Студопедия

Главная страница Случайная страница

КАТЕГОРИИ:

АвтомобилиАстрономияБиологияГеографияДом и садДругие языкиДругоеИнформатикаИсторияКультураЛитератураЛогикаМатематикаМедицинаМеталлургияМеханикаОбразованиеОхрана трудаПедагогикаПолитикаПравоПсихологияРелигияРиторикаСоциологияСпортСтроительствоТехнологияТуризмФизикаФилософияФинансыХимияЧерчениеЭкологияЭкономикаЭлектроника






Сравнительный анализ проектов различной продолжительности






Необходимо сравнить проекты разной продолжительности и выбрать наиболее предпочтительный:

Проект А – рассчитан на n-лет;

Проект Б – рассчитан на k-лет.

Для анализа применяем следующий алгоритм:

1. Находим наименьшее общее кратное (НОК) сроков действия проектов: .

2. Рассматривая каждый проект как повторяющийся, рассчитываем суммарный NPV проектов А и Б, реализуемых необходимое число раз в течение периода Z.

3. Из двух проектов выбирается тот, у которого суммарный NPV имеет наибольшее значение: .

Пример

 

 

Решение.

1). Наименьшее общее кратное проектов Z=НОК=6 лет

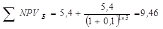
2). Проект А за 6 лет сможет реализоваться 3 раза. Суммарный NPV проекта составит . млн. руб

3). Проект Б за 6 лет сможет реализоваться 2 раза. . млн.руб

4). Проект В за 6 лет сможет реализоваться 3 раза. .= 12, 45 млн.руб

5). Для реализации выбираем проект В, имеющий наибольший NPV суммарного потока.

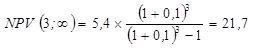
Указанные расчеты можно упростить в вычислительном плане, если предположить, что каждый из проектов может реализоваться неограниченное число раз и для расчетов использовать формулу:

Например, суммарный NPV проекта А в случае его повторения неограниченное число раз составит млн. руб, а проекта Б

млн. руб, проекта В – 28, 58 млн. руб. Прект В предпочтительнее, так как его суммарный NPV больше.

 


Поделиться с друзьями:

mylektsii.su - Мои Лекции - 2015-2026 год. (1.056 сек.)Все материалы представленные на сайте исключительно с целью ознакомления читателями и не преследуют коммерческих целей или нарушение авторских прав Пожаловаться на материал