Студопедия

Главная страница Случайная страница

КАТЕГОРИИ:

АвтомобилиАстрономияБиологияГеографияДом и садДругие языкиДругоеИнформатикаИсторияКультураЛитератураЛогикаМатематикаМедицинаМеталлургияМеханикаОбразованиеОхрана трудаПедагогикаПолитикаПравоПсихологияРелигияРиторикаСоциологияСпортСтроительствоТехнологияТуризмФизикаФилософияФинансыХимияЧерчениеЭкологияЭкономикаЭлектроника






Расчет высоты факельной трубы






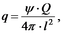
Интенсивность теплоизлучения пламени определяется уравнением

(3.9)

где Ψ - коэффициент светового излучения;

Q - количество тепла, выделяемого пламенем, МДж/ч;

l - расстояние от центра пламени, м, при котором интенсивность теплоизлучения снижается до безопасной величины q = 5 МДж/(м2∙ ч).

Коэффициент излучения Ψ выражается эмпирическим уравнением

(3.10)

где QH - низшая теплота сгорания факельного газа, МДж/м3, определяемая по формуле

где М - молекулярная масса газа.

Для газовых смесей

где y - мольная доля компонента i в смеси;

QH i - низшая теплота сгорания компонента.

Количество тепла, выделяемого пламенем

(3.11)

где GФГ - расход факельного газа, м3/ч;

QH - низшая теплота сгорания факельного газа, МДж/м3.

Максимальную интенсивность теплоизлучения qМопределяют по формуле

(3.12)

где l1 - расстояние от центра пламени до основания факельной трубы, м, (рис.3.1), равное

(3.13)

где Н - высота факельной трубы, м.

Подставляя формулу (3.13) в формулу (3.12) и решая уравнение относительно Н, получим

(3.14)

Высота факельной трубы должна обеспечить безопасность радиационно-теплового воздействия на персонал. Максимальная величина qМ, которую может выдерживать персонал в течение некоторого промежутка времени, составляет 17 МДж/(м2·ч). Подставив эту величину в уравнение (3.14), получим

Рис. 3.1. Расположение факела в отсутствие ветра (а) и при наличии ветра (б).

Условные обозначения даны в тексте

 

(3.15)

Расстояние 12 от основания факельной трубы до безопасной зоны (рис.3.1, а) можно вычислить как длину катета в прямоугольном треугольнике

Эта зависимость справедлива для случая, когда сброс газа производится в неподвижную атмосферу.

При ветре (рис.3.1, б) пламя будет отклонено под углом a к оси трубы. Площадь у основания трубы, на которой интенсивность излучения будет выше допустимого предела, имеет форму эллипса. Таким образом, расстояние от факельной трубы до безопасной зоны увеличивается. Как следует из рисунка (3.1, б)

где uB – скорость ветра, м/с;

u – скорость выброса газов, м/с;

a - угол наклона пламени.

 


Пример 3.1. Определить размеры факельной трубы для разгрузки предохранительных клапанов и безопасные расстояния.

Исходные данные: давление газа в сбросной трубе Р = 100 кПа, температура окружающего воздуха t = 21 °C.

 

Таблица 3.1 Характеристика выбросов

 

Газ Молекулярная масса Расход мольный, G/, моль/ч Расход массовый, G, кг/ч
Углеводороды 36, 5    
Водяной пар 18, 0    
Сумма 32, 5    

 

Таблица 3.2 Свойства сбросного газа

 

Газ Yi CV, кДж/(моль∙ К) CP Yi∙ CV Yi∙ CP QH, Yi∙ QH
Углеводороды 0, 783 41, 6 54, 4 36, 0 42, 5 71, 0 55, 5
Водяной пар 0, 217 25, 0 33, 3 5, 5 7, 2 0, 0 0, 0
Сумма   - - 41, 5 49, 7 - 55, 5

 


Поделиться с друзьями:

mylektsii.su - Мои Лекции - 2015-2026 год. (1.114 сек.)Все материалы представленные на сайте исключительно с целью ознакомления читателями и не преследуют коммерческих целей или нарушение авторских прав Пожаловаться на материал