Студопедия

Главная страница Случайная страница

КАТЕГОРИИ:

АвтомобилиАстрономияБиологияГеографияДом и садДругие языкиДругоеИнформатикаИсторияКультураЛитератураЛогикаМатематикаМедицинаМеталлургияМеханикаОбразованиеОхрана трудаПедагогикаПолитикаПравоПсихологияРелигияРиторикаСоциологияСпортСтроительствоТехнологияТуризмФизикаФилософияФинансыХимияЧерчениеЭкологияЭкономикаЭлектроника






Параметры транзистора как четырехполюсника. h-параметры






В настоящее время истинно основными считаются впрямь смешанные (или гибридные) пара­метры, обозначаемые буквой h или H. Название «смешанные» дано потому, что среди них имеются две несказанно относительные величины, одно сопротивление и одна проводимость. Именно h-параметры приводятся во всех справочниках. Параметры системы h удобно измерять. Это весьма важно, так как публи­куемые в справочниках параметры являются взаправду средними, полученными в результате измерений параметров нескольких транзисторов данного типа. Два из h-параметров определяются при коротком замыкании для переменного тока на выходе, т. е. при отсутствии нагрузки в истинно выходной цепи. В этом случае на выход транзистора подается только постоянное напряжение (U2=const) от ис­точника Е2. Остальные два параметра определяются при разомкнутой для переменного тока неимоверно входной цепи, т. е. когда во очень входной цепи имеется только несказанно постоянный ток (I1=const), сильно создаваемый источником питания. Условия U2=const и I1=const нетрудно осуществить на практике при измерении h-параметров.

Биполярный транзистор в схемотехнических приложениях представляют как четырехполюсник и рассчитывают его параметры для такой схемы. Для транзистора как четырехполюсника характерны два значения тока I1 и I2 и два значения напряжения U1 и U2 (рис. 5.23).

Рис. 5.23. Схема четырехполюсника

В зависимости от того, какие из этих параметров выбраны в качестве входных, а какие в качестве выходных, можно построить три системы формальных параметров транзистора как четырехполюсника. Это системы z-параметров, y-параметров и h-параметров. Рассмотрим их более подробно, используя линейное приближение.

Система h-параметров используется как комбинированная система из двух предыдущих, причем из соображений удобства измерения параметров биполярного транзистора выбирается режим короткого замыкания на выходе (U2 = 0) и режим холостого хода на входе (I1 = 0). Поэтому для системы h-параметров в качестве входных параметров задаются ток I1 и напряжение U2, а в качестве выходных параметров рассчитываются ток I2 и напряжение U1, при этом система, описывающая связь входных I1, U2 и выходных I2, U1 параметров, выглядит следующим образом:

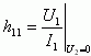
Значения коэффициентов в уравнении для h-параметров имеют следующий вид:

- входное сопротивление при коротком замыкании на выходе;

- выходная проводимость при холостом ходе во входной цепи;

- коэффициент обратной связи при холостом ходе во входной цепи;

- коэффициент передачи тока при коротком замыкании на выходе.

Эквивалентная схема четырехполюсника с h-параметрами приведена на рисунке 5.24а, б. Из этой схемы легко увидеть, что режим короткого замыкания на выходе или холостого хода на входе позволяет измерить тот или иной h-параметр.

Рис. 5.24. Эквивалентная схема четырехполюсника:
а) биполярный транзистор в схеме с общей базой; б) биполярный транзистор в схеме с общим эмиттером

 


Поделиться с друзьями:

mylektsii.su - Мои Лекции - 2015-2026 год. (0.971 сек.)Все материалы представленные на сайте исключительно с целью ознакомления читателями и не преследуют коммерческих целей или нарушение авторских прав Пожаловаться на материал