Студопедия

Главная страница Случайная страница

КАТЕГОРИИ:

АвтомобилиАстрономияБиологияГеографияДом и садДругие языкиДругоеИнформатикаИсторияКультураЛитератураЛогикаМатематикаМедицинаМеталлургияМеханикаОбразованиеОхрана трудаПедагогикаПолитикаПравоПсихологияРелигияРиторикаСоциологияСпортСтроительствоТехнологияТуризмФизикаФилософияФинансыХимияЧерчениеЭкологияЭкономикаЭлектроника






Средняя квадратическая ошибка функции общего вида






В большинстве случаев геодезические измерения выполняют с целью определения значения других величин, связанных с измеряемой функциональной зависимостью.

Например:

D = К · n;

h = З – П;

h = S · tgν.

Для суждения о получаемой при этом точности необходимо определить среднюю квадратическую ошибку функции по средним квадратическим ошибкам исходных величин, которые в свою очередь, могут являться результатами измерений или функциями результатов измерений.

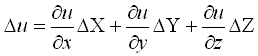
Пусть u = f( X, Y, Z ) есть некоторая функция независимых величин X, Y, Z, измеренных или вычисленных со средними квадратическими ошибками mx, my, mz.

Продифференцируем функцию по всем переменным и получим

.

В этой формуле бесконечно малые приращения – дифференциалы – заменим истинными ошибками. Получим выражение

,

где Δ X, Δ Y, Δ Z – истинные ошибки.

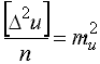
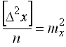
Перейдем от истинных ошибок к средним квадратическим ошибкам. Для этого положим, что X, Y, Z измерено n раз, где можно считать . Соответственно числу измерений составляем n равенств

Возведем каждое из равенств в квадрат, сложим и разделим на n

А так как ; и т.д.,

то

где представляют собой частные производные данной функции, вычисленные для соответствующих значений аргументов..
Лекция 15


Поделиться с друзьями:

mylektsii.su - Мои Лекции - 2015-2026 год. (3.406 сек.)Все материалы представленные на сайте исключительно с целью ознакомления читателями и не преследуют коммерческих целей или нарушение авторских прав Пожаловаться на материал