Главная страница
Случайная страница
КАТЕГОРИИ:
АвтомобилиАстрономияБиологияГеографияДом и садДругие языкиДругоеИнформатикаИсторияКультураЛитератураЛогикаМатематикаМедицинаМеталлургияМеханикаОбразованиеОхрана трудаПедагогикаПолитикаПравоПсихологияРелигияРиторикаСоциологияСпортСтроительствоТехнологияТуризмФизикаФилософияФинансыХимияЧерчениеЭкологияЭкономикаЭлектроника
|
Что представляет коэффициент затухания в случае колебательного характера переходной величины? Как он определяется расчётным путём и по осциллограмме?
Ответ: 
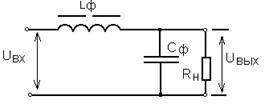
При соблюдении условия Хдр > Хс реакция фильтра будет индуктивного характера. Дроссель и конденсатор, используемые совместно, более эффективно выполняют функции сглаживания, чем при их раздельном включении, если выполняются неравенства: Хдр > > Rн и Хс < < Rн. Получим выражение для коэффициента сглаживания фильтра через параметры схемы замещения:
Фильтр используется при большой мощности нагрузки. К достоинствам фильтра относится: малые габаритные размеры, малая зависимость коэффициента сглаживания от изменений тока нагрузки (различный характер зависимости q от Iн для реактивных элементов взаимно компенсирует влияние). Недостатки: в таких фильтрах возникают переходные процессы, усложняющие работу, как потребителя, так и источника питания, дроссели фильтров имеют большие габаритные размеры и массу, а их индуктивность, следовательно, коэффициенты сглаживания зависят от тока нагрузки. При включении и отключении сети, а также при резких изменениях нагрузки в фильтре возникают переходные процессы, которые могут привести к перенапряжениям и броскам тока в элементах фильтра и выпрямителя. Возникновение переходных процессов связано с изменением во времени запасов электромагнитной энергии, накапливаемой в таких энергоемких элементах, как катушки индуктивности ( ) и конденсаторы фильтра ( ). При или разряд индуктивности или конденсатора фильтра происходит за некоторый интервал времени ( ), который определяет время переходного процесса. Несмотря на малую продолжительность этих процессов, они могут быть причиной выхода из строя вентилей из-за резкого возрастания обратного напряжения и прямого тока, а также пробоя конденсаторов или изоляции дросселей и силового трансформатора. Переходные процессы могут носить колебательный характер. В этом случае их можно рассматривать как свободные, затухающие при подключении фильтра к источнику постоянного тока. Собственная частота этих колебаний определяется выражением: На рисунке представлена графическая зависимость переходного процесса при включении источника питания:

Переходные процессы в контуре описываются уравнением: , где Uс уст – напряжение выпрямителя на холостом ходу (при отключенной нагрузке), i = iн + iс – ток выпрямителя во время переходного процесса, iн и iс – соответственно токи нагрузки и конденсатора, Rb = rтр + Ri + Rдр – внутреннее сопротивление выпрямителя: трансформатора, диодов и дросселя фильтра. Математический анализ выше приведенного уравнения позволяет определить сдвиг по фазе между максимумами тока iL и напряжения Uc, который составляет . Максимальное отклонение напряжения на конденсаторе зависит от коэффициента затухания колебательного процесса: . Относительная величина перенапряжения на конденсаторе определяется из графика в зависимости от отношения .
Перенапряжения, возникающие в фильтре, тем больше, чем больше индуктивность дросселя L и чем меньше емкость С. Для идеального выпрямителя при Rb = 0 и отключенной нагрузке (Rн = ) отношения = 0, = 1, т.е. предельное значение напряжения на конденсаторе равно:
. Если максимальное напряжение на конденсаторе превышает допустимое значение, а уменьшить индуктивность дросселя нельзя из-за необходимости обеспечения требуемого коэффициента сглаживания, то для уменьшения перенапряжения последовательно с дросселем нужно включить добавочный, так называемый пусковой резистор с сопротивлением Rпуск. При этом активное сопротивление выпрямителя возрастет на его величину и коэффициент затухания α увеличится, что приводит к уменьшению . Для мощных выпрямителей допустимой считается величина перенапряжений на конденсаторе до 20%. При резких изменениях сопротивления нагрузки от Rн до R/н в фильтре также создаются перенапряжения и броски тока. Максимальное значение перенапряжения на конденсаторе определяется выражением:
где отношение определяется из приведенного выше графика в зависимости от произведения:
При нахождении величины α вместо сопротивления нагрузки Rн в формулу надо подставить значение , где - измененный ток нагрузки. Найдя из графика значение σ, по отношению определим значение: 
и затем находим . На холостом ходу и =0; для идеального выпрямителя Rb = 0, отношение =0, и тогда, преобразуя выражение, получим: где - волновое сопротивление контура. Волновое сопротивление ρ контура фильтра практически всегда меньше сопротивления нагрузки , поэтому напряжение на конденсаторе при “сбросе” нагрузки ( ) будет . Для уменьшения возникающих перенапряжений последовательно с конденсатором фильтра можно включить резистор небольшого сопротивления (десятки Ом). Рассмотрим переходный процесс при “сбросе” и “набросе” тока нагрузки (смотрите ниже рисунок). При “сбросе” тока нагрузки возникает перенапряжение, которое может привести к выходу из строя аппаратуры, поэтому при расчете LC-фильтра, необходимо учитывать режим работы на импульсную нагрузку.

|