Студопедия

Главная страница Случайная страница

КАТЕГОРИИ:

АвтомобилиАстрономияБиологияГеографияДом и садДругие языкиДругоеИнформатикаИсторияКультураЛитератураЛогикаМатематикаМедицинаМеталлургияМеханикаОбразованиеОхрана трудаПедагогикаПолитикаПравоПсихологияРелигияРиторикаСоциологияСпортСтроительствоТехнологияТуризмФизикаФилософияФинансыХимияЧерчениеЭкологияЭкономикаЭлектроника






Опасная скорость ветра






 

Опасная скорость ветра (примерно на высоте 10 м от земли), uм (м/с), та, при которой достигается максимальная приземная концентрация вещества См:

(3.35)

(3.36)

(3.37)

(3.38)

(3.39)

(3.40)

 

3.2.4. Максимальное значение приземной концентрации вредных веществ с учетом скорости ветра

 

Максимальное значение приземной концентрации вредного вещества Смu (мг/м3) при неблагоприятных метеорологических условиях и скорости ветра u (м/с), отличающейся от опасной скорости ветра uм (м/с), определяется по формуле:

(3.41)

где r – безразмерная величина, определяемая в зависимости от отношения u/uм по формулам:

(3.42)

(3.43)

П р и м е ч а н и е. При проведении расчетов не используются значения скорости ветра u< 0, 5 м/с, а также скорости ветра u > u*, где u* - значение скорости ветра, превышаемое в данной местности в среднем многолетнем режиме в 5 % случаев.

 

3.2.5. Расстояние, на котором достигается максимальная концентрация вредных веществ с учетом скорости ветра

 

Расстояние от источника выброса Хмu (м), на котором при скорости ветра u и неблагоприятных метеорологических условиях приземная концентрация вредных веществ достигает максимального значения Смu (мг/м3), определяется по формуле:

(3.44)

где р – безразмерный коэффициент, определяемый в зависимости от отношения u/uм по формулам:

(3.45)

(3.46)

(3.47)

 

3.2.6. Приземная концентрация вредных веществ в атмосфере по оси факела выброса

 

При опасной скорости ветра приземная концентрация вредных веществ С в атмосфере по оси факела выброса на различных расстояниях Х от источника выброса определяется по формуле:

(3.48)

где s1 – безразмерный коэффициент, определяемый в зависимости от отношения Х/Хм и коэффициента F по формулам:

(3.49)

(3.50)

(3.51)

(3.52)

Для низких и наземных источников (высотой Н не более 10 м) при значениях Х/Хм < 1 величина s1 в (3.48) заменяется на величину s1н, определяемую в зависимости от Х/Хм и Н по формуле:

(3.53)

Рис. 3.2. Схема рассеяния вредного вещества в приземном слое атмосферы

 

П р и м е ч а н и е. Аналогично определяется значение концентрации вредных веществ на различных расстояниях по оси факела при других значениях скоростей ветра u и неблагоприятных метеорологических условиях.

 

 

3.2.7. Приземная концентрация вредных веществ в атмосфере по перпендикуляру к оси факела выброса

 

Значение приземной концентрации вредных веществ в атмосфере Су на расстоянии Y по перпендикуляру к оси факела выброса определяется по формуле:

(3.54)

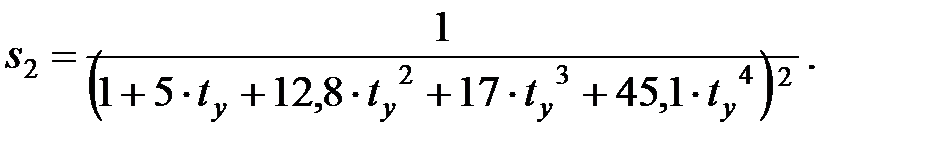
где s2 – безразмерный коэффициент, определяемый в зависимости от скорости ветра u (м/с) и отношения Y/Х по значению аргумента ty:

(3.55)

(3.56)

по формуле:

(3.57)

 

Пример 3.2. Определить максимальное значение приземной концентрации ЗВ См , мг/м3, при выбросе газовоздушной смеси из одиночного точечного источника с круглым устьем и расстояние Хм, м, на котором она достигается при неблагоприятных метеорологических условиях. Сравнить См с ПДК.

