Студопедия

Главная страница Случайная страница

КАТЕГОРИИ:

АвтомобилиАстрономияБиологияГеографияДом и садДругие языкиДругоеИнформатикаИсторияКультураЛитератураЛогикаМатематикаМедицинаМеталлургияМеханикаОбразованиеОхрана трудаПедагогикаПолитикаПравоПсихологияРелигияРиторикаСоциологияСпортСтроительствоТехнологияТуризмФизикаФилософияФинансыХимияЧерчениеЭкологияЭкономикаЭлектроника






Решение. Составим неравенство:






Составим неравенство:

В левой части неравенства стоит линейная функция. Т.к. экстремумов она не имеет, то если знаки этой функции на границах интервала одинаковые, то и на всем интервале функция имеет этот же знак. Таким образом, для выполнения неравенства необходимо, чтобы выполнялась система неравенств

Ответ: (2; 3)

 

C5 Найдите все значения переменной х, при каждом из которых неравенство верно хотя бы при одном значении параметра а из промежутка [3; 6].

 

Решение

Преобразуем данное неравенство. Поскольку обе части неравенства неотрицательны, возведем их в квадрат.

Первый сомножитель неотрицателен, значит

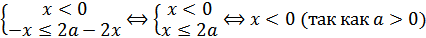
Раскрываем модуль:

1.

так как , то

2.

Ответ:

 

C5 Найти все значения a, при которых неравенство не имеет решений.

 


Поделиться с друзьями:

mylektsii.su - Мои Лекции - 2015-2026 год. (1.017 сек.)Все материалы представленные на сайте исключительно с целью ознакомления читателями и не преследуют коммерческих целей или нарушение авторских прав Пожаловаться на материал