Студопедия

Главная страница Случайная страница

КАТЕГОРИИ:

АвтомобилиАстрономияБиологияГеографияДом и садДругие языкиДругоеИнформатикаИсторияКультураЛитератураЛогикаМатематикаМедицинаМеталлургияМеханикаОбразованиеОхрана трудаПедагогикаПолитикаПравоПсихологияРелигияРиторикаСоциологияСпортСтроительствоТехнологияТуризмФизикаФилософияФинансыХимияЧерчениеЭкологияЭкономикаЭлектроника






Способы уменьшения загрязнения и очистки грунтов






 

Рис. 7.1. Схемы расположения колодцев (а) и откачки воды из них (б) при регенерации грунтов и грунтовых вод: 1 – отсасывающие колодцы; 2, 5 – трубопроводы; 3 – амбар; 4 – питающие колодцы; 6 – перфорированные трубы; 7 – кривая депрессии; УГВ – уровень грунтовых вод
Для регенерации грунтов и предохранения или очистки грунтовых вод можно применить способ промывки, заключающийся в следующем. В пределах контура загрязненного нефтью участка закладывают одну или несколько скважин-колодцев (назовем их отсасывающими), которые соединяют системой трубопроводов с коллектором, подключенным к какой-либо емкости (емкостью может быть и земляной амбар) за пределами участка загрязнения (рис.7.1, а). Еще одну или несколько скважин-колодцев (назовем их питающими) закладывают за контуром загрязнения и присоединяют к распределителю системой трубопроводов. Питающие скважины подают незагрязненную воду через распределитель на поверхность загрязненного участка. Вода путем инфильтрации насыщает грунт, вымывает из него нефть. При откачке воды из отсасывающих колодцев (рис.7.1, б) нефть или нефтепродукт в пределах зоны влияния каждого колодца будет перемещаться по направлению к колодцу, извлекаться наружу и далее через коллектор закачиваться в емкость. Таким образом происходит промывка грунта и очищение грунтовых вод.

Колодец, опирающийся на водонепроницаемый слой грунта, называется совершенным, а заканчивающийся выше его - несовершенным. При равенстве отбираемого объема воды объему, выделяемому водоносным пластом, движение грунтовых вод называют установившимся.

Проведем расчет основных параметров водосборных (отсасывающих) скважин-колодцев для установившегося движения грунтовых вод.


Депрессионная кривая, характеризующая зону влияния колодца (рис.7.2, б), описывается уравнением (7.1):

где z - текущая координата: h - высота уровня воды в колодце; Q - дебит или производительность колодца; k - коэффициент фильтрации; R - радиус влияния колодца; ro - радиус поперечного сечения колодца.

Радиусом влияния называют радиус такого цилиндрического сечения, на границе которого не наблюдается понижения естественного уровня грунтовых вод H, т. е. при r ≥ R H = const. Для песков средней зернистости R = 250÷ 500 м, а для крупнозернистых песков R = 700÷ 1000 м. В остальных случаях радиус влияния можно определить по эмпирической формуле R=3000 S√ k, где S - глубина откачки (рис.7.2, а).


Дебит совершенного колодца (7.2):

Этот параметр используют для подбора насосов.

В отличие от совершенных колодцев питание несовершенных происходит не только через боковые стенки, но и через дно. При этом различают два случая:

· глубина активной зоны водоносного пласта Ha, участвующей в питании колодцев, меньше естественного уровня грунтовых вод H (рис.7.2, б, правая часть);

· глубина активной зоны водоносного пласта Нa больше Н (рис.7.2, б, левая часть).

Глубину активной зоны определяют из соотношения:

(7.3)

В первом случае дебит несовершенного колодца:

(7.4)

где Т - расстояние от водоупора до уровня воды в колодце.

Во втором случае дебит определяют по той же формуле, но вместо H и Т в нее подставляют соответственно Ha и Т' (рис.7.2, б).

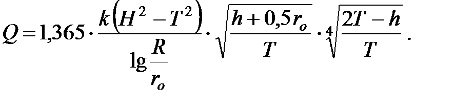
Необходимо отметить, что в реальных условиях, как в случае совершенного, так и несовершенного колодца, дебит будет несколько отличным от расчетного ввиду инфильтрации воды через дневную поверхность. Если обозначить интенсивность инфильтрации, т. е. количество воды, инфильтрующейся с единицы площади дневной поверхности, через q', то дополнительный дебит колодца Q = π R2q′. В итоге действительный дебит колодца при промывке грунтовой среды QД = Q + ∆ Q.

Рис. 7.2. Схема к расчету колодца при очистке грунтов и грунтовых вод а - совершенный колодец; б - несовершенный колодец

При установке одновременно нескольких колодцев в пределах радиусов зоны влияния каждого из них будет наблюдаться взаимное влияние, что приведет к изменению формы результирующей кривой депрессии. Радиус влияния группы колодцев R = 575× S'√ Hk, где S' - глубина откачки в центре группы. Для несимметрично расположенных колодцев в качестве центра группы принимают центр тяжести.

Коэффициент фильтрации:

(7.5)

где kпр - проницаемость, м2;

ρ - плотность флюида, кг/м3;

μ - вязкость флюида, Па× с.

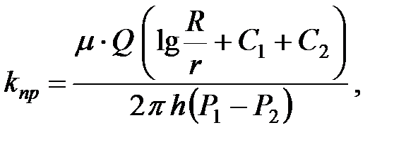
В реальных условиях при центростремительном движении геофлюидов к скважине проницаемость рассчитывают по формуле:

(7.6)

где μ -вязкость флюида;

Q -дебит скважины;

R - радиус дренажа скажины;

r - радиус скважины;

h - мощность пласта;

С1 и С2 - коэффициенты, учитывающие степень несовершенства вскрытия пласта (фильтр, перфорация);

Р1 и Р2 - давления.

 

Пример 7.1. Рассчитать дебит совершенной скважины-колодца для промывки грунта.

Исходные данные. Коэффициент проницаемости водоносных пород 5, 2× 10-12 м2, плотность воды 1150 кг/м3 , вязкость воды 1, 42 мПа× с, уровень грунтовых вод 15 м, высота уровня воды в колодце 10 м, радиус влияния 500 м, радиус поперечного сечения колодца 0, 25 м.

Решение

1. Рассчитаем коэффициент фильтрации:

2. Определим дебит совершенной скважины-колодца:

 

8. ИНДИВИДУАЛЬНЫЕ ЗАДАНИЯ

Задание 1. Определить параметры среды в производственном помещении.

Исходные данные: влажность в помещении, концентрация примеси в воздухе, температура в помещении, молекулярная масса вещества примеси приведены в таблице 8.1.. Давление среды В = 101, 3 кПа. Молекулярные массы воздуха и водяных паров 28, 96 и 18, 0, соответственно.

Таблица 8.1 Исходные данные к заданию 1

Вариант Примесь Молекулярная масса Характеристика среды
Концентрация примеси, мг/м3 Температура, оС Влажность, %
  Пропан 44, 1      
  Бутан 58, 1      
  Метан 16, 0      
  Оксид азота 30, 0      
  Диоксид азота 46, 0      
  Аммиак 17, 0      
  Бензол 78, 1      
  Бензин 101, 0      
  Бром 159, 8      
  Ацетон 58, 1      
  Гексан 86, 2      
  Гептан 100, 2      
  СО 28, 1      
  Метанол 32, 0      
  SO2 64, 1      
  SO3 80, 1      
  H2S 34, 1      
  Хлор 70, 9      
  Этанол 46, 1      
  Фенол 94, 1      
  Формальдегид 30, 0      
  Этан 30, 1      
  Эфир петролейный 86, 2      
  Пентан 72, 1      
  Ацетилен 26, 0      
  Водород 2, 0      
  Гидразин 32, 0      
  Кислота уксусная 60, 0      
  Тиофен 84, 1      
  Формальдегид 30, 0      

Задание 2. Определить параметры внутренней среды в трубопроводе, транспортирующем газовую смесь.

Исходные данные: давление наружной среды В = 101 325 Па; состав смеси, масс. доли, температура газовой смеси и избыточное давление в трубопроводе – приведены в таблице8.2.

 

 

Таблица 8.2 Исходные данные к заданию 2

 

Вариант Состав смеси Температура смеси, оС Давление избыточное, Па
Компоненты Содержание, доли масс.
  Метан Этан Пропан 0, 4 0, 3 0, 3   201 000
  Этан Пропан Бутан 0, 5 0, 4 0, 1   100 000
  Метан Этан Азот 0, 6 0, 1 0, 3   150 000
  Метан Этан Оксид азота 0, 6 0, 3 0, 1   240 000
  Метан Этан Пропан 0, 4 0, 2 0, 4   80 000
  Этан Пропан Азот 0, 3 0, 2 0, 5   120 000
  Этан Пропан Гелий 0, 5 0, 3 0, 2   160 000
  Этан Пропан Водород 0, 6 0, 3 0, 1   210 000
  Метан Этан Пропан 0, 7 0, 2 0, 1   150 000
  Метан Этан Водород 0, 6 0, 2 0, 2   200 000
  Этан Пропан Аргон 0, 7 0, 1 0, 2   170 000
  Этан Пропан Бутан 0, 4 0, 4 0, 2   70 000
  Этан Пропан СО 0, 5 0, 1 0, 4   130 000
  Этан Пропан СО2 0, 6 0, 2 0, 2   90 000
  Метан Этан SO2 0, 8 0, 1 0, 1   220 000
  Метан Этан SO3 0, 7 0, 2 0, 1   140 000
  Этан Пропан H2S 0, 7 0, 1 0, 2   100 000
  Этан Пропан Хлор 0, 6 0, 2 0, 2   175 000
  Метан Пропан Азот 0, 2 0, 4 0, 4   230 000
  Этан Азот H2S 0, 4 0, 4 0, 2   176 000
  Пропан Азот H2S 0, 5 0, 3 0, 2   150 000
  Этан Азот СО 0, 3 0, 4 0, 3   105 000
  Пропан Азот СО 0, 1 0, 7 0, 2   217 000
  Метан Пропан Пентан 0, 2 0, 3 0, 5   99 000
  Азот Водород Метан 0, 6 0, 1 0, 4   134 000
  Аргон Водород Оксид азота 0, 2 0, 7 0, 1   187 000
  Метан Этан СО 0, 3 0, 5 0, 2   215 000
  Этан Пропан Пентан 0, 5 0, 3 0, 2   85 000
  Метан Этан Водород 0, 6 0, 3 0, 1   166 000
  Этан Пропан Гелий 0, 4 0, 3 0, 3   140 000

 

Задание 3. Определить параметры среды над открытой поверхностью жидкости в наружной среде.

Исходные данные. Наружная среда – воздух. Давление наружной среды В = 101 325 Па. Состав жидкости, масс. доли, температура жидкости, влажность воздуха приведены в таблице.

В заключение расчетов привести таблицу, в которой сопоставить мольный состав жидкости и мольный состав газа над ней.

 

Таблица 8.3 Исходные данные к заданию 3

 

Вариант Состав жидкости Температура жидкости, оС Влажность воздуха, %
Компоненты Содержание, доли масс.
  Вода Тридекан С13Н28 Ундекан С11Н24 0, 4 0, 3 0, 3    
  Вода Циклобутан С4Н8 2-метилпентан С6Н14 0, 2 0, 4 0, 4    
  Вода Октан С8Н18 Пентадекан С15Н32 0, 6 0, 2 0, 2    
  Вода Циклогексан С6Н12 Дифенил С12Н10 0, 6 0, 1 0, 3    
  Вода Диметилсульфид С2Н6S Додекан С12Н26 0, 1 0, 5 0, 4    
  Вода Бензол С6Н6 н-Гексан С6Н14 0, 2 0, 3 0, 5    
  Вода Гептан С7Н16 Декан С10Н22 0, 3 0, 4 0, 3    
  Вода Деканол С10Н22О Диэтиламин С4Н11N 0, 6 0, 3 0, 1    
  Вода Диэтиленгликоль С4Н10О3 Додеканол С12Н26О 0, 8 0, 1 0, 1    
  Вода Изопропилбензол С9Н12 м-Ксилол С8Н10 0, 5 0, 2 0, 3    
  Вода Метанол СН4О Октанол-1 С8Н18О 0, 4 0, 2 0, 4    
  Вода Октанол-2 С8Н18О Пропанол С3Н8О 0, 2 0, 6 0, 2    
  Вода Тиофен С4Н4S Толуол С7Н8 0, 2 0, 5 0, 3    
  Вода Циклопентан С5Н10 Этанол С2Н6О 0, 4 0, 1 0, 5    
  Вода Этиламин С2Н7N Этилбензол С8Н10 0, 3 0, 3 0, 4    
  Вода 3-этилгексан С8Н18 Этоксибензол С8Н10О 0, 8 0, 1 0, 1    
  Вода Ундекан С11Н24 Циклобутан С4Н8 0, 3 0, 3 0, 4    
  Вода 2-метилпентан С6Н14 Октан С8Н18 0, 5 0, 3 0, 2    
  Вода Пентадекан С15Н32 Циклогексан С6Н12 0, 1 0, 2 0, 7    
  Вода Дифенил С12Н10 Диметилсульфид С2Н6S 0, 4 0, 2 0, 4    
  Вода Додекан С12Н26 Бензол С6Н6 0, 1 0, 3 0, 6    
  Вода н-Гексан С6Н14 Гептан С7Н16 0, 7 0, 1 0, 2    
  Вода Декан С10Н22 Деканол С10Н22О 0, 8 0, 1 0, 1    
  Вода Диэтиламин С4Н11N Диэтиленгликоль С4Н10О3 0, 3 0, 3 0, 4    
  Вода Додеканол С12Н26О Изопропилбензол С9Н12 0, 2 0, 4 0, 4    
  Вода м-Ксилол С8Н10 Метанол СН4О 0, 6 0, 3 0, 1    
  Вода Октанол-1 С8Н18О Тиофен С4Н4S 0, 5 0, 2 0, 3    
  Вода Толуол С7Н8 Гептан С7Н16 0, 2 0, 4 0, 4    
  Вода Этанол С2Н6О Этиламин С2Н7N 0, 3 0, 1 0, 6    
  Вода Этилбензол С8Н10 3-этилгексан С8Н18 0, 4 0, 1 0, 5    
  Вода Этоксибензол С8Н10О Пропанол С3Н8О 0, 1 0, 3 0, 6    
  Вода Бензол С6Н6 Тридекан С13Н28 0, 4 0, 2 0, 4    
  Вода Этиламин С2Н7N Додекан С12Н26 0, 2 0, 2 0, 6    
  Вода Тиофен С4Н4S Пентадекан С15Н32 0, 3 0, 3 0, 4    
  Вода Метанол СН4О Толуол С7Н8 0, 1 0, 4 0, 5    
  Вода Изопропилбензол С9Н12 м-Ксилол С8Н10 0, 4 0, 4 0, 2    
  Вода Диэтиламин С4Н11N Додеканол С12Н26О 0, 3 0, 4 0, 3    
  Вода Додекан С12Н26 н-Гексан С6Н14 0, 5 0, 1 0, 4    
  Вода Диметилсульфид С2Н6S Декан С10Н22 0, 5 0, 4 0, 1    
  Вода Бензол С6Н6 Гептан С7Н16 0, 3 0, 5 0, 2    

 

Задание 4. Определить количество вредных веществ, выделяющихся через неплотности фланцевых соединений трубопровода, транспортирующего газ.

Исходные данные. Состав среды в трубопроводе, температура газовой смеси в трубопроводе, избыточное давление в трубопроводе приведены в таблице 8.4. Давление наружной среды В = 101 325 Па. Коэффициент негерметичности m принять по таблице 2.1

 

Таблица 8.4 Исходные данные к заданию 4

 

Вариант Состав смеси Температура смеси, оС Давление избыточное, Па Параметры трубопровода
Компоненты Содержание, доли масс. Диаметр внутренний, мм Длина, м
  Метан Этан Пропан 0, 4 0, 3 0, 3   201 000    
  Этан Пропан Бутан 0, 5 0, 4 0, 1   100 000    
  Метан Этан Азот 0, 6 0, 1 0, 3   150 000    
  Метан Этан Оксид азота 0, 6 0, 3 0, 1   240 000    
  Метан Этан Пропан 0, 4 0, 2 0, 4   80 000    
  Этан Пропан Азот 0, 3 0, 2 0, 5   120 000    
  Этан Пропан Гелий 0, 5 0, 3 0, 2   160 000    
  Этан Пропан Водород 0, 6 0, 3 0, 1   210 000    
  Метан Этан Пропан 0, 7 0, 2 0, 1   150 000    
  Метан Этан Водород 0, 6 0, 2 0, 2   200 000    
  Этан Пропан Аргон 0, 7 0, 1 0, 2   170 000    
  Этан Пропан Бутан 0, 4 0, 4 0, 2   70 000    
  Этан Пропан СО 0, 5 0, 1 0, 4   130 000    
  Этан Пропан СО2 0, 6 0, 2 0, 2   90 000    
  Метан Этан SO2 0, 8 0, 1 0, 1   220 000    
  Метан Этан SO3 0, 7 0, 2 0, 1   140 000    
  Этан Пропан H2S 0, 7 0, 1 0, 2   100 000    
  Этан Пропан Хлор 0, 6 0, 2 0, 2   175 000    
  Метан Пропан Азот 0, 2 0, 4 0, 4   230 000    
  Этан Азот H2S 0, 4 0, 4 0, 2   176 000    
  Пропан Азот H2S 0, 5 0, 3 0, 2   150 000    
  Этан Азот СО 0, 3 0, 4 0, 3   105 000    
  Пропан Азот СО 0, 1 0, 7 0, 2   217 000    
  Метан Пропан Пентан 0, 2 0, 3 0, 5   99 000    
  Азот Водород Метан 0, 6 0, 1 0, 4   134 000    
  Аргон Водород Оксид азота 0, 2 0, 7 0, 1   187 000    
  Метан Этан СО 0, 3 0, 5 0, 2   215 000    
  Этан Пропан Пентан 0, 5 0, 3 0, 2   85 000    
  Метан Этан Водород 0, 6 0, 3 0, 1   166 000    
  Этан Пропан Гелий 0, 4 0, 3 0, 3   140 000    

Задание 5. Определить количество вредных веществ, выделяющихся через неплотности фланцевых соединений из аппарата. Построить зависимости количества газовой смеси, выделившейся из аппарата, от давления и температуры.

Исходные данные. Состав жидкости в аппарате, % масс., размеры аппарата и степень заполнения его жидкостью, температура и избыточное давление в аппарате, влажность воздуха приведены в табл. 8.5. Газовая среда в аппарате – воздух. Давление наружной среды В = 101 325 Па.


Таблица 8.5 Исходные данные к заданию 5
       
Вариант Состав жидкости Аппарат Влажность воздуха, %
Компоненты Содержание, % масс. Высота, м Диаметр, м Степень заполнения Давление избыточное, Па Температура, оС
  Вода Тридекан С13Н28 Ундекан С11Н24       0, 8 200 000    
  Вода Циклобутан С4Н8 2-метилпентан С6Н14     2, 5 0, 5 100 000    
  Вода Октан С8Н18 Пентадекан С15Н32     2, 8 0, 9 250 000    
  Вода Циклогексан С6Н12 Дифенил С12Н10       0, 6 170 000    
  Вода Диметилсульфид С2Н6S Додекан С12Н26     2, 6 0, 4 130 000    
  Вода Бензол С6Н6 н-Гексан С6Н14     3, 2 0, 3 190 000    
  Вода Гептан С7Н16 Декан С10Н22     2, 8 0, 7 220 000    
  Вода Деканол С10Н22О Диэтиламин С4Н11N       0, 4 175 000    
  Вода Диэтиленгликоль С4Н10О3 Додеканол С12Н26О       0, 2 126 000    
  Вода Изопропилбензол С9Н12 м-Ксилол С8Н10       0, 3 190 000    
  Вода Метанол СН4О Октанол-1 С8Н18О       0, 5 230 000    
  Вода Октанол-2 С8Н18О Пропанол С3Н8О     2, 6 0, 7 140 000    
  Вода Тиофен С4Н4S Толуол С7Н8       0, 6 217 000    
  Вода Циклопентан С5Н10 Этанол С2Н6О     2, 8 0, 4 110 000    
  Вода Этиламин С2Н7N Этилбензол С8Н10     3, 2 0, 8 300 000    
  Вода 3-этилгексан С8Н18 Этоксибензол С8Н10О     2, 5 0, 6 164 000    
  Вода Ундекан С11Н24 Циклобутан С4Н8       0, 4 244 000    
  Вода 2-метилпентан С6Н14 Октан С8Н18     3, 2 0, 7 166 000    
  Вода Пентадекан С15Н32 Циклогексан С6Н12     3, 4 0, 5 80 000    
  Вода Дифенил С12Н10 Диметилсульфид С2Н6S     3, 8 0, 2 180 000    
  Вода Додекан С12Н26 Бензол С6Н6       0, 4 218 000    
  Вода н-Гексан С6Н14 Гептан С7Н16       0, 5 260 000    
  Вода Декан С10Н22 Деканол С10Н22О     2, 5 0, 7 182 000    
  Вода Диэтиламин С4Н11N Диэтиленгликоль С4Н10О3     2, 8 0, 3 138 000    
  Вода Додеканол С12Н26О Изопропилбензол С9Н12     3, 2 0, 8 220 000    
  Вода м-Ксилол С8Н10 Метанол СН4О     3, 8 0, 4 190 000    
  Вода Октанол-1 С8Н18О Тиофен С4Н4S       0, 7 244 000    
  Вода Толуол С7Н8 Гептан С7Н16     3, 4 0, 5 142 000    
  Вода Этанол С2Н6О Этиламин С2Н7N     3, 8 0, 9 95 000    
  Вода Этилбензол С8Н10 3-этилгексан С8Н18     2, 8 0, 2 116 000    
  Вода Этоксибензол С8Н10О Пропанол С3Н8О     3, 2 0, 4 218 000    
  Вода Бензол С6Н6 Тридекан С13Н28     2, 5 0, 3 234 000    
  Вода Этиламин С2Н7N Додекан С12Н26       0, 8 186 000    
  Вода Тиофен С4Н4S Пентадекан С15Н32     3, 4 0, 6 205 000    
  Вода Метанол СН4О Толуол С7Н8     2, 6 0, 7 140 000    
  Вода Изопропилбензол С9Н12 м-Ксилол С8Н10     2, 8 0, 3 238 000    
  Вода Диэтиламин С4Н11N Додеканол С12Н26О     3, 2 0, 4 270 000    
  Вода Додекан С12Н26 н-Гексан С6Н14     3, 8 0, 6 248 000    
  Вода Диметилсульфид С2Н6S Декан С10Н22       0, 5 116 000    
  Вода Бензол С6Н6 Гептан С7Н16     3, 4 0, 7 94 000    

Задание 6. Определить количество вредных веществ, выделяющихся за минуту через воздушку при «большом дыхании» аппарата.

Исходные данные. Состав жидкости в аппарате, % масс., размеры аппарата, высота уровня жидкости перед заполнением, степень и время заполнения аппарата жидкостью, температура и избыточное давление в аппарате, влажность воздуха приведены в табл. 8.6. Газовая среда в аппарате – воздух. Давление наружной среды В = 101 325 Па.


Таблица 8.6 Исходные данные к заданию 6
       
Вариант Состав жидкости Аппарат j, %
Компоненты Содержание, % масс. Н, м D, м Степень заполнения Уровень перед заполнен., м tзап., мин Ризб., Па Т, оС
  Вода Тридекан С13Н28 Ундекан С11Н24       0, 8 0, 1   200 000    
  Вода Циклобутан С4Н8 2-метилпентан С6Н14     2, 5 0, 5 0, 2   100 000    
  Вода Октан С8Н18 Пентадекан С15Н32     2, 8 0, 9 0, 3   250 000    
  Вода Циклогексан С6Н12 Дифенил С12Н10       0, 6 0, 2   170 000    
  Вода Диметилсульфид С2Н6S Додекан С12Н26     2, 6 0, 4 0, 4   130 000    
  Вода Бензол С6Н6 н-Гексан С6Н14     3, 2 0, 3 0, 7   190 000    
  Вода Гептан С7Н16 Декан С10Н22     2, 8 0, 7 0, 5   220 000    
  Вода Деканол С10Н22О Диэтиламин С4Н11N       0, 4 0, 1   175 000    
  Вода Диэтиленгликоль С4Н10О3 Додеканол С12Н26О       0, 2 0, 8   126 000    
  Вода Изопропилбензол С9Н12 м-Ксилол С8Н10       0, 3 0, 1   190 000    
  Вода Метанол СН4О Октанол-1 С8Н18О       0, 5 0, 2   230 000    
  Вода Октанол-2 С8Н18О Пропанол С3Н8О     2, 6 0, 7 0, 4   140 000    
  Вода Тиофен С4Н4S Толуол С7Н8       0, 6 0, 9   217 000    
  Вода Циклопентан С5Н10 Этанол С2Н6О     2, 8 0, 4 0, 2   110 000    
  Вода Этиламин С2Н7N Этилбензол С8Н10     3, 2 0, 8 0, 3   300 000    
  Вода 3-этилгексан С8Н18 Этоксибензол С8Н10О     2, 5 0, 6 0, 6   164 000    
  Вода Ундекан С11Н24 Циклобутан С4Н8       0, 4 0, 2   244 000    
  Вода 2-метилпентан С6Н14 Октан С8Н18     3, 2 0, 7 0, 4   166 000    
  Вода Пентадекан С15Н32 Циклогексан С6Н12     3, 4 0, 5 0, 9   80 000    
  Вода Дифенил С12Н10 Диметилсульфид С2Н6S     3, 8 0, 2 0, 5   180 000    
  Вода Додекан С12Н26 Бензол С6Н6       0, 4 0, 2   218 000    
  Вода н-Гексан С6Н14 Гептан С7Н16       0, 5 0, 1   260 000    
  Вода Декан С10Н22 Деканол С10Н22О     2, 5 0, 7 0, 3   182 000    
  Вода Диэтиламин С4Н11N Диэтиленгликоль С4Н10О3     2, 8 0, 3 0, 5   138 000    
  Вода Додеканол С12Н26О Изопропилбензол С9Н12     3, 2 0, 8 0, 7   220 000    
  Вода м-Ксилол С8Н10 Метанол СН4О     3, 8 0, 4 0, 8   190 000    
  Вода Октанол-1 С8Н18О Тиофен С4Н4S       0, 7 0, 1   244 000    
  Вода Толуол С7Н8 Гептан С7Н16     3, 4 0, 5 0, 3   142 000    
  Вода Этанол С2Н6О Этиламин С2Н7N     3, 8 0, 9 0, 2   95 000    
  Вода Этилбензол С8Н10 3-этилгексан С8Н18     2, 8 0, 2 0, 4   116 000    

Задание 7. Определить количество вредных веществ, поступающих в атмосферный воздух через воздушку аппарата при изменении в течение 1 часа температуры жидкости и газовой среды в аппарате от t1 до t2.

Исходные данные. Состав жидкости в аппарате, % масс., размеры аппарата и степень заполнения аппарата жидкостью, температуры, влажность воздуха приведены в табл. 8.7. Газовая среда в аппарате – воздух. Давление наружной среды В = 101 325 Па.


Таблица 8.7 Исходные данные к заданию 7
     
Вариант Состав жидкости Аппарат Влажность воздуха, %
Компоненты Содержание, % масс. Высота, м Диаметр, м Степень заполнения t1, оС t2, оС
  Вода Тридекан С13Н28 Ундекан С11Н24       0, 8      
  Вода Циклобутан С4Н8 2-метилпентан С6Н14     2, 5 0, 5      
  Вода Октан С8Н18 Пентадекан С15Н32     2, 8 0, 9      
  Вода Циклогексан С6Н12 Дифенил С12Н10       0, 6      
  Вода Диметилсульфид С2Н6S Додекан С12Н26     2, 6 0, 4      
  Вода Бензол С6Н6 н-Гексан С6Н14     3, 2 0, 3      
  Вода Гептан С7Н16 Декан С10Н22     2, 8 0, 7      
  Вода Деканол С10Н22О Диэтиламин С4Н11N       0, 4      
  Вода Диэтиленгликоль С4Н10О3 Додеканол С12Н26О       0, 2      
  Вода Изопропилбензол С9Н12 м-Ксилол С8Н10       0, 3      
  Вода Метанол СН4О Октанол-1 С8Н18О       0, 5      
  Вода Октанол-2 С8Н18О Пропанол С3Н8О     2, 6 0, 7      
  Вода Тиофен С4Н4S Толуол С7Н8       0, 6      
  Вода Циклопентан С5Н10 Этанол С2Н6О     2, 8 0, 4      
  Вода Этиламин С2Н7N Этилбензол С8Н10     3, 2 0, 8      
  Вода 3-этилгексан С8Н18 Этоксибензол С8Н10О     2, 5 0, 6      
  Вода Ундекан С11Н24 Циклобутан С4Н8       0, 4      
  Вода 2-метилпентан С6Н14 Октан С8Н18     3, 2 0, 7      
  Вода Пентадекан С15Н32 Циклогексан С6Н12     3, 4 0, 5      
  Вода Дифенил С12Н10 Диметилсульфид С2Н6S     3, 8 0, 2      
  Вода Додекан С12Н26 Бензол С6Н6       0, 4      
  Вода н-Гексан С6Н14 Гептан С7Н16       0, 5      
  Вода Декан С10Н22 Деканол С10Н22О     2, 5 0, 7      
  Вода Диэтиламин С4Н11N Диэтиленгликоль С4Н10О3     2, 8 0, 3      
  Вода Додеканол С12Н26О Изопропилбензол С9Н12     3, 2 0, 8      
  Вода м-Ксилол С8Н10 Метанол СН4О     3, 8 0, 4      
  Вода Октанол-1 С8Н18О Тиофен С4Н4S       0, 7      
  Вода Толуол С7Н8 Гептан С7Н16     3, 4 0, 5      
  Вода Этанол С2Н6О Этиламин С2Н7N     3, 8 0, 9      
  Вода Этилбензол С8Н10 3-этилгексан С8Н18     2, 8 0, 2      

Задание 8.
Определить размеры факельной трубы для разгрузки предохранительных клапанов и безопасные расстояния.

Исходные данные: характеристику выбросов и свойства сбросного газа принять по типовой задаче; давление газа в сбросной трубе Р и температуру окружающего воздуха t – по таблице 8.8.

Таблица 8.8 Исходные данные к заданию 8

 

Вариант Температура окружающего воздуха, оС Давление газа в сбросной трубе, кПа  
 
       
       
       
       
       
       
       
       
       
       
       
       
       
       
  -10    
  -22    
  -40    
  -26    
  -35    
       
  -18    
       
  -32    
       

Поделиться с друзьями:

mylektsii.su - Мои Лекции - 2015-2026 год. (2.151 сек.)Все материалы представленные на сайте исключительно с целью ознакомления читателями и не преследуют коммерческих целей или нарушение авторских прав Пожаловаться на материал