с

 

3.1.36 Відносна швидкість на виході з колеса

 

, м/с

 

Радіальна складова відносної швидкості на виході .

 

3.1.37 Кут виходу потоку з колеса у відносному русі

 

 

3.1.38 Кут виходу потоку з колеса в абсолютному русі

 

 

Оптимальне значення кута , якщо ця умова не виконується необхідно змінити значення швидкостей с2r або с2u.

 

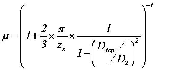
3.1.39 Ширина колеса на вході

 

, мм

 

де к 2 – коефіцієнт захаращування на виході, що враховує товщину лопаток .

Відношення повинне бути в межах .

 

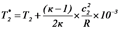
3.1.40 Температура загальмованого потоку на виході з колеса

, 0К

3.1.41 Геометричні розміри дифузорів

За узгодженням з керівником можна вибрати компресор з без лопатковим дифузором.

При використанні без лопаткового дифузора . У компресорах з лопатковим дифузором діаметр без лопаткової частини дифузора . Зовнішній діаметр лопаткової частини дифузора . Ширина без лопаткової частини дифузора . Ширина лопаткового дифузора .

 

3.1.42 Абсолютна швидкість на виході з без лопаткового дифузора в першому наближенні без урахування щільності

 

, м/с

 

 

3.1.43 Показник політропи стиснення

 

 

де - ККД без лопаткового дифузора, .

 

Температура на виході з без лопаткової частини дифузора

 

 

, 0К

 

 

3.1.44 Тиск на виході їх без частини лопатки дифузора

, Мапа

 

 

3.1.45 Щільність повітря

 

, кг/м3

 

3.1.46 Уточнене значення швидкості на виході з без лопаткового дифузора

, м/с

 

Відсоток помилки не повинен бути більше 5%, інакше с п. 3.1.42. необхідно провести перерахунок параметрів із значенням швидкості .

 

3.1.47 Кут лопатки дифузора на виході

 

,

 

де i3 - кут атаки, .

 

3.1.48 Кут лопатки дифузора на виході

 

,

 

де - кут вигину профілю лопатки, .

 

3.1.49 Кількість лопаток дифузора

 

, шт.

 

 

3.1.50 Швидкість на виході з частини лопатки дифузора в першому наближенні

 

, м/с,

 

де - коефіцієнт захаращування на вході і виході з дифузора .

 

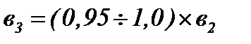
3.1.51 Показники політропи стиснення

,

 

де - ККД лопаточного дифузора, .

 

3.1.52 Температура на виході дифузора в першому наближенні

, 0К

 

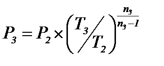
3.1.53 Тиск на виході

 

, МПа

 

3.1.54 Щільність на виході

, кг/м3

 

3.1.55 Швидкість на виході з дифузора

 

м/с.

 

Визначається % помилки , якщо відсоток помилки більше 5% необхідно розрахунок, повторити с п. 3.1.50. із значенням швидкості .

 

3.1.56 Швидкість на виході з равлика

 

 

3.1.57 Показник політропи стиснення

 

 

де - ККД равлика

 

3.1.58 Температура на виході

 

, 0К

 

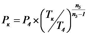
3.1.59 Тиск на виході

, МПа

 

Якщо набутого значення Pк менше потрібного, розрахунку необхідно уточнити до виконання умови.

 

3.1.60 Щільність повітря

, кг/м3

 

 


Поделиться с друзьями:

mylektsii.su - Мои Лекции - 2015-2026 год. (3.679 сек.)Все материалы представленные на сайте исключительно с целью ознакомления читателями и не преследуют коммерческих целей или нарушение авторских прав Пожаловаться на материал