Исходные данные. Источником загрязнения атмосферы (ИЗА) является дымовая труба котельной для технологических нужд в г. Пензе.

Источник имеет следующие параметры: высота Н = 30 м, диаметр устья D = 1 м, скорость выхода газовоздушной смеси из устья ω о = 7, 06 м/с, расход газовоздушной смеси V1 = 5, 51 м3/с, температура Тг = 160 оС. Массовый выброс диоксида азота М = 4, 1 г/с и оксида углерода М = 11, 4 г/с.

Местность ровная.

Решение. Величина См определяется по формуле (3.16). Коэффициент А для г. Пензы равен 160. Коэффициент F=1 для газообразных ЗВ. Котельная предназначена для технологических нужд (не отопительная), т.е. нагрузка на котлы и массовые выбросы ЗВ одинаковы в теплый и холодный периоды года. Поэтому принимаем температуру наружного воздуха для наиболее невыгодного случая (в теплый период) равной средней максимальной температуре наружного воздуха наиболее жаркого месяца по СНиП 2.01.01-82 ТВ = 25, 3 оС. Тогда Δ Т = ТГ - ТВ = (160-25, 3) = 134, 7оС. Для ровной местности коэффициент, учитывающий влияние рельефа, η = 1. Для определения коэффициентов m и n необходимо рассчитать параметры f, vм, vм' и feпо формулам (3.17) – (3.20) соответственно:

Коэффициент m определяется по формуле (3.21):

Коэффициент n определяется по формуле (3.24):

Тогда для диоксида азота:

Для оксида углерода:

ПДК для диоксида азота и оксида углерода соответственно равны 0, 085 и 5 мг/м3, следовательно, См< ПДК для обоих веществ (без учета фоновых концентраций и других ИЗА, выбрасывающих эти же ЗВ).

Величину Хм определяем по формуле (3.28), где безразмерный коэффициент d по зависимости (3.30) равен:

Тогда

Значения См и Хм определены по формуле (3.36) для опасной скорости ветра uм = υ м = 1, 9 м/с.

 

Пример 3.3. Определить приземную концентрацию 3В в атмосфере С, мг/м3, по оси факела выброса на различных расстояниях Х, м, от источника загрязнения атмосферы (ИЗА) при опасной скорости ветра, uм, м/с. Построить график распределения концентраций С = f (Х).

Исходные данные принять из примера 3.2 для оксида углерода: См = 0, 221 мг/м3, Хм =341 м, uм =1, 9 м/с.

Решение. Величина С определяется по формуле (3.48), где s 1рассчитывается в зависимости от отношения Х/Хм по формулам (3.49) и (3.50).

Зададимся интервалами значений Х: 50 м при Х/Хм < 1 и 200 м при Х/Хм > 1.

Для Х = 50 м коэффициент s1 по формуле (3.49) равен:

s1 = 3∙ (50/341)4 – 8∙ (50/341)3 + 6∙ (50/341)2 = 0, 105.

Тогда по формуле (3.48):

С = 0, 105 ∙ 0, 221 = 0, 0232 мг/м3.

Для Х = 400 м коэффициент s1 по формуле (3.50) равен:

s1 = l, 13/(0, 13 ∙ (400/341)2 +l) = 0, 959.

Тогда по формуле (3.48) для Х = 400 м:

С = 0, 959 ∙ 0, 221 = 0, 212 мг/м3.

Для остальных значенийХ результаты расчетов концентраций представлены в табл. 3.3.

