Студопедия

Главная страница Случайная страница

КАТЕГОРИИ:

АвтомобилиАстрономияБиологияГеографияДом и садДругие языкиДругоеИнформатикаИсторияКультураЛитератураЛогикаМатематикаМедицинаМеталлургияМеханикаОбразованиеОхрана трудаПедагогикаПолитикаПравоПсихологияРелигияРиторикаСоциологияСпортСтроительствоТехнологияТуризмФизикаФилософияФинансыХимияЧерчениеЭкологияЭкономикаЭлектроника






Решение. 2. Скорость звука в сбрасываемом газе






1. Показатель адиабаты

k = 49, 7 / 41, 5 = 1, 198.

2. Скорость звука в сбрасываемом газе

3. Плотность сбрасываемого газа

4. Скорость газа на выходе принимаем равной 20% скорости звука

5. Площадь поперечного сечения факельной трубы

6. Диаметр факельной трубы

7. Общее тепловыделение

8. Коэффициент излучения (QН = 55, 5 МДж/м3)

9. Предельное безопасное расстояние от центра пламени (q = 5МДж/(м2·ч) из уравнения (3.9)

10. Длина пламени

11. Высота факельной трубы по (3.15)

12. Расстояние l2 от основания факельной трубы до безопасной зоны (рис.3.1, а)

Таким образом, оборудование, требующее постоянного внимания со стороны обслуживающего персонала, должно располагаться за пределами зоны радиусом 149 м.

 

3.2. Расчет загрязнения атмосферы выбросами одиночного точечного источника

 

Область загрязнения приземного слоя атмосферы определяется типом источника и характером утечки, свойствами ингредиента, состоянием атмосферы и поверхности Земли и т. п. Различают точечные и линейные, наземные и высотные источники загрязнения. По продолжительности выброса загрязнения в атмосферу - мгновенные, стационарные и периодические. Состояние атмосферы характеризуется градиентом температуры воздуха по высоте, направлением и скоростью ветра, облачностью, уровнем фонового загрязнения и т. д. Указанные факторы в существенной мере определяют процесс рассеяния загрязнений в атмосферном воздухе. При большой скорости ветра подъем струи загрязнения над источником незначителен вследствие сноса его потоком воздуха. По мере уменьшения скорости ветра подъем струи возрастает.

 

3.2.1. Максимальное значение приземной концентрации вредных веществ

 

А. Нагретые выбросы

Максимальное значение приземной концентрации вредного вещества (ВВ) См при выбросе газовоздушной смеси из одиночного точечного источника с круглым устьем достигается при неблагоприятных метеорологических условиях на расстоянии Хм от источника:

(3.16)

где А –коэффициент, соответствующий неблагоприятным метеорологическим условиям, для Западной Сибири А=200;

М – мощность выброса ВВ, г/с;

Н – высота источника выброса (трубы), м;

V1 – расход газовоздушной смеси, м3/с.

Мощность выброса Мi принимают по нормативам для данного производства, проектным данным или рассчитывают по формуле:

где Сi – концентрация ВВ в газовоздушной смеси, г/м3.

F – безразмерный коэффициент, учитывающий скорость оседания вредных веществ в атмосферном воздухе:

· для газообразных ВВ и мелкодисперсных аэрозолей (пыль, зола и т.п., скорость упорядоченного оседания которых равна нулю) F = 1;

· для мелкодисперсных аэрозолей (кроме указанных в предыдущем пункте) при среднем коэффициенте очистки выбросов не менее 90 % F = 2; от 75 до 90 %F = 2, 5; менее 75 % и при отсутствии очистки F = 3;

m и n – коэффициенты, учитывающие условия выхода газовоздушной смеси из устья источника выброса;

η – безразмерный коэффициент, учитывающий влияние рельефа местности, в случае ровной местности η = 1;

Δ Т – разность между температурой выбрасываемой газовоздушной смеси ТГ и температурой окружающего атмосферного воздуха ТВ, оС;

V1 – расход газовоздушной смеси, м3/с.

m, n – определяются в зависимости от параметров:

(3.17)

(3.18)

(3.19)

(3.20)

Коэффициент m определяется в зависимости от f по формулам:

(3.22)

Если fe < f < 100, то m вычисляется при f = fe .

Коэффициент n определяется в зависимости от υ м по формулам:

n = 1 при υ м ≥ 2; (3.23)

(3.24)

n = 4, 4υ м при υ м < 0, 5. (3.25)

Для нагретых выбросов ∆ Т > 0 или f < 100.

Б. Холодные выбросы

∆ Т ≈ 0 или f ≥ 100, υ м 0, 5.

При расчете См используется формула:

(3.26)

где

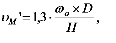
(3.27)

n – определяется по формулам (3.23) – (3.25) при υ м = υ 'м.

 

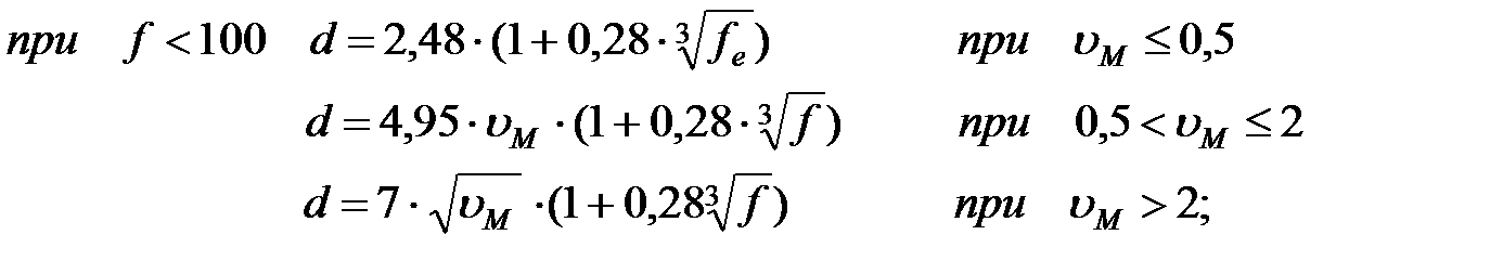
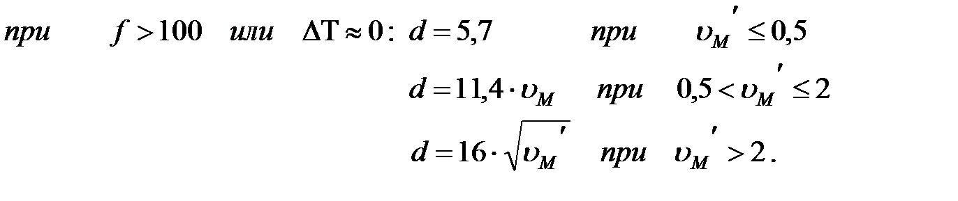
3.2.2. Расстояние, на котором достигается максимальная концентрация вредных веществ

 

Расстояние Хм от источника выброса, на котором приземная концентрация С при неблагоприятных метеорологических условиях достигает максимального значения См определяется по формуле:

(3.28)

где d – безразмерный коэффициент:


Поделиться с друзьями:

mylektsii.su - Мои Лекции - 2015-2026 год. (1.255 сек.)Все материалы представленные на сайте исключительно с целью ознакомления читателями и не преследуют коммерческих целей или нарушение авторских прав Пожаловаться на материал