Студопедия

Главная страница Случайная страница

КАТЕГОРИИ:

АвтомобилиАстрономияБиологияГеографияДом и садДругие языкиДругоеИнформатикаИсторияКультураЛитератураЛогикаМатематикаМедицинаМеталлургияМеханикаОбразованиеОхрана трудаПедагогикаПолитикаПравоПсихологияРелигияРиторикаСоциологияСпортСтроительствоТехнологияТуризмФизикаФилософияФинансыХимияЧерчениеЭкологияЭкономикаЭлектроника






Решение. Пусть , тогда: . Неравенство примет вид:






Преобразуем:

Разделим на 5:

Пусть , тогда: . Неравенство примет вид:

Это парабола, ветви вверх, значит решения не будет если квадратный трехчлен не имеет корней (дискриминант меньше нуля):

r w: top=" 1134" w: right=" 850" w: bottom=" 1134" w: left=" 1701" w: header=" 720" w: footer=" 720" w: gutter=" 0" /> < w: cols w: space=" 720" /> < /w: sectPr> < /w: body> < /w: wordDocument> ">

Решений также не будет, если оба корня этого квадратного уравнения не положительные. Из теоремы Виета можно сделать вывод, что это будет выполнено, когда t < 0, но это невозможно.

Еще возможен случай, когда корней вовсе нет. Тогда: причем при t = 2 корень есть х=0.

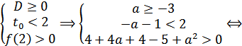
Таким образом, решений не будет если все решения попадут в интервал: . Для этого необходимо выполнение условий:

Ответ:

C5 Найдите все значения a > 0, при каждом из которых имеет на отрезке [-1; 2] ровно два корня.


Поделиться с друзьями:

mylektsii.su - Мои Лекции - 2015-2026 год. (3.242 сек.)Все материалы представленные на сайте исключительно с целью ознакомления читателями и не преследуют коммерческих целей или нарушение авторских прав Пожаловаться на материал