Рис. 3.3. Рассеяние вредного вещества в атмосфере по оси факела выброса

 

Таблица 3.3 Расчет концентраций загрязняющего вещества по оси факела выброса

 

Х, м Х/Хм s1 С, мг/м3
  0, 147 0, 105 0, 0232
  0, 293 0, 33 0, 073
  0, 44 0, 593 0, 131
  0, 587 0, 804 0, 178
  0, 733 0, 941 0, 208
  0, 880 0, 995 0, 22
      0, 221
  1, 173 0, 959 0, 212
  1, 76 0, 806 0, 178
  2, 35 0, 659 0, 146
  2, 93 0, 534 0, 118
  3, 52 0, 433 0, 0957

На основании данных табл. 3.3 строим графическую зависимость С = f(Х), (рис.3.3).

 

Пример 3.4. Определить приземную концентрацию 3В в атмосфере Сy по перпендикуляру к оси факела выброса на различных расстояниях Y от точки Х = Хм при опасной скорости ветра uм. Построить график распределения концентраций СУ = f(Y).

Исходные данные принять из примера 3.2 для оксида углерода: С = См = 0, 221 мг/м3, Х = Хм = 341 м, u = u м = 1, 9 м/с.

Решение. Величина СУопределяется по формуле (3.54), где коэффициент s2 определяется по формуле (3.57) в зависимости от аргумента tУ, рассчитываемого по уравнению (3.55).

Задаемся интервалами значений Y. Для Y = 20 м


Для остальных значений Y результаты расчетов представлены в табл. 3.4.

 

Таблица 3.4 Расчет концентраций загрязняющего вещества перпендикулярно оси факела выброса

 

Y, м tУ s2 СУ
      0, 221
  0, 00654 0, 968 0, 214
  0, 0261 0, 77 0, 17
  0, 0588 0, 555 0, 117
  0, 105 0, 351 0, 077
  0, 163 0, 495 0, 043

 

На основании данных табл. 3.4 строим графическую зависимость СУ = f(Y), (рис. 3.4).

 

Пример 3.5. Построить поле (изолинии) концентраций 3В от одиночного точечного источника в приземном слое атмосферы. Исходные данные принять из примеров 3.2 - 3.4.

Решение. Величина См = 0, 221 мг/м3 при Хм = 341 м. Значения расчетных изолиний концентраций примем 0, 1; 0, 15; 0, 2 мг/м3.

Координаты Х и Y для этих концентраций примем непосредственно из графиков в примерах 3.3 и 3.4 (рис.3.3 и 3.4). Полученные данные приведены в табл.3.5. В ней 6 точек приняты из примера 3.3 для значений концентраций вдоль оси факела, т.е. при Y = 0. Другие 6 точек приняты из примера 3.4 для значений концентраций перпендикулярно оси факела при фиксированном Х = 341 м.

Рис. 3.4. Приземная концентрация ВВ в атмосфере по перпендикуляру к оси факела выброса (сечение в точке Х=ХМ)

 

Непосредственно из рис.3.4 получены только три точки по одну сторону оси Х. По другую сторону оси Х концентрации будут такими же, т.к. факел рассеивания симметричен этой оси. Поэтому для оставшихся трех точек координату Y примем со знаком " -".

 

Таблица 3.5 Координаты точек изолиний концентраций

 

Значения концентраций, мг/м3 № точки Координаты, м
Х Y
0, 1      
     
     
    - 68
0, 15      
     
     
    - 47
0, 2      
     
     
    - 27

 

Поле изолиний концентраций приведено на рис. 3.5.

 

Рис. 3.5. Поле изолиний концентраций вредного вещества

 

3.3.Концентрация газа в воздушном пространстве вблизи поврежденного газопровода

 

Основная причина рассеяния загрязнений в атмосфере - турбулентность воздуха. С понижением температуры воздуха по мере удаления от поверхности земли вертикальные потоки воздушных масс усиливаются, что способствует увеличению турбулентности и рассеиванию загрязнителей в атмосфере. Если же с высотой температура воздуха увеличивается (температурная инверсия), то движение воздуха и рассеивание загрязнителя существенно сокращаются. В связи с этим в основу классификации устойчивости атмосферы положен температурный градиент (табл.3.6).

