Студопедия

Главная страница Случайная страница

КАТЕГОРИИ:

АвтомобилиАстрономияБиологияГеографияДом и садДругие языкиДругоеИнформатикаИсторияКультураЛитератураЛогикаМатематикаМедицинаМеталлургияМеханикаОбразованиеОхрана трудаПедагогикаПолитикаПравоПсихологияРелигияРиторикаСоциологияСпортСтроительствоТехнологияТуризмФизикаФилософияФинансыХимияЧерчениеЭкологияЭкономикаЭлектроника






Характеристики и свойства ДО АП






Иногда время ожидания заявок некоторых классов необходимо уменьшить в такой степени, которая недостижима при использовании ДО ОП. Можно предположить, что время ожидания уменьшится, если при поступлении высокоприоритетной заявки обслуживание ранее поступившей заявки с низким приоритетом прерывается, и прибор переходит к обслуживанию высокоприоритетной заявки. Приоритет, прерывающий обслуживание низкоприоритетной заявки, называется абсолютным, а соответствующая дисциплина – дисциплиной обслуживания с абсолютными приоритетами (ДО АП).

Прерванная заявка может быть потеряна или возвращена в накопитель, где она будет ожидать дальнейшего обслуживания. В последнем случае возможны два варианта продолжения обслуживания прерванной заявки:

• обслуживание с начала, то есть прерванная заявка будет обслуживаться заново с самого начала;

• дообслуживание, когда обслуживание прерванной заявки в приборе будет выполняться с прерванного места.

В дальнейшем, если не оговорено иное, будем предполагать дообслуживание прерванной заявки.

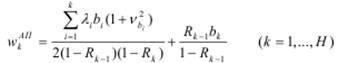
Для ДО АП среднее время ожидания заявок класса k определяется по следующей формуле:

(4.12)

где Rk− 1 и Rk – суммарные загрузки, создаваемые заявками, которые имеют приоритет не ниже (k − 1) и k соответственно, и определяемые по формулам (4.11).

Анализ выражения (4.12) для расчета среднего времени ожидания заявок при использовании ДО АП и его сопоставление с аналогичным выражением (4.10) для ДО ОП позволяет выявить свойства ДО АП и сформулировать следующие выводы.

1. Выражение (4.12) содержит два слагаемых: wkАП = sk + zk, отображающих среднее время ожидания начала обслуживания sk и среднее время ожидания в прерванном состоянии zk соответственно:

2. Время ожидания заявок класса k зависит только от значений параметров классов 1, …, k заявок, имеющих более высокий или такой же приоритет, и не зависит от параметров классов заявок k +1, …, H, имеющих более низкий приоритет.

3. Для заявок класса 1, имеющих самый высокий абсолютный приоритет, обеспечивается минимально возможное время ожидания по сравнению со всеми другими ДО, то есть при любой другой ДО среднее время ожидания заявок первого класса не может быть меньше, чем при ДО АП. Это объясняется тем, что в случае ДО АП заявки первого класса обслуживаются как бы в изоляции, независимо от заявок других классов.

4. Времена ожидания начала обслуживания sk монотонно увеличиваются с уменьшением приоритета: s1 < s2 < …< sH, однако время ожидания высокоприоритетной заявки в прерванном состоянии zk может оказаться больше времени ожидания zk+1 заявки с более низким приоритетом, если длительности обслуживания связаны соотношением bk> > bk +1, так как количество прерываний заявками более высокого приоритета и, следовательно, время ожидания в прерванном состоянии прямо пропорционально зависит от длительности обслуживания заявок данного класса. Вследствие этого, полное время ожидания заявок высокоприоритетного класса, складывающееся из времени ожидания начала обслуживания и времени ожидания в прерванном состоянии, может оказаться больше, чем у заявок класса с низким приоритетом: wkАП> > wk+1 АП. Очевидно, что w1АП < w2АП < …< wHАП, если длительности обслуживания заявок разных классов связаны соотношением b1≤ b2≤...≤ bH.

5. Введение АП по сравнению с ОП приводит к уменьшению среднего времени ожидания самых высокоприоритетных заявок первого класса и к его увеличению для заявок класса H: w1АП < w1ОП и wHАП > wHОП.

Два последних результата иллюстрируются рис.4.10, а. Для ДО АП пунктиром показан случай, когда w3АП > > w4АП, из чего следует, что b3> > b4.

Зависимость полного времени ожидания от суммарной нагрузки Y системы при использовании ДО АП аналогична зависимости для ДО ОП (см. рис.4.10, б) с тем лишь отличием, что при ДО АП высокоприоритетные заявки лучше защищены от перегрузок.


Поделиться с друзьями:

mylektsii.su - Мои Лекции - 2015-2026 год. (1.377 сек.)Все материалы представленные на сайте исключительно с целью ознакомления читателями и не преследуют коммерческих целей или нарушение авторских прав Пожаловаться на материал