Студопедия

Главная страница Случайная страница

КАТЕГОРИИ:

АвтомобилиАстрономияБиологияГеографияДом и садДругие языкиДругоеИнформатикаИсторияКультураЛитератураЛогикаМатематикаМедицинаМеталлургияМеханикаОбразованиеОхрана трудаПедагогикаПолитикаПравоПсихологияРелигияРиторикаСоциологияСпортСтроительствоТехнологияТуризмФизикаФилософияФинансыХимияЧерчениеЭкологияЭкономикаЭлектроника






Коэффициент полезного действия (КПД) тепловой машины






 

Цикл Карно́ — обратимый круговой процесс, в котором совершается превращение теплоты в работу (или работы в теплоту). Состоит из последовательно чередующихся двух изотермических и двухадиабатных процессов, где рабочее тело — идеальный газ. Впервые рассмотрен Н. Л. С. Карно (1824) в связи с определением КПДтепловых машин. Цикл Карно — самый эффективный цикл из всех возможных, он имеет максимальный КПД.

 

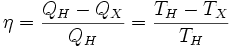
КПД цикла Карно:

Отсюда видно, что КПД цикла Карно с идеальным газом зависит только от температуры награвателя (Tн) и холодильника (Тх).

Из уравнения следуют выводы:

1. Для повышения КПД тепловой машины нужно увеличить температуру нагревателя и уменьшить температуру холодильника;

2. КПД тепловой машины всегда меньше 1.

Цикл Карно обратим, так как все его составные части являются равновесными процессами.

 

Вопрос 20:

Наиболее простым и качественно верно отображающим поведение реального газа, является уравнение Ван-дер-Ваальса

Уравнение состояния газа Ван-дер-Ваальса — уравнение, связывающее основныетермодинамические величины в модели газа Ван-дер-Ваальса.

Хотя модель идеального газа хорошо описывает поведение реальных газов при низких давленияхи высоких температурах, в других условиях её соответствие с опытом гораздо хуже. В частности, это проявляется в том, что реальные газы могут быть переведены в жидкое и даже в твёрдое состояние, а идеальные — не могут.

Термическим уравнением состояния (или, часто, просто уравнением состояния) называется связь между давлением, объёмом и температурой.

Для одного моля газа Ван-дер-Ваальса оно имеет вид:

где

· — давление,

· — молярный объём,

· — абсолютная температура,

· — универсальная газовая постоянная.

 


Поделиться с друзьями:

mylektsii.su - Мои Лекции - 2015-2026 год. (3.637 сек.)Все материалы представленные на сайте исключительно с целью ознакомления читателями и не преследуют коммерческих целей или нарушение авторских прав Пожаловаться на материал