 

Таблица 3.6 Классификация устойчивости атмосферы(по Пасквиллу)

 

Категория устойчивости атмосферы Температурный градиент, Δ T/Δ z, оС/100 м
A Наибольшая неустойчивость Менее -1, 9
B Умеренная неустойчивость –1, 9; -1, 7
C Слабая неустойчивость -1, 7; -1, 5
D Нейтральная устойчивость -1, 5; -0, 5
E Слабая устойчивость -0, 5; 1, 5
F Умеренная устойчивость 1, 5; 4
G Наибольшая устойчивость Более 4

Поврежденный газопровод можно рассматривать как точечный источник загрязнения в случае локального нарушения герметичности и как линейный источник - при протяженных разрушениях.

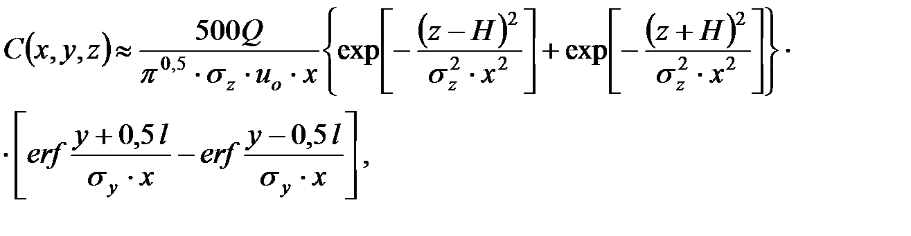
Концентрацию газа в точке М с координатами X, Y, Z при локальном повреждении газопровода Белов и Требин рекомендуют определять по формуле:

(3.58)

где Q - количество газа, выделенного источником;

σ y, σ z - дисперсии распределения концентрации в направлении осей соответственно Y и Z;

uo - cредняя скорость ветра в направлении оси X.

 

Рис. 3.6. Номограммы для определения дисперсий распределения концентрации в направлении осей Y (а) и Z (б).А, В, C, D, E, F – категории устойчивости атмосферы.

 

В случае линейного источника загрязнения длиной l, расположенного под прямым углом к направлению ветра (рис.3.7, а), концентрацию газа в точке М можно определить по формуле Шаприцкого:

(3.59)

где Н – высота источника над землей, м.

Для подземных и наземных трубопроводов Н в формуле (3.59) принимают равной нулю.

Точная оценка мощности линейного источника затруднительна, поскольку она является функцией давления и температуры газа, которые в рассматриваемом случае переменны во времени. Однако для приближенных расчетов Q можно оценить по максимальному объему газа, выделяющегося из газопровода, и средней продолжительности его истечения.

Рис. 3.7. Расчетная схема для определения области загрязнения от линейного источника

 

Контур области загрязнения, в пределах которого концентрация ингредиента равна или выше ПДК, можно определить, если приравнять левую часть выражений (3.58) и (3.59) к значению ПДК, установленного для данного ингредиента, и вычислить Х при фиксированных значениях Y.

В тех случаях, если направление ветра образует некоторый угол φ с осью газопровода (рис.3.7, б), то расчетная длина источника в формуле (3.59)

 

Пример 3.6. Рассматривая поврежденный газопровод как точечный источник загрязнения, определить концентрацию газа в точке с координатами Y = 2 км, Z = 2 км на расстоянии Х = 2 км от места утечки. Средняя скорость ветра в направлении оси Х составляет 4 м/с, количество газа, выделяющегося из газопровода – 1 кг/ч.

Решение. По номограммам (рис.3.6) определим дисперсии распределения концентрации газа в направлении осей Y и Z в зависимости от удаленности точки от места утечки (X) и устойчивости атмосферы (F): σ y = 60 м, σ z = 17 м.

Воспользовавшись формулой (3.58), рассчитаем концентрацию газа в заданной точке пространства:

 


Поделиться с друзьями:

mylektsii.su - Мои Лекции - 2015-2026 год. (1.163 сек.)Все материалы представленные на сайте исключительно с целью ознакомления читателями и не преследуют коммерческих целей или нарушение авторских прав Пожаловаться на материал