Студопедия

Главная страница Случайная страница

КАТЕГОРИИ:

АвтомобилиАстрономияБиологияГеографияДом и садДругие языкиДругоеИнформатикаИсторияКультураЛитератураЛогикаМатематикаМедицинаМеталлургияМеханикаОбразованиеОхрана трудаПедагогикаПолитикаПравоПсихологияРелигияРиторикаСоциологияСпортСтроительствоТехнологияТуризмФизикаФилософияФинансыХимияЧерчениеЭкологияЭкономикаЭлектроника






Варiант 13






І частина (5 балів)

Завдання 1 – 5 мають по чотири варіанти відповіді, з яких тільки одна правильна. Оберіть правильну, на Вашу думку, відповідь. Правильне розв’язання кожного завдання оцінюється одним балом.

1. Найменше спільне кратне чисел 6 і 10 дорівнює:

А) 15; Б) 30; В) 60; Г) 2.

 

2. Порівняйте дроби і .

А) ; Б) ;

В) ; Г) порівняти не можна.

 

3. Поділіть число 60 на частини у відношенні 2: 3: 5.

А) 15; 20; 25; Б) 10; 20; 30; В) 12; 20; 28; Г) 12; 18; 30.

 

4. Знайдіть значення виразу .

А) 13; Б) 7; В) 6, 25; Г) 3.

 

5. За малюнком обчисліть градусну міру FRS, якщо SRT = 56°.

А) 34°; Б) 134°; В) 44°; Г) 144°.

.

 

ІІ частина (4 бали)

Розв’язання завдань 6 – 7 може мати короткий запис без обґрунтування. Правильне розв’язання кожного завдання оцінюється двома балами.

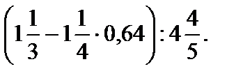
6. Виконайте дii

 

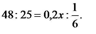
7. Розв’яжіть рівняння

 

ІІІ частина (3 бали)

Розв’язання 8 завдання повинно мати обґрунтування. Потрібно записати послідовні логічні дії та пояснення. Правильне розв’язання кожного завдання оцінюється трьома балами.

8. Одна сторона трикутника вдвічі більша, а третя на 5 см більша від другої. Обчисліть сторони трикутника, якщо його периметр дорівнює 85 см.



Поделиться с друзьями:

mylektsii.su - Мои Лекции - 2015-2026 год. (3.159 сек.)Все материалы представленные на сайте исключительно с целью ознакомления читателями и не преследуют коммерческих целей или нарушение авторских прав Пожаловаться на материал