Студопедия

Главная страница Случайная страница

КАТЕГОРИИ:

АвтомобилиАстрономияБиологияГеографияДом и садДругие языкиДругоеИнформатикаИсторияКультураЛитератураЛогикаМатематикаМедицинаМеталлургияМеханикаОбразованиеОхрана трудаПедагогикаПолитикаПравоПсихологияРелигияРиторикаСоциологияСпортСтроительствоТехнологияТуризмФизикаФилософияФинансыХимияЧерчениеЭкологияЭкономикаЭлектроника






Многоканальные СМО с однородным потоком заявок






 

В многоканальных СМО обычно предполагается, что все приборы идентичны и равнодоступны для любой заявки, то есть при наличии нескольких свободных приборов поступившая заявка с равной вероятностью может попасть в любой из них на обслуживание.

Многоканальные (рис.В), содержащие K обслуживающих приборов П1,..., ПK (K > 1). Однородный поток заявок образуют заявки одного класса.

В СМО, представляющей собой абстрактную математическую модель, заявки относятся к разным классам в том случае, если они в моделируемой реальной системе различаются хотя бы одним из следующих факторов:

￿ длительностью обслуживания;

￿ приоритетами.

Если же заявки не различаются длительностью обслуживания и приоритетами, то в СМО они могут быть представлены как заявки одного класса, независимо от их физической сущности.

Рассмотрим многоканальную СМО с K идентичными обслуживающими приборами и накопителем неограниченной ёмкости, в которую поступают заявки, образующие простейший поток с интенсивностью λ (рис.4.3). Длительность τ b обслуживания заявок распределена по экспоненциальному закону со средним значением b. Выбор заявок из очереди на обслуживание осуществляется в соответствии с бесприоритетной дисциплиной обслуживания в порядке поступления (ОПП) по правилу «первым пришёл – первым обслужен» (FIFO – First In First Out).

ВЫВОД

Выбор заявок из очереди на обслуживание осуществляется по правилу FIFO – First In First Out, обычно предполагается, что все приборы идентичны и равнодоступны для любой заявки.

Характеристики многоканальной СМО

Характеристики многоканальной СМО M/М/K

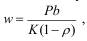
В качестве основной характеристики функционирования СМО, будем использовать среднее время ожидания w заявок.

Точный метод расчета характеристик обслуживания заявок в многоканальной СМО разработан при следующих предположениях:

· поток заявок – простейший;

· длительность обслуживания заявок распределена по экспоненциальному закону со средним значением b;

· все K приборов – идентичны, и любая заявка может быть обслужена любым прибором;

· ёмкость накопителя – не ограничена;

· в системе отсутствуют перегрузки, то есть загрузка системы меньше 1:

При этих предположениях среднее время ожидания заявок определяется следующим образом:

(4.8)

где P – вероятность того, что все K приборов заняты обслуживанием заявок.

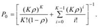
Вероятность P определяется как:

где P0 – вероятность простоя многоканальной СМО, то есть вероятность того, что в системе нет заявок:

ВЫВОД

 

Среднее число заявок, находящихся в системе, равно сумме средних чисел обслуживаемых заявок и заявок, находящихся в очереди. Для расчета средних величин времени обслуживания заявки, времени ожидания заявки в очереди и времени пребывания заявки в системе используют формулы Литтла.

 


Поделиться с друзьями:

mylektsii.su - Мои Лекции - 2015-2026 год. (1.267 сек.)Все материалы представленные на сайте исключительно с целью ознакомления читателями и не преследуют коммерческих целей или нарушение авторских прав Пожаловаться